全部版块 我的主页
论坛 计量经济学与统计论坛 五区 计量经济学与统计软件 Stata专版
5083 3
2020-08-29
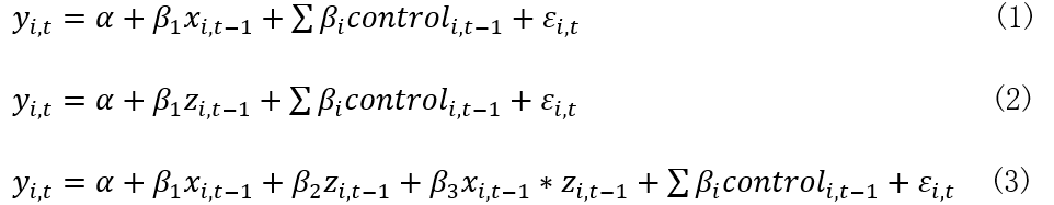
1、研究问题:x、z与y的关系,进一步研究z对x与y之间关系的调节效应;
2、数据:2015-2019年120家上市公司面板数据;
3、模型: 微信图片_20200829140457.png
   说明:对解释变量和控制变量滞后一期处理,控制时间虚拟变量。
4、如果我要对上面模型进行固定效应模型回归分析,以下为stata代码:
     use C:\abc.dta,clear
     xtset corporation year
     reg y L.x  i.year , r    /// L.x 表示对x滞后一期
     reg y L.z  i.year , r    /// L.z 表示对z滞后一期
     reg y L.x  L.z  LxLz i.year , r   /// LxLz表示x、z滞后一期的交叉项,且已先中心化处理过

    问题:(1)上面用reg做回归还是固定效应模型吗?如果不是,那这是什么模型或者估计?那正确的是用xtreg?即 xtreg y L.x  L.z  LxLz i.year , r?
          (2)这种研究调节效应的面板数据,可以就做用reg(比如上面的reg y L.x  L.z  LxLz i.year , r )来做回归吗?本人用 reg y L.x  L.z  LxLz i.year , r 做系数都很显著,但是用xtreg y L.x  L.z  LxLz i.year , r 做系数都不显著,那我论文里是否可以直接采用reg做的结果?需要做什么改进吗?望各位大神指导,万分感谢!!!

附件列表
微信图片_20200829140457.png

原图尺寸 13.73 KB

微信图片_20200829140457.png

二维码

扫码加我 拉你入群

请注明:姓名-公司-职位

以便审核进群资格,未注明则拒绝

全部回复
2020-8-29 14:57:28
    问题:(1)上面用reg做回归还是固定效应模型吗?如果不是,那这是什么模型或者估计?那正确的是用xtreg?即 xtreg y L.x  L.z  LxLz i.year , r?
上述reg命令是截面回归而不是面板回归。
xtreg y L.x  L.z  LxLz i.year , r 这个命令也是错的。对于面板回归还是先用hausman检验判断是固定效应模型还是随机效应模型。然后根据检验结果判定使用xtreg y L.x  L.z  LxLz i.year , r fe (固定效应面板)或者xtreg y L.x  L.z  LxLz i.year , r re (随机效应面板)
其他的回归也是类似的。
二维码

扫码加我 拉你入群

请注明:姓名-公司-职位

以便审核进群资格,未注明则拒绝

2020-8-29 16:14:11
赞11111
二维码

扫码加我 拉你入群

请注明:姓名-公司-职位

以便审核进群资格,未注明则拒绝

2020-8-29 16:16:45
首先,你要明白固定效应回归是什么意思。固定效应是指y里面有些共性,比如和时间相关不随个体而变(时间固定效应),再比如个体相关不随时间而变(个体固定效应),还有些和行业相关,等等。完全是看研究特点决定的。
其次,如何消除固定效应?一种方式是demean,第二种方式是加入哑变量——两种方式从计量结果上没什么区别。
第三,说说stata命令。xtreg是stata命令中通过demean的方式消除个体固定效应的方式(前提是你是按照id-year进行xtsort排序的),特点是计算比较快,尤其是当个体较多的时候,加入哑变量会使得矩阵庞大,且有可能计算不出来,而demean矩阵不大。
第四,剩下的,你列的几个问题完全可以自己回答了吧?
二维码

扫码加我 拉你入群

请注明:姓名-公司-职位

以便审核进群资格,未注明则拒绝

相关推荐
栏目导航
热门文章
推荐文章

说点什么

分享

扫码加好友,拉您进群
各岗位、行业、专业交流群