全部版块 我的主页
论坛 经济学论坛 三区 微观经济学 经济金融数学专区
2020-9-20 10:20:30
杨州大学2020年601数学分析试题
6.png

证明 :
       1)、
                               $\displaystyle \because 0\leq |x_{n+1}|=|\sin x_n|\leq 1,$

                      又
                               $\displaystyle x_{n+1}=\sin x_n\leq x_n,$

              所以,已知数列有界单调,收敛。

                     令
                              $\displaystyle \lim_{n\to \infty}x_n=l.$

                   则由已知条件,有
                                $\displaystyle l=\sin l.$

                     解之得:
                              $\displaystyle \lim_{n\to \infty}x_n=l=0.$   

         2)、
                               $\begin{align*}\because \lim_{n \to \infty}nx^2_n&= \lim_{n \to \infty}\frac{n+1-n}{\frac{1}{x^2_{n+1}}-\frac{1}{x^2_{n}}}\\\\&=\lim_{n \to \infty}\frac{x^2_{n+1}x^2_{n}}{x^2_{n}-x^2_{n+1}}\\\\&< \lim_{n \to \infty}\frac{x^2_n\sin^2x_{n}}{x^2_{n}-\sin^2x_{n}}\\\\&=\lim_{n \to \infty}\frac{x^4_n}{x^2_n-(x-\frac{1}{3!}x^3+o(x^3))^2}\\\\&=\lim_{n \to \infty}\frac{x^4_n}{x^2_n-(x^2-\frac{1}{3}x^4+o(x^3))}\\\\&=3.\end{align*}$

                               $\displaystyle \therefore \lim_{n \to \infty}nx^2_n=3.$


二维码

扫码加我 拉你入群

请注明:姓名-公司-职位

以便审核进群资格,未注明则拒绝

2020-9-20 10:20:57
杨州大学2020年601数学分析试题
7.png

解:
               由于
                                       $\because f(x+T)=f(x),f\in C(-\infty,+\infty),$

                        根据连续周期函数的性质,可以只考虑在一个周期内的情况。由Lagrange中值定理,有

                                       $\forall x_1,x_2\in[0,T],\forall \epsilon > 0,\exists \delta >0,|x_2-x_1|<\delta ,\exists \xi\(0,T),s.t.$

                                       $|f(x_2)-f(x_1)|=|f'(\xi)(x_2-x_1)|\leq M|x_2-x_1|<\delta=\epsilon,$

                       由此可知,连续周期函数一致收敛。

                 考察函数$\sin x^2$.设该函数有周期$T>0$,则应该有

                                           $\exists \epsilon > 0,s.t.$

                                         $\begin{align*}|f(x+T)-f(x)|&=|\sin(x+T)^2-\sin x^2|\\\\&=|2\cos\frac{(x+T)^2+x^2}{2}\sin\frac{(x+T)^2-x^2}{2}|\\\\&=2|\cos\frac{(x+T)^2+x^2}{2}\sin\frac{(x+T)^2-x^2}{2}|\\\\&< |(x+T)^2-x^2|\\\\&=|(2x+T)T|\\\\&\leq 3T^2\\\\&< \epsilon ,\end{align*}$

                          由此得出
                                         $\Rightarrow T=0.$

                    而这与假设矛盾。故函数为非周期函数。



二维码

扫码加我 拉你入群

请注明:姓名-公司-职位

以便审核进群资格,未注明则拒绝

2020-9-20 10:21:57
杨州大学2020年601数学分析试题
8.png

证明:
                         设:
                                 $\displaystyle f(x)=\frac{1}{x}\sin x^2,$

                     则有
                                $\displaystyle \lim_{x\to+\infty}f(x)=0,\lim_{x\to+\infty}f'(x)=\lim_{x\to+\infty}(-\frac{1}{x^2}\sin x^2+2\cos x^2)\neq 0.$

                  设有
                                $\displaystyle \because \lim_{x\to+\infty}f(x)=0,\lim_{x_0\to+\infty}f(x_0)=0,|f''(x_0)|\leq M,$

                  由泰勒展开公式
                                 $\displaystyle f(x)=f(x_0)+f'(x_0)(x-x_0)+\frac{1}{2!}f''(\xi)(x-x_0)^2,$

