全部版块 我的主页
论坛 经济学论坛 三区 微观经济学 经济金融数学专区
2020-9-9 07:59:32
华中科技大学2016年竞赛模拟考试1
5.png

解:
                              $\displaystyle \because \sum_{k=1}^{n}kb_k=a_1-(n+1)a_{n+1}+na_{n+2},$

                  又
                               $\displaystyle \because na_n\rightarrow 0,(n \to \infty )$

                               $\displaystyle \therefore \sum_{n=1}^{\infty }nb_n=\lim_{n \to \infty }\sum_{k=1}^{n}kb_k=a_1.$


二维码

扫码加我 拉你入群

请注明:姓名-公司-职位

以便审核进群资格,未注明则拒绝

2020-9-9 08:00:03
华中科技大学2016年竞赛模拟考试1
6.png

解:
            (1)、设
                                         $F(x)=f(x)-\int_{a}^{x}f(x)dx,$

                             则
                                         $\because F(a)=F(b)=0,$

                         由Rolle定理,有
                                          $\exists \xi \in(a,b),s.t.$

                                         $F'(\xi)=f'(\xi)-f(\xi)=0.\Rightarrow f'(\xi)=f(\xi).$

                 (2)、令
                                        $F(x)=f(x)-\int_{0}^{x}f(x)dx,$

                                        $\because F(a)=f(a)-\int_{0}^{a}f(x)dx=-\int_{0}^{a}f(x)dx,$

                                         $F(b)=f(b)-\int_{0}^{b}f(x)dx=-\int_{0}^{b}f(x)dx,$

                              又
                                        $\because \int_{a}^{b}f(x)dx=\int_{0}^{b}f(x)dx-\int_{0}^{a}f(x)dx=0,$

                                        $\therefore F(a)=F(b) ,$

                                        $\exists \varsigma \in(a,b),s.t.$

                                         $F'(\varsigma)=0.$

                       结合(1)知,在$(a,b)$内存在两个导函数的零点,对导函数运用Rolle定理,

                                         $\exists \eta \in(\xi,\varsigma),s.t.$

                                         $F''(\eta)=0,$
                           
                                         $\therefore F''(\eta)=f''(\eta)-f'(\eta)=0.\Rightarrow f''(\eta)=f'(\eta).$


二维码

扫码加我 拉你入群

请注明:姓名-公司-职位

以便审核进群资格,未注明则拒绝

2020-9-9 08:00:33
华中科技大学2016年竞赛模拟考试1
7.png

解:
            QQ图片20200910093537.png

二维码

扫码加我 拉你入群

请注明:姓名-公司-职位

以便审核进群资格,未注明则拒绝

2020-9-9 08:01:05
华中科技大学2016年竞赛模拟考试1
8.png

解:
            由于在原点,不符合高斯公式条件,因此不能用高斯公式计算。分别计算。先计算:$\iint_\Sigma\frac{1}{x}dydz.$

                        由已知条件,有
                                             $\displaystyle x=\pm a\sqrt{1-\frac{y^2}{b^2}-\frac{z^2}{c^2}},$

                                             $\displaystyle D_{yz}:\frac{y^2}{b^2}+\frac{z^2}{c^2}\leq 1,$
                  
                            作坐标变换
                                              $\displaystyle y=br\cos \theta,z=cr\sin\theta,|J|=bcr.$

                               所以
                                               $\displaystyle \iint_\Sigma\frac{1}{x}dydz=2\iint_{D_{yz}}\frac{1}{a\sqrt{1-\frac{y^2}{b^2}-\frac{z^2}{c^2}}}dydz=\frac{2bc}{a}\int_{0}^{2\pi}d\theta \int_{0}^{1}\frac{rdr}{\sqrt{1-r^2}}=\frac{4\pi bc}{a}.$

                               同理,有
                                               $\displaystyle \iint_\Sigma\frac{1}{y}dydz=\frac{4\pi ac}{b}.$

                               而最后一项

                                                 $\displaystyle \iint_\Sigma z^5dydx=2c^5\iint_{D_{xy}}\sqrt{1-\frac{x^2}{a^2}-\frac{y^2}{b^2}}dxdy=2abc^5\int_{0}^{2\pi}d\theta \int_{0}^{1}r\sqrt{1-r^2}dr=\frac{4\pi abc^5}{3}.$

