经管之家App
让优质教育人人可得
立即打开
全部版块
我的主页
›
论坛
›
金融投资论坛 六区
›
金融学(理论版)
›
金融工程(数量金融)与金融衍生品
求助一个伊藤引理推导公式的基本知识。
楼主
huangxinfh
13845
8
收藏
2010-06-22
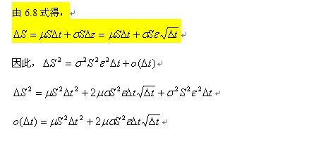
哪位学过金融工程呀,想请教一个问题,ITO定理当中,上面公式如何得到最后一个公式的,如何理解的,请指点一下!看几本教材,不太详细,估计自己也愚笨点,理解不透!
在我理解当中,应该二项式的平方呢,
附件列表
公式图.jpg
原图尺寸 10.2 KB
扫码加我 拉你入群
请注明:姓名-公司-职位
以便审核进群资格,未注明则拒绝
全部回复
沙发
lmfactory
2010-6-22 20:43:30
我的理解:delta(t) 本来就是个很小的数,所以delta(t)的x次方,当x>1时就更小,所以都可以忽略,可将这些项放到最后一项里o(delta(t))。
扫码加我 拉你入群
请注明:姓名-公司-职位
以便审核进群资格,未注明则拒绝
藤椅
huangxinfh
2010-6-22 22:12:32
楼上的,按你解释,是不是得到以下公式,你帮我看看。谢谢!
附件列表
1.jpg
原图尺寸 17.85 KB
扫码加我 拉你入群
请注明:姓名-公司-职位
以便审核进群资格,未注明则拒绝
板凳
lmfactory
2010-6-23 10:01:15
我理解是这样的
扫码加我 拉你入群
请注明:姓名-公司-职位
以便审核进群资格,未注明则拒绝
报纸
lmfactory
2010-6-23 10:03:18
3#
huangxinfh
你的mu少了二次方
扫码加我 拉你入群
请注明:姓名-公司-职位
以便审核进群资格,未注明则拒绝
地板
4rapid
2010-6-23 12:33:46
delta(t)的高阶项(高于一阶)都归在O(·)里面了,认为是高阶无穷小量,在后面就忽略掉了
扫码加我 拉你入群
请注明:姓名-公司-职位
以便审核进群资格,未注明则拒绝
点击查看更多内容…
7楼
lkylelj
2010-6-23 13:02:38
咋是那样的符号啊,,使用标准的随机分析符号多容易看啊,,,那个多出的平方项是二次变差,,,随机积分和普通微积分不同地方就是二次变差的存在。
扫码加我 拉你入群
请注明:姓名-公司-职位
以便审核进群资格,未注明则拒绝
8楼
huangxinfh
2010-6-24 12:08:55
谢谢以上几位的热心解答!
扫码加我 拉你入群
请注明:姓名-公司-职位
以便审核进群资格,未注明则拒绝
9楼
cz851218
2010-6-28 12:23:38
要知道ITO引理里面忽略的是delta(t)的高阶无穷小,所以任何比delta(t)更高阶的项都忽略不计了,也就是说随机过程反应的是delta(t)的线性主要部分。
扫码加我 拉你入群
请注明:姓名-公司-职位
以便审核进群资格,未注明则拒绝
相关推荐
全面质量管理基本知识
[原创]银行卡基本知识
知识经济1 -- 基本知识
投资银行培训__基本知识篇.pdf(81 PPT).pdf
汇率基本知识(既有理论方面的,也有实务方面的)
投资银行培训__基本知识篇
炒股基本知识(视频)
股市基本知识课件
经济理论基本知识
舒宇秦:现货沥青、原油投资的一些基本知识
栏目导航
金融工程(数量金融)与金融衍生品
行业分析报告
学术道德监督
经管文库(原现金交易版)
创新与战略管理
新手入门区
热门文章
CDA 认证考试大纲 2025 重磅更新:一二级考 ...
Gemini准确率从21%飙到97%!谷歌只用了这一 ...
CDA数据分析脱产就业班于2025年12月08日开班 ...
兴业研究-库存周期分析
《2025全球电子商务手册》中文简版
如何应用蔡定创的《信用价值论》理论重新设 ...
Inference and optimal censoring scheme f ...
现代数学译丛06应用偏微分方程 中译本,John ...
AEM电解水设备行业深度分析报告:2026-2032 ...
本周顶尖人工智能工具
推荐文章
【必看】【本版版规,欢迎发悬赏贴求助】
26年寒假天津站|Gemini论文写作&数据分析 ...
2026JG学术冬训营:从Stata初高到Python机器 ...
关于如何利用文献的若干建议
关于学术研究和论文发表的一些建议
关于科研中如何学习基础知识的一些建议 (一 ...
一个自编的经济学建模小案例 --写给授课本科 ...
AI智能体赋能教学改革: 全国AI教育教学应用 ...
2025中国AIoT产业全景图谱报告-406页
关于文献求助的一些建议
说点什么
分享
微信
QQ空间
QQ
微博
扫码加好友,拉您进群
各岗位、行业、专业交流群