                  由此
                                 $\displaystyle \lim_{x_0\to+\infty}f'(x_0)=-\lim_{x\to+\infty}\frac{1}{2!}f''(\xi)(x-x_0)=-\lim_{x\to+\infty}\frac{1}{2!}M(x-x_0)=0.$

二维码

扫码加我 拉你入群

请注明:姓名-公司-职位

以便审核进群资格,未注明则拒绝

2020-9-20 10:22:18
杨州大学2020年601数学分析试题
9.png

证明:
                       $\begin{align*}\because \int_{a}^{b}f^2(x)dx\int_{a}^{b}g^2(x)dx-[\int_{a}^{b}f(x)g(x)dx]^2&=\int_{a}^{b}f^2(x)dx\int_{a}^{b}g^2(y)dy-\int_{a}^{b}f(x)g(x)dx\int_{a}^{b}f(y)g(y)dy\\\\&=\int_{a}^{b}(\int_{a}^{b}f^2(x)g^2(y)dy)dx-\int_{a}^{b}(\int_{a}^{b}f(x)g(x)f(y)g(y)dy)dx\\\\&=\int_{a}^{b}(\int_{a}^{b}[f^2(x)g^2(y)-f(x)g(x)f(y)g(y)]dy)dx,----(1)\end{align*}$

           同理可得
                          $\begin{align*}\int_{a}^{b}f^2(x)dx\int_{a}^{b}g^2(x)dx-[\int_{a}^{b}f(x)g(x)dx]^2&=\int_{a}^{b}(\int_{a}^{b}[f^2(y)g^2(x)-f(x)g(x)f(y)g(y)]dy)dx,----(2)\end{align*}$

            由(1)(2)可得,
                         $\begin{align*}\therefore \int_{a}^{b}f^2(x)dx\int_{a}^{b}g^2(x)dx-[\int_{a}^{b}f(x)g(x)dx]^2&=\frac{1}{2}\int_{a}^{b}(\int_{a}^{b}[f(y)g(x)-f(x)g(y)]^2dy)dx\geq 0,\end{align*}$

           所以,有
                          $\displaystyle \Rightarrow \int_{a}^{b}f^2(x)dx\int_{a}^{b}g^2(x)dx\geq [\int_{a}^{b}f(x)g(x)dx]^2.$




二维码

扫码加我 拉你入群

请注明:姓名-公司-职位

以便审核进群资格,未注明则拒绝

2020-9-20 10:22:45
杨州大学2020年601数学分析试题
10.png

证明;
          1)、用反证法,设$e$为有理数,即有
                                   $\displaystyle e=\frac{p}{q}=1+\frac{1}{2!}+\frac{1}{3!}+\cdots +\frac{1}{q!}+\frac{1}{(q+1)!}+\cdots ,(q>1 )$

                       对上式进行变形整理,得
                                    $\displaystyle q!(\frac{p}{q}-1-\frac{1}{2!}-\frac{1}{3!}-\cdots -\frac{1}{q!})=\frac{1}{q+1}+\frac{1}{(q+2)(q+1)}+\frac{1}{(q+3)(q+2)(q+1)}+\cdots ,$

                      显然上式左边为整数,而右边有
                                    $\begin{align*}0&< \frac{1}{q+1}+\frac{1}{(q+2)(q+1)}+\frac{1}{(q+3)(q+2)(q+1)}+\cdots\\\\&< \frac{1}{q+1}+\frac{1}{(q+2)(q+1)}+\frac{1}{(q+3)(q+2)}+\cdots\\\\&<\frac{1}{q+1}+(\frac{1}{q+1}-\frac{1}{q+2})+(\frac{1}{q+2}-\frac{1}{q+3})+\cdots \\\\&=\frac{2}{q+1}< 1.\end{align*}$

                     即,右边为无理数,与假设矛盾。由此可知,$e$必为无理数。

       2)、
                                    $\displaystyle \because e=1+\frac{1}{2!}+\frac{1}{3!}+\cdots +\frac{1}{n!}+\cdots ,$

                                     $\displaystyle \therefore en!=n!(1+\frac{1}{2!}+\frac{1}{3!}+\cdots +\frac{1}{n!})+\frac{1}{n+1}+\cdots ,$