                             因此,原积分值为

                                               $\displaystyle I=\frac{4\pi bc}{a}+\frac{4\pi ac}{b}+\frac{4\pi abc^5}{3}.$



二维码

扫码加我 拉你入群

请注明:姓名-公司-职位

以便审核进群资格,未注明则拒绝

2020-9-9 08:01:30
华中科技大学2016年竞赛模拟考试1
9.png

解:
                    因为
                             $\displaystyle \sum_{n=1}^{\infty }\int_{\pi/6}^{\pi/2}\sin ^nxdx=\int_{\pi/6}^{\pi/2}(\sin x+\sin ^2x+\cdots )dx=\int_{\pi/6}^{\pi/2}\frac{\sin x}{1-\sin x}dx.$

                    为有限积分,收敛。

----------------------------------------
              上面的证法存在不妥,用直接证

                                 $\displaystyle \because \int_{\frac{\pi}{6}}^{\frac{\pi}{2}}\sin^nxdx=\int_{0}^{\frac{\pi}{2}}\sin^nxdx-\int_{0}^{\frac{\pi}{6}}\sin^nxdx,$

                       又
                                 $\int_{0}^{\frac{\pi}{2}}\sin^nxdx=\begin{cases}
\frac{(2n-2)!!}{(2n-1)!!}, & n=2n-1 \\
\frac{(2n-1)!!}{(2n)!!}\frac{\pi}{2}, & n=2n
\end{cases}$
      
                                   $\int_{0}^{\frac{\pi}{6}}\sin^nxdx=\begin{cases}
\frac{(2n-2)!!}{(2n-1)!!}, & n=2n-1 \\
\frac{(2n-1)!!}{(2n)!!}\frac{\pi}{6}, & n=2n
\end{cases}$

                                   $\displaystyle \therefore \int_{\frac{\pi}{6}}^{\frac{\pi}{2}}\sin^nxdx=I_{2n}=\frac{(2n-1)!!}{(2n)!!}\frac{\pi}{3}.$

                                    $\displaystyle \because \frac{I_{2n+2}}{I_{2n}}=\frac{2n+1}{2n+2}=1-\frac{1}{2n+2}< 1.$

                                   $\displaystyle \therefore \sum_{n=1}^{\infty }\int_{\frac{\pi}{6}}^{\frac{\pi}{2}}\sin^nxdx< \infty .$





二维码

扫码加我 拉你入群

请注明:姓名-公司-职位

以便审核进群资格,未注明则拒绝

2020-9-10 12:12:24
华中科技大学2016年竞赛模拟考试1
QQ图片20200910121037.png

证明 :
                  由柯西-施瓦兹不等式:
                                           $\displaystyle \int_{a}^{b}f^2(x)dx\cdot \int_{a}^{b}g^2(x)dx\geq (\int_{a}^{b}f(x)g(x)dx)^2.$

                        有
                                           $\displaystyle \int_{0}^{\pi}xa^{\sin x}dx\cdot \int_{0}^{\pi}a^{-\cos x}dx\geq (\int_{0}^{\pi} \sqrt{xa^{\sin x-\cos x}}dx)^2.$


二维码

扫码加我 拉你入群

请注明:姓名-公司-职位

以便审核进群资格,未注明则拒绝

2020-9-10 14:29:00
2017模拟考试题(4)(韩)
1.png

解:
                $\displaystyle \lim_{x\to\infty }\frac{\int_{x}^{x+3}f(t)t^2dt}{x^2(1+\frac{\sin x}{x})}=\lim_{x\to\infty }\frac{f(x+3)(x+3)^2-f(x)x^2}{2x+\sin x+x\cos x}=\lim_{x\to\infty }\frac{12x+18}{2x+\sin x+x\cos x}=6.$


二维码

扫码加我 拉你入群

请注明:姓名-公司-职位

以便审核进群资格,未注明则拒绝

2020-9-10 14:29:53
2017模拟考试题(4)(韩)
2.png

解:   由已知式,得
                        $\begin{align*}1+x &=\lim_{h\to 0}(f(x+h/(1+x^2))-f(x)+1)^{1/h}\\\\&=\lim_{h\to 0}(f(x+h/(1+x^2))-f(x)+1)^{\frac{1}{f(x+h/(1+x^2))-f(x)}\cdot \frac{f(x+h/(1+x^2))-f(x)}{h}}\\\\&=\lim_{h\to 0}e^{\frac{f'(x)}{1+x^2}}.\end{align*}$

