经管之家App
让优质教育人人可得
立即打开
全部版块
我的主页
›
论坛
›
提问 悬赏 求职 新闻 读书 功能一区
›
经管百科
›
爱问频道
请教一个积分问题,劳驾高手答疑解惑
楼主
imfhjd
1561
6
收藏
2010-06-11
被积函数:(1+x^2)^(-n) 积分下限:0 积分上限:c c为小于0的常数
感激。
扫码加我 拉你入群
请注明:姓名-公司-职位
以便审核进群资格,未注明则拒绝
全部回复
沙发
gg1985
2010-6-11 23:02:25
试着用x=tant代入看看。。。
扫码加我 拉你入群
请注明:姓名-公司-职位
以便审核进群资格,未注明则拒绝
藤椅
dailei
2010-6-11 23:08:45
令x=tant,你看看是否可以
扫码加我 拉你入群
请注明:姓名-公司-职位
以便审核进群资格,未注明则拒绝
板凳
yuxiaopei_fd
2010-6-12 00:07:37
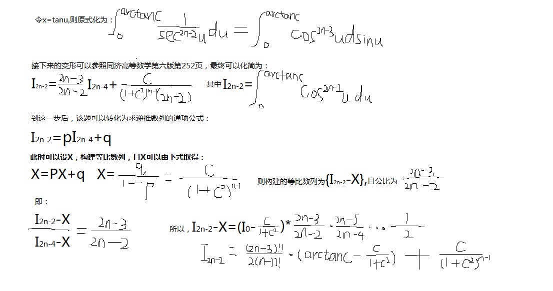
电脑里面没有公式编辑器 所以就把过程大概在画图工具里面写了下 如果还有不明白的话 短我吧。。。希望有所帮助
附件列表
无标题.jpg
原图尺寸 115.41 KB
扫码加我 拉你入群
请注明:姓名-公司-职位
以便审核进群资格,未注明则拒绝
报纸
imfhjd
2010-6-12 14:11:58
4#
yuxiaopei_fd
很感激你
扫码加我 拉你入群
请注明:姓名-公司-职位
以便审核进群资格,未注明则拒绝
地板
imfhjd
2010-6-12 14:14:45
2#
gg1985
多谢
扫码加我 拉你入群
请注明:姓名-公司-职位
以便审核进群资格,未注明则拒绝
点击查看更多内容…
7楼
imfhjd
2010-6-12 14:15:06
3#
dailei
感谢哦
扫码加我 拉你入群
请注明:姓名-公司-职位
以便审核进群资格,未注明则拒绝
相关推荐
On the Robustness of Unit Root Tests in the Presence of Double Unit Roots
论坛开张并诚招版主
庆祝论坛开张并诚招版主
有志于报考人大经济学院的同学朋友们看过来
庆祝论坛开张并诚招各分论坛版主
On the Robustness of Unit Root Tests in the Presence of Double Unit Roots
双单位根存在情况下单位根检验的稳健性研究
Local Power Functions of Tests for Double Unit Roots
周小川:调利率还需观察 息口盯住5%通胀率
栏目导航
爱问频道
华东地区(鲁苏皖浙闽沪)
经管文库(原现金交易版)
行业分析报告
CFA、CVA、FRM等金融考证论坛
保研/调剂(考研)
热门文章
我该如何记住你?智能体记忆系统的演化之路
CDA数据分析脱产就业班于2026年3月7日开班! ...
无上高明的“无为”“无住”哲学在传统中国
新宏观丨中美经济总量差距拉大的根源
艾瑞咨询 - 2025年中国早教行业白皮书
第一太平戴维斯 - 2026年中国房地产市场展望 ...
2025中国居民退休准备指数调研报告-清华大学 ...
Measure Theory for Analysis and Probabil ...
现代数学基础19 偏微分方程 孔德兴
科研时间70%耗在“下载-复制-粘贴”?零代码 ...
推荐文章
2026JG学术冬训营:从Stata初高到Python机器 ...
【必看】【本版版规,欢迎发悬赏贴求助】
26年寒假天津站|Gemini论文写作&数据分析 ...
关于如何利用文献的若干建议
关于学术研究和论文发表的一些建议
关于科研中如何学习基础知识的一些建议 (一 ...
一个自编的经济学建模小案例 --写给授课本科 ...
AI智能体赋能教学改革: 全国AI教育教学应用 ...
2025中国AIoT产业全景图谱报告-406页
关于文献求助的一些建议
说点什么
分享
微信
QQ空间
QQ
微博
扫码加好友,拉您进群
各岗位、行业、专业交流群