                     注意到上述等式的第一部分为整数,而第二部分有
                                      $\displaystyle \frac{1}{n+1}< \frac{1}{n+1}+\frac{1}{(n+2)(n+1)} +\cdots < \frac{1}{n},$

                       因此得
                                       $\displaystyle n\cdot \frac{\pi}{n+1}< n\sin(\pi en!)< n\cdot \frac{\pi}{n},$

                          从而有
                                         $\displaystyle \therefore \lim_{n \to \infty }n\sin(\pi en!)=\pi.$


二维码

扫码加我 拉你入群

请注明:姓名-公司-职位

以便审核进群资格,未注明则拒绝

2020-9-20 10:23:14
杨州大学2020年601数学分析试题
11.png

证明:
               由已知可知:
                                          $\because |f(x)|\leq M,$

                                          $\therefore |x_n|\leq M.$

                     又
                                            $\because |f'(x)|\leq 1,$

                                          $\therefore 0\leq f'(x)\leq 1,or,-1\leq f'(x)< 0.$

                               当
                                          $0\leq f'(x)\leq 1,$
  
                              时,有
                                          $f(x)\uparrow ,x_n\uparrow ,$

                       数列$\{x_n\}$单调有界,收敛。同理当
                                             $-1\leq f'(x)< 0,$

                             时,有
                                            $f(x)\downarrow ,x_n\downarrow ,$

                       数列$\{x_n\}$也单调有界,收敛。

                        综上可知,命题成立。


二维码

扫码加我 拉你入群

请注明:姓名-公司-职位

以便审核进群资格,未注明则拒绝

2020-9-21 10:59:15
西北大学2018数学分析试题
1.png

解:
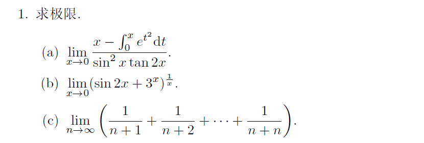
         (a)、
                               $\begin{align*}\lim_{x\to0}\frac{x-\int_{0}^{x}e^{t^2}dt}{\sin^2x\tan2x}&=\lim_{x\to0}\frac{x-\int_{0}^{x}e^{t^2}dt}{x^2\cdot 2x+o(x^3)}\\\\&=\lim_{x\to0}\frac{1-e^{x^2}}{6x^2+o(x^2)}\\\\&=\lim_{x\to0}\frac{-x^2+o(x^2)}{6x^2+o(x^2)}\\\\&=-\frac{1}{6}.\end{align*}$


          (b)、
                                $\begin{align*}\lim_{x\to0}(\sin2x+3^x)^{\frac{1}{x}}&=\lim_{x\to0}(1+\sin2x+3^x-1)^{\displaystyle \frac{1}{\sin2x+3^x-1}\cdot \frac{\sin2x+3^x-1}{x}}\\\\&=\lim_{x\to0}e^{\displaystyle \frac{\sin2x+3^x-1}{x}}\\\\&=\lim_{x\to0}e^{\displaystyle \frac{2x+o(x)+x\ln3+o(x)}{x}}\\\\&=e^{\displaystyle 2+\ln3}\\\\&=3e^2.\end{align*}$


        (c)、
                               $\begin{align*}\lim_{n\to\infty}(\frac{1}{n+1}+\frac{1}{n+2}+\cdots +\frac{1}{n+n})&=\lim_{n\to\infty}\frac{1}{n}(\frac{1}{1+\frac{1}{n}}+\frac{1}{1+\frac{2}{n}}+\cdots +\frac{1}{1+\frac{n}{n}})\\\\&=\int_{0}^{1}\frac{1}{1+x}dx=\ln2.\end{align*}$


二维码

扫码加我 拉你入群

请注明:姓名-公司-职位

以便审核进群资格,未注明则拒绝

2020-9-21 10:59:42
西北大学2018数学分析试题
2.png

证明:
                           $\because a_{n+1}=\sqrt{6+a_n},$

                           $\therefore 0< a_n< \sqrt{6},$

                           $a^2_{n+1}-a^2_n=a_n-a_{n-1},$

                          $\begin{align*}a_{n+1}-a_n&=\frac{a_n-a_{n-1}}{a_{n+1}+a_n}\\\\&=\frac{a_n-a_{n-1}}{\sqrt{6+a_n}+\sqrt{6+a_{n-1}}}\\\\&\geq \frac{a_n-a_{n-1}}{\sqrt{6+\sqrt{6}}+\sqrt{6+\sqrt{6}}}\\\\&\geq \cdots \\\\&\geq \frac{a_2-a_{1}}{(2\sqrt{6+\sqrt{6}})^{n-1}}\\\\&> 0.\end{align*}$





