经管之家App
让优质教育人人可得
立即打开
全部版块
我的主页
›
论坛
›
提问 悬赏 求职 新闻 读书 功能一区
›
学道会
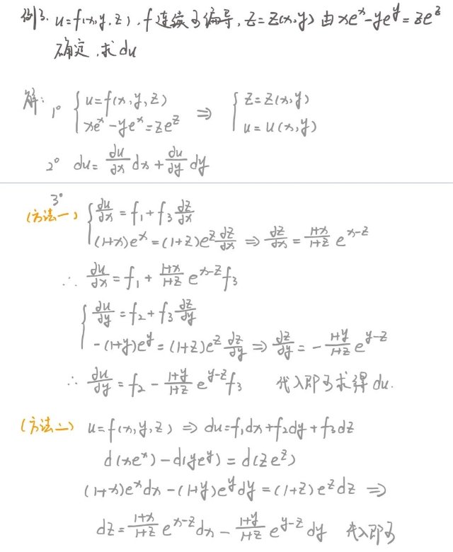
【学习笔记】偏导
楼主
chang06
956
1
收藏
2020-08-29
偏导
扫码加我 拉你入群
请注明:姓名-公司-职位
以便审核进群资格,未注明则拒绝
全部回复
沙发
512661101
2020-8-29 03:04:42
赞
扫码加我 拉你入群
请注明:姓名-公司-职位
以便审核进群资格,未注明则拒绝
相关推荐
【学习笔记】昨天阅读半小时,累计阅读27小时。
【学习笔记】最后两部分
1222_1566522475_2019-09-27 20:59:13_【学习笔记】
【学习笔记】除了阶级固化的现实隐喻,是否也包含某种外部处境的暗示呢
【学习笔记】汽车 自动驾驶系列III:拐点已至,浪潮呼啸
【学习笔记】不论你在什麽时候结束,重要的是结束之后就不要悔恨。
【学习笔记】花呗
栏目导航
学道会
能源经济学
MATLAB等数学软件专版
EViews专版
求助成功区
情感交友
热门文章
投资人与创始人互坑套路
中国金融生成式AI多模态内容鉴伪与安全防御 ...
全球能源转型展望2025—全球和区域预测至20 ...
自己整理的私募股权投资实操手册。
海外资管机构赴上海投资指南(2025版)
2031年全球变频抽油烟机市场规模将接近167. ...
understanding climate change perceptions ...
【全美经典】离散数学
世界机器人2025年报告 World Robotics 2025
甲子光年_2025甲子Cool Vendor人形机器人大 ...
推荐文章
AI狂潮席卷学术圈,不会编程也能打造专属智 ...
10月重磅来袭|《打造Coze/Dify专属学术智能 ...
最快1年拿证,学费不足5W!热门美国人工智能 ...
关于如何利用文献的若干建议
关于学术研究和论文发表的一些建议
关于科研中如何学习基础知识的一些建议 (一 ...
一个自编的经济学建模小案例 --写给授课本科 ...
AI智能体赋能教学改革: 全国AI教育教学应用 ...
2025中国AIoT产业全景图谱报告-406页
关于文献求助的一些建议
说点什么
分享
微信
QQ空间
QQ
微博
扫码加好友,拉您进群
各岗位、行业、专业交流群