                         $\Rightarrow \frac{f'(x)}{1+x^2}=x,$

                         $f'(x)=x+x^3,$

            解之,得
                          $f(x)=\frac{1}{2}x^2+\frac{1}{4}x^4+C,$

               又
                           $f(0)=0=C,$

                            $\therefore f(x)=\frac{1}{2}x^2+\frac{1}{4}x^4.$

二维码

扫码加我 拉你入群

请注明:姓名-公司-职位

以便审核进群资格,未注明则拒绝

2020-9-10 14:30:22
2017模拟考试题(4)(韩)
3.png

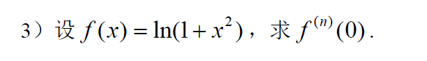
解:
                    由
                            $f(x)=\ln(1+x^2),$

                  得到
                            $f'(x)=\frac{2x}{1+x^2},$

                            $f'(x)(1+x^2)=2x,$

                所以
                             $(f'(x))^{(n-1)}(1+x^2)+C_{n-1}^1(f'(x))^{(n-2)}(1+x^2)'+(f'(x))^{(n-3)}(1+x^2)''=0.$

                             $f^{(n)}(x)(1+x^2)+2(n-1)f^{(n-1)}(x)x+(n-1)(n-2)f^{(n-2)}(x)=0,$

                             $\therefore f^{(n)}(0)=-(n-1)(n-2)f^{(n-2)}(0).$

                 由于
                             $f(0)=0,f'(0)=0,$

                    故
                              $\begin{align*}f^{(n)}(0)&=-(n-1)(n-2)f^{(n-2)}(0)\\\\&=(-1)^2(n-1)(n-2)(n-3)(n-4)f^{(n-4)}(0)\\\\&=\cdots \\\\&=(-1)^{\frac{n-1}{2}}(n-1)!.\end{align*}$

二维码

扫码加我 拉你入群

请注明:姓名-公司-职位

以便审核进群资格,未注明则拒绝

2020-9-10 14:30:53
2017模拟考试题(4)(韩)
4.png


QQ图片20200910211745.png

二维码

扫码加我 拉你入群

请注明:姓名-公司-职位

以便审核进群资格,未注明则拒绝

2020-9-10 14:31:24
2017模拟考试题(4)(韩)
5.png

解:先求直线$L$的法向量:
                                $(1,2,3)\times (2,-1,1)=\begin{vmatrix}
i& j &k \\
1 & 2 & 3\\
2 & -1 & 1
\end{vmatrix}=(5,5,-5)=(1,1,-1).$

               设所求切平面与圆的切点为$P(x_0,y_0,z_0)$.则,过$P$的切平面方程为:
                                     $x_0x+y_0y+z_0z=1.$

                 由题意可知,设(两个法向量平行)
                                     $x_0=k,y_0=k,z_0=-k,$

                     代入圆方程,得
                                      $k^2+k^2+(-k)^2=1$

                                       $k=\frac{1}{\sqrt{3}}.$

                       所以,所求切点$P$的轨迹方程为:
                                      $x+y-z=\sqrt{3}.$

二维码

扫码加我 拉你入群

请注明:姓名-公司-职位

以便审核进群资格,未注明则拒绝

2020-9-10 14:31:50
2017模拟考试题(4)(韩)
6.png

解:
            因为是交错级数,且单调降,因此,级数收敛。令

                             $\displaystyle S(x)=\sum_{n=0}^{\infty }\frac{(-1)^nx^{2n+1}}{2n+1},$

                    则
                              $\displaystyle S'(x)=\sum_{n=0}^{\infty }(-1)^nx^{2n}=\frac{1}{1+x^2}.$

                              $\displaystyle \therefore S(x)=\arctan x,$

                    故
                             $\displaystyle S=\sum_{n=0}^{\infty }\frac{(-1)^n}{2n+1}=S(1)=\arctan 1=\frac{\pi}{4}.$

二维码

扫码加我 拉你入群

请注明:姓名-公司-职位

以便审核进群资格,未注明则拒绝

2020-9-10 14:32:18
2017模拟考试题(4)(韩)
7.png

QQ图片20200911084214.png
二维码

扫码加我 拉你入群

请注明:姓名-公司-职位

以便审核进群资格,未注明则拒绝

2020-9-10 14:32:44
2017模拟考试题(4)(韩)
8.png

证明:
                   设
                                 $\displaystyle g(x)=\frac{1}{12}(x-a)^2(x-b)^2,$
                    则
                                    $\displaystyle g^{(n)}(x)=2!.$