二维码

扫码加我 拉你入群

请注明:姓名-公司-职位

以便审核进群资格,未注明则拒绝

2020-9-21 11:00:12
西北大学2018数学分析试题
3.png

(略)
二维码

扫码加我 拉你入群

请注明:姓名-公司-职位

以便审核进群资格,未注明则拒绝

2020-9-21 11:00:37
西北大学2018数学分析试题
4.png

(略)

二维码

扫码加我 拉你入群

请注明:姓名-公司-职位

以便审核进群资格,未注明则拒绝

2020-9-21 11:02:04
西北大学2018数学分析试题
5.png

证明:
                  设有
                             $\displaystyle 0< x< y< 1,$

                 此时
                               $\displaystyle 0< \frac{x}{y}<1,$

                                $\displaystyle \because \frac{x}{y}=(\frac{x}{y})^1< (\frac{x}{y})^x=\frac{x^x}{y^x}< \frac{x^y}{y^x},$

                  故
                              $\displaystyle \therefore \frac{y}{x}> \frac{y^x}{x^y}.$

                  同样,当
                             $\displaystyle 1< x< y,$

                      时,同样可证结论也成立。


注:也可以用函数求导法证明,但是我觉得好象没有初等方法简明。


二维码

扫码加我 拉你入群

请注明:姓名-公司-职位

以便审核进群资格,未注明则拒绝

2020-9-21 11:02:28
西北大学2018数学分析试题
6.png

与2020年上海交大的考题相同。利用有限覆盖定理证明 。




二维码

扫码加我 拉你入群

请注明:姓名-公司-职位

以便审核进群资格,未注明则拒绝

2020-9-21 11:02:57
西北大学2018数学分析试题
7.png

解:因为被积函数在原点无定义。故作一个包围原点的小椭圆$L$包含在单位圆$C$内.则

                                       $\displaystyle L\subset C,L:x^2+4y^2=\epsilon^2,$

                                        $\displaystyle \because \frac{\partial Q}{\partial x}=\frac{\partial P}{\partial y}=\frac{-x^2-8xy+4y^2}{(x^2+4y^2)^2},$

                                         $\displaystyle \therefore \oint_{C^++L^-}=0.$

                 于是,利用格林公式
                                         $\begin{align*}I&=\oint_{C^+}=\oint_{C^++L^-}+\oint_{L^+}\\\\&=0+\oint_{L^+}\frac{(x-y)dx+(x+4y)dy}{\epsilon^2}\\\\&=\frac{1}{\epsilon^2}\iint_S 2dxdy\\\\&=\frac{2}{\epsilon ^2} \cdot \pi\cdot \epsilon \cdot \frac{\epsilon }{2}\\\\&=\pi.\end{align*}$

注:这里的解法是典型的。也是最简的。此类题型几乎年年考。

二维码

扫码加我 拉你入群

请注明:姓名-公司-职位

以便审核进群资格,未注明则拒绝

2020-9-21 11:03:23
西北大学2018数学分析试题
8.png

解:
                         $\begin{align*}I&=\iint_Sxdydz+ydzdx+(z^2-2z)dxdy\\\\&=\iiint_\Omega (1+1+2z-2)dxdydz\\\\&=\iiint_\Omega 2zdxdydz=\iint_Sdxdy\int_{\sqrt{x^2+y^2}}^{1}2zdz\\\\&=\iint_S(1-x^2-y^2)dxdy\\\\&=\int_{0}^{2\pi}d\theta \int_{0}^{1}r(1-r^2)dr\\\\&=-\pi\cdot \frac{1}{4}\cdot (1-r^2)^2|_0^1\\\\&=\frac{1}{4}\pi.\end{align*}$