                 作辅助函数
                                     $\displaystyle F(t)=f(t)g(x)-f(x)g(t),$  

              先将$x$看作常量
                                   $\displaystyle \because F(a)=F(b)=0,$

                 由Rolle定理
                                   $\displaystyle \therefore \exists \eta_1\in(a,b),s.t.$

                                   $\displaystyle F'(\eta_1)=f'(\eta_1)g(x)-f(x)g'(\eta_1)=0,$
                         又
                                    $\displaystyle \because F'(a)=F'(\eta_1)=F'(b)=0,$

                    再次由Rolle定理
                                     $\displaystyle \therefore \exists \eta_2\in(a,\eta_1),\eta_3\in(\eta_1,b),s.t.$

                                     $\displaystyle F''(\eta_2)=f''(\eta_2)g(x)-f(x)g''(\eta_2)=0,$

                                     $\displaystyle F''(\eta_3)=f''(\eta_3)g(x)-f(x)g''(\eta_3)=0,$

                    再由Rolle定理
                                   $\displaystyle \therefore \exists \eta_4\in(\eta_2,\eta_3),s.t.$

                                    $\displaystyle F'''(\eta_4)=f'''(\eta_4)g(x)-f(x)g'''(\eta_4)=0,$

                     由于$\eta_i$的任意性,故有
                                     $\displaystyle \exists \xi=\eta_4=t\in(a,b),$

                                     $\displaystyle \Rightarrow F^{(4)}(\xi)=f^{(4)}(\xi)g(x)-f(x)g^{(4)}(\xi)=0.$

                                     $\displaystyle \therefore f(x)=\frac{f^{(4)}(\xi)}{2!}(x-a)^2(x-b)^2.$




二维码

扫码加我 拉你入群

请注明:姓名-公司-职位

以便审核进群资格,未注明则拒绝

2020-9-10 14:33:19
2017模拟考试题(4)(韩)
9.png

解:先图示意图,分划积分区域如下:

                            $x[x+y]=\begin{cases}
0,&D_1:0\leq x+y<1,x\geq 0,y\geq 0;\\
x,&D_2:1\leq x+y<2,x\geq 0,y\geq 0;\\
2x,&D_3:2\leq x+y<3,x\geq 0,y\geq 0;\\
3x,&D_4:3\leq x+y<4,x\geq 0,y\geq 0;
\end{cases}$

                            $\displaystyle I=\iint_Dx[x+y]dxdy=\iint_{D_1}x[x+y]dxdy+\iint_{D_2}x[x+y]dxdy+\iint_{D_3}x[x+y]dxdy+\iint_{D_4}x[x+y]dxdy.$

                             $\displaystyle \iint_{D_1}x[x+y]dxdy=0.$

                             $\displaystyle \iint_{D_2}x[x+y]dxdy=\int_{0}^{1}xdx\int_{1-x}^{2-x}dy+\int_{1}^{2}xdx\int_{0}^{2-x}dy=\frac{1}{2}+\frac{2}{3}=\frac{7}{6}.$

                              $\displaystyle \iint_{D_3}x[x+y]dxdy=\int_{0}^{1}2xdx\int_{2-x}^{2}dy+\int_{1}^{2}2xdx\int_{1}^{3-x}dy+\int_{1}^{2}2xdx\int_{2-x}^{1}dy=\frac{11}{3}.$

                              $\displaystyle \iint_{D_4}x[x+y]dxdy=\int_{1}^{2}3xdx\int_{3-x}^{2}dy=\frac{5}{2}.$

                              $\displaystyle \therefore I=0+\frac{7}{6}+{11}{3}+\frac{5}{2}=\frac{22}{3}.$
                         QQ图片20200911084214.png
二维码

扫码加我 拉你入群

请注明:姓名-公司-职位

以便审核进群资格,未注明则拒绝

2020-9-10 14:33:46
2017模拟考试题(4)(韩)
10.png

1.png
2.png

                             此题解答由微信公众号:智慧e数学 提供。
二维码

扫码加我 拉你入群

请注明:姓名-公司-职位

以便审核进群资格,未注明则拒绝

2020-9-10 14:34:13
2017模拟考试题(4)(韩)
11.png

证明:
                     设
                              $\displaystyle H_n=1+\frac{1}{2}+\frac{1}{3}+\cdots +\frac{1}{n},$
                      则
                              $\begin{align*}\sum_{n=1}^{\infty }\frac{H_n}{n(n+1)}&=\sum_{n=1}^{\infty }(\frac{H_n}{n}-\frac{H_n}{n+1})\\\\&=\sum_{n=1}^{\infty }(\frac{H_{n}}{n}-\frac{H_{n+1}-\frac{1}{n+1}}{n+1})\\\\&=\sum_{n=1}^{\infty }(\frac{H_n}{n}-\frac{H_{n+1}}{n+1})+\sum_{n=1}^{\infty }\frac{1}{(n+1)^2}\\\\&=\sum_{n=1}^{\infty }(\frac{H_n}{n}-\frac{H_{n+1}}{n+1})+\sum_{n=1}^{\infty }\frac{1}{n^2}-1\\\\&=1-\lim_{n \to \infty }\frac{H_{n+1}}{n+1}+\sum_{n=1}^{\infty }\frac{1}{n^2}-1\\\\&=\lim_{n \to \infty }\frac{H_{n+1}}{n+1}+\frac{\pi^2}{6}.\end{align*}$
                     又        
                              $\displaystyle \because \lim_{n \to \infty }\frac{H_{n+1}}{n+1}=\lim_{n \to \infty }\frac{\frac{1}{n+1}}{n+1-n}=0.$
                    故
                              $\displaystyle \therefore \sum_{n=1}^{\infty }\frac{H_n}{n(n+1)}=\frac{\pi^2}{6}.$

        参见:“大学生数学竞赛辅导班讲义汇总(共150页带习题)”16/150,题3

二维码

扫码加我 拉你入群

请注明:姓名-公司-职位

以便审核进群资格,未注明则拒绝

2020-9-10 14:34:50
2017模拟考试题(4)(韩)
12.png
二维码

扫码加我 拉你入群

请注明:姓名-公司-职位

以便审核进群资格,未注明则拒绝

2020-9-16 22:20:14
一道积分题
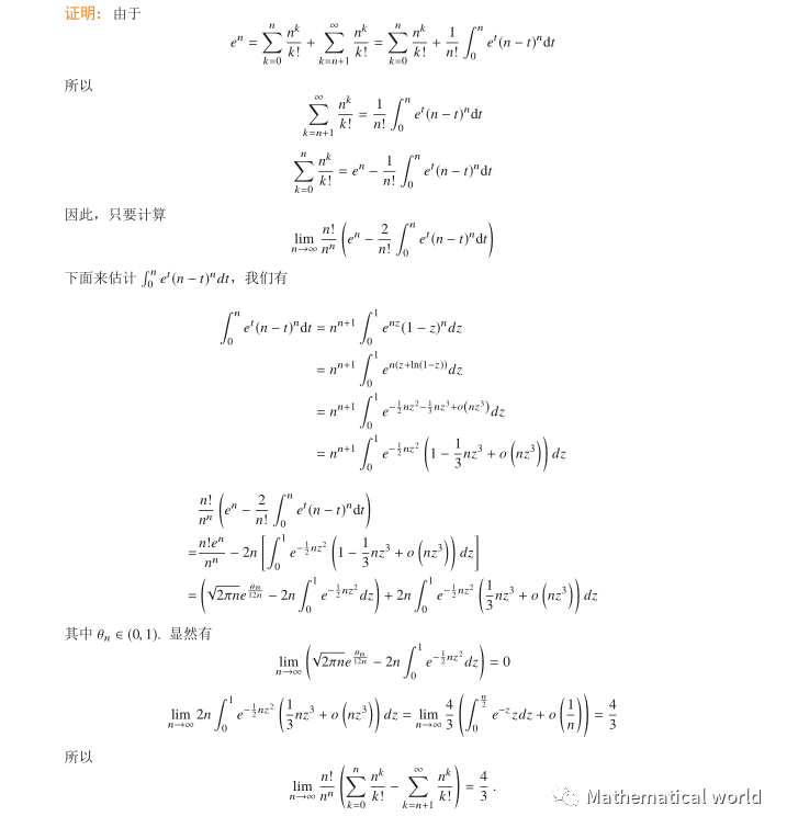
微信图片_20200916221616.jpg
二维码