二维码

扫码加我 拉你入群

请注明:姓名-公司-职位

以便审核进群资格,未注明则拒绝

2020-9-21 11:03:49
西北大学2018数学分析试题
9.png

证明:
                          $\because y\in[a,+\infty),|\sin x|\leq 1,$

                          $e^{-xy}\rightarrow 0,(x\to +\infty)$

                 由Dirichlet判别法,知在$y\in[a,+\infty)$,无穷积分一致收敛。

                        $\begin{align*}\int_{0}^{+\infty}e^{-xy}\sin xdx&=-\frac{1}{y}\int_{0}^{+\infty}e^{-xy}\sin xd(-xy)\\\\&=-\frac{1}{y}(e^{-xy}\sin x|_0^{+\infty}-\int_{0}^{+\infty}e^{-xy}\cos xdx)\\\\&=\frac{1}{y}\int_{0}^{+\infty}e^{-xy}\cos xdx\\\\&=\frac{A}{y},(A=\int_{0}^{+\infty}e^{-xy}\cos xdx)\end{align*}$

                   而$\frac{A}{y}$在$(0,1)$上非一致连续。

      
               
二维码

扫码加我 拉你入群

请注明:姓名-公司-职位

以便审核进群资格,未注明则拒绝

2020-9-21 11:04:15
西北大学2018数学分析试题
10.png

证明:
     (1)、
                          $\displaystyle \because |x-y|^2= (x_1-y_1)^2+(x_2-y_2)^2,$

                           $\begin{align*}\therefore \iint_{R^2}\frac{1}{4\pi t}e^{-\frac{|x-y|^2}{4t}}dy_1dy_2&=\frac{1}{\pi}\int_{0}^{+\infty }e^{-\frac{(x_2-y_2)^2}{2\sqrt{t}}}d(\frac{x_2-y_2}{2\sqrt{t}})\int_{0}^{+\infty }e^{-\frac{(x_1-y_1)^2}{2\sqrt{t}}}d(\frac{x_1-y_1}{2\sqrt{t}})\\\\&=\frac{1}{\pi}\cdot \sqrt{\pi}\cdot \sqrt{\pi}=1.\end{align*}$


     (2)、由结论(1)及积分中值定理,得
                               $\displaystyle \exists \xi\in R^2,s.t.$

                              $\begin{align*}u(t,x)&=\iint_{R^2}\frac{1}{4\pi t}e^{-\frac{|x-y|^2}{4t}}f(y)dy_1dy_2\\\\&=f(\xi)\iint_{R^2}\frac{1}{4\pi t}e^{-\frac{|x-y|^2}{4t}}dy_1dy_2\\\\&=f(\xi).\end{align*}$

                   令
                              $\displaystyle \frac{x-y}{2\sqrt{t}}=v,$

                              $\displaystyle y=x-2\sqrt{t}v,$

                   由$\xi$的任意性,可知
                             $\displaystyle \therefore \lim_{t\to0^+}u(t,x)=\lim_{t\to0^+}f(\xi)=\lim_{t\to0^+}f(x-2\sqrt{t}v)=f(x).$

二维码

扫码加我 拉你入群

请注明:姓名-公司-职位

以便审核进群资格,未注明则拒绝

2020-9-22 12:43:12
吉林大学2020年数学分析考研试题
1.png

1、解
                         $\begin{align*}\lim_{x\to 0}\frac{e-(1+x)^{\frac{1}{x}}}{x}&=\lim_{x\to 0}\frac{e-e^{\frac{1}{x}\ln(1+x)}}{x}\\\\&=\lim_{x\to 0}\frac{e-e^{\frac{1}{x}(x+\frac{1}{2}x^2+o(x^2))}}{x}\\\\&=\lim_{x\to 0}\frac{e-e^{1+\frac{1}{2}x+o(x)}}{x}\\\\&=e\lim_{x\to 0}\frac{1-e^{\frac{1}{2}x+o(x)}}{x}\\\\&=e\lim_{x\to 0}\frac{-\frac{1}{2}x+o(x)}{x}\\\\&=-\frac{1}{2}e.\end{align*}$


2、解
                       $\displaystyle \lim_{n \to \infty }(n!)^{\displaystyle \frac{1}{n^2}}=\lim_{n \to \infty }e^{\displaystyle \frac{1}{n^2}\ln(n!)},$