扫码加我 拉你入群

请注明:姓名-公司-职位

以便审核进群资格,未注明则拒绝

2020-9-16 22:20:46
微信图片_20200916221631.jpg
二维码

扫码加我 拉你入群

请注明:姓名-公司-职位

以便审核进群资格,未注明则拒绝

2020-9-17 16:44:30
两个常用但不太明显的三角和公式:
1.png
2.png
3.jpg
4.jpg


二维码

扫码加我 拉你入群

请注明:姓名-公司-职位

以便审核进群资格,未注明则拒绝

2020-9-17 19:29:58
1.png
2.png
二维码

扫码加我 拉你入群

请注明:姓名-公司-职位

以便审核进群资格,未注明则拒绝

2020-9-19 14:43:52
微信图片_20200919144224.jpg
二维码

扫码加我 拉你入群

请注明:姓名-公司-职位

以便审核进群资格,未注明则拒绝

2020-9-19 14:47:59
微信图片_20200919144224.jpg
二维码

扫码加我 拉你入群

请注明:姓名-公司-职位

以便审核进群资格,未注明则拒绝

2020-9-19 14:50:26
1.png
2.jpg
二维码

扫码加我 拉你入群

请注明:姓名-公司-职位

以便审核进群资格,未注明则拒绝

2020-9-20 10:18:14
杨州大学2020年601数学分析试题
1.png

解:
     1、
                          $\displaystyle \because 1=\sqrt[n]{\frac{n}{n^{2020}}}< \sqrt[n]{1+\frac{1}{2^{2020}}+\cdots +\frac{1}{n^{2020}}}< \sqrt[n]{n}=1,(n \to \infty )$

                           $\displaystyle \therefore \lim_{n \to \infty }\sqrt[n]{1+\frac{1}{2^{2020}}+\cdots +\frac{1}{n^{2020}}}=1.$


    2、
                          $\displaystyle \lim_{x\to 0}[\frac{1}{x}-\frac{1}{x^2}\ln(1+x)]=\lim_{x\to 0}\frac{x-\ln(1+x)}{x^2}=\lim_{x\to 0}\frac{1-\frac{1}{1+x}}{2x}=\frac{1}{2}.$

注:题2中符忠$[]$未做说明,只当是括号处理。如作取整函数看,结果应为$0$。



二维码

扫码加我 拉你入群

请注明:姓名-公司-职位

以便审核进群资格,未注明则拒绝

2020-9-20 10:18:47
杨州大学2020年601数学分析试题
2.png

解:
        3、
                            $\displaystyle \because y=\ln(x+\sqrt{1+x^2}),$

                            $\displaystyle \therefore y'=\frac{1+\displaystyle \frac{x}{\sqrt{1+x^2}}}{x+\sqrt{1+x^2}}=\frac{1}{\sqrt{1+x^2}},$

                            $\displaystyle y''=-\frac{x}{\sqrt{(1+x^2)^3}}.$

        4、
                           
                            $\displaystyle \because a=\frac{\pi}{6},b=\frac{\pi}{3},$

                            $\displaystyle \therefore f(x)=\frac{\cos^2x}{x(\pi-2x)},f(a+b-x)=\frac{\sin^2x}{x(\pi-2x)},$

               利用所给公式,有
                            $\begin{align*}\int_{\pi/6}^{\pi/3}f(x)dx&=\frac{1}{2}\int_{\pi/6}^{\pi/3}(f(x)+f(a+b-x))dx\\\\&=\frac{1}{2}\int_{\pi/6}^{\pi/3}\frac{1}{x(\pi-2x)}dx\\\\&=\frac{1}{\pi}\int_{\pi/6}^{\pi/3}(\frac{1}{2x}+\frac{1}{\pi-2x})dx\\\\&=\frac{1}{\pi}(\frac{1}{2}\ln2+\frac{1}{2}\ln\frac{1}{2})\\\\&=0.\end{align*}$

二维码

扫码加我 拉你入群

请注明:姓名-公司-职位

以便审核进群资格,未注明则拒绝

2020-9-20 10:19:11
杨州大学2020年601数学分析试题
3.png

解:
                         $\begin{align*}S&=\sum_{n=1}^{\infty }\frac{x^{n+1}}{n(n+1)}\\\\&=\sum_{n=1}^{\infty }\frac{x^{n+1}}{n}-\sum_{n=1}^{\infty }\frac{x^{n+1}}{n+1}\\\\&=x\int_{0}^{x}(\sum_{n=1}^{\infty }x^{n-1})dx-\int_{0}^{x}(\sum_{n=1}^{\infty }x^{n})dx\\\\&=x\ln(1-x)+x-\ln(1-x)\\\\&=x+(x-1)\ln(1-x),(|x|< 1)\end{align*}$

                         $x=1,S=1.$

                          $x=-1,$时

                          $\displaystyle S=\sum_{n=1}^{\infty }\frac{(-1)^{n+1}}{n(n+1)}=\sum_{n=1}^{\infty }(-1)^{n+1}(\frac{1}{n}-\frac{1}{n+1})=1-2(1-\frac{1}{2}+\frac{1}{3}+\cdots )=1-2\ln2.$

二维码

扫码加我 拉你入群

请注明:姓名-公司-职位

以便审核进群资格,未注明则拒绝

2020-9-20 10:19:34
杨州大学2020年601数学分析试题
4.png

解:
       1、
                    $\displaystyle \because |x_{n+1}-x_{n}|\leq \frac{1}{2}|x_{1}-x_{n-1}|,$

                    $\displaystyle \therefore |x_{n+1}-x_{n}|\leq \frac{1}{2}|x_{n}-x_{n-1}|\leq\cdots \leq  \frac{1}{2^{n-1}}|x_{2}-x_{1}|\rightarrow 0,(n \to \infty )$

              由此可知,$\displaystyle \{x_n\}$是柯西列,收敛。

     2、不一定。反例如:
                                 $\displaystyle f(x)=|x|.$


    3、


    4、正确。
                      因为可导必定是连续的,而连续的一定可积,所以可导就一般可积。由Lagrange 中值定理:

                                    $\displaystyle f(b)-f(a)=f'(\xi)(b-a),$

                         知等式两边均可积,再由$\xi$的任意性,可知$f'(x)$必可积。

    5、正确。(:此题证明细节上有问题,待修改)
                      利用Abel公式,有
                                     $\displaystyle \sum_{n=1}^{\infty }a_nb_n=\lim_{n \to \infty }\sum_{k=1}^{n}a_kb_k=\lim_{n \to \infty }(a_nB_n+\sum_{k=1}^{n-1}B_k(a_k-a_{k-1}))< \lim_{n \to \infty }(a_nB_n+B\sum_{k=1}^{n-1}a_k),$

                                      $\displaystyle \because B_n=\sum_{k=1}^{n}b_n=B< \infty,(n \to \infty )$

                                                $\displaystyle a_n\rightarrow 0,(n \to \infty )$

                                      $\displaystyle \therefore \lim_{n \to \infty }a_nB_n=0.$

                 同理,有
                                      $\displaystyle \sum_{k=1}^{n-1}a_k=A<\infty ,(n \to \infty )$

                                      $\displaystyle B\sum_{k=1}^{n-1}a_k< \infty ,$

                                     $\displaystyle \therefore \sum_{n=1}^{\infty }a_nb_n<\infty. $
二维码

扫码加我 拉你入群

请注明:姓名-公司-职位

以便审核进群资格,未注明则拒绝

2020-9-20 10:19:56
杨州大学2020年601数学分析试题
5.png

分析:
            要使
                        $\displaystyle 0<\frac{3^n}{n!}=\frac{3}{n}\cdot \frac{3}{n-1}\cdots \frac{3}{3}\cdot \frac{3}{2}\cdot \frac{3}{1}<3(\frac{3}{4})^{n-4}<\epsilon,$

                         $\displaystyle \Rightarrow N=4+[\frac{\ln\frac{\epsilon}{3}}{\ln\frac{3}{4}}].$

证明:
                         $\displaystyle \forall \epsilon > 0,\exists N=4+[\frac{\ln\frac{\epsilon}{3}}{\ln\frac{3}{4}}],n> N,s.t.$

                          $\displaystyle |\frac{3^n}{n!}-0|< \epsilon.$
二维码

扫码加我 拉你入群

请注明:姓名-公司-职位

以便审核进群资格,未注明则拒绝

栏目导航
热门文章
推荐文章

说点什么

分享

扫码加好友,拉您进群
各岗位、行业、专业交流群