                        $\displaystyle \because 0< \frac{1}{n^2}\ln(n!)< \frac{1}{n^2}\cdot n\ln n=\frac{\ln n}{n}\rightarrow 0,(n \to \infty )$

                        $\displaystyle \therefore \lim_{n \to \infty }(n!)^{\frac{1}{n^2}}=1.$

               
二维码

扫码加我 拉你入群

请注明:姓名-公司-职位

以便审核进群资格,未注明则拒绝

2020-9-22 12:43:39
吉林大学2020年数学分析考研试题
2.png

解:
          (3)、令
                                         $t=\sqrt{x},dx=2tdt,$

                                          $\begin{align*}I&=\int \frac{dx}{(\sqrt{x}+1)(x+3)}\\\\&=\int \frac{2tdt}{(t+1)(t^2+3)}\\\\&=\frac{1}{2}\int\left ( \frac{t+3}{t^2+3}-\frac{1}{t+1}\right )dt\\\\&=\frac{1}{2}\int\left ( \frac{t}{t^2+3}+\frac{3}{t^2+3}-\frac{1}{t+1} \right )dt\\\\&=\frac{1}{4}\ln(t^2+3)+\frac{3}{2}\arctan \frac{t}{\sqrt{3}}-\frac{1}{2}\ln(t+1)+C\\\\&=\frac{1}{2}\ln\frac{\sqrt{x+3}}{\sqrt{x}+1}+\frac{3}{2}\arctan \sqrt{\frac{x}{3}}+C.\end{align*}$


            (4)、
                                       $\begin{align*}I&=\int_{0}^{\pi/2}\frac{\sin x}{\sin x+\cos x}dx\\\\&=\int_{0}^{\pi/2}\frac{\sin (\frac{\pi}{2}-t)}{\sin (\frac{\pi}{2}-t)+\cos (\frac{\pi}{2}-t)}dt\\\\&=\frac{1}{2}\int_{0}^{\pi/2}\frac{\sin x+\cos x}{\sin x+\cos x}dx\\\\&=\frac{\pi}{4}.\end{align*}$


二维码

扫码加我 拉你入群

请注明:姓名-公司-职位

以便审核进群资格,未注明则拒绝

2020-9-22 12:44:04
吉林大学2020年数学分析考研试题
3.png

解:
             对已知方程组,分别对$x,y$求隐 函数的偏导数,得到关于$\frac{\partial u}{\partial x},\frac{\partial u}{\partial y},\frac{\partial v}{\partial x},\frac{\partial v}{\partial y}$四元一次方程组。解出即得。(略)


二维码

扫码加我 拉你入群

请注明:姓名-公司-职位

以便审核进群资格,未注明则拒绝

2020-9-22 12:44:30
吉林大学2020年数学分析考研试题
4.png

解:
                        $\displaystyle \lim_{n \to \infty }\frac{\ln n}{\ln(1^{2019}+2^{2019}+\cdots +n^{2019})}=\lim_{n \to \infty }\frac{\ln n}{\ln n^{2019}}=\frac{1}{2019}.$


二维码

扫码加我 拉你入群

请注明:姓名-公司-职位

以便审核进群资格,未注明则拒绝

2020-9-22 12:44:57
吉林大学2020年数学分析考研试题
5.png

解:
                      $\begin{align*}\because \sum_{n=1}^{\infty }\frac{1}{n(2n+1)}&=2\sum_{n=1}^{\infty }\frac{1}{2n(2n+1)}\\\\&=2\sum_{n=1}^{\infty }(\frac{1}{2n}-\frac{1}{2n+1})\\\\&=2(\frac{1}{2}-\frac{1}{3}+\frac{1}{4}-\frac{1}{5}+\cdots )\\\\&=2(-1+\frac{1}{2}-\frac{1}{3}+\frac{1}{4}-\frac{1}{5}+\cdots )+2\\\\&=-2\sum_{n=1}^{\infty }(-1)^{n-1}\frac{1}{n}+2.\end{align*}$

             又
                      $\displaystyle \because \ln(1+x)=\sum_{n=1}^{\infty }(-1)^{n-1}\frac{1}{n}x^n,$

              令
                                    $\displaystyle x=1,$
               得   
                       $\displaystyle  \ln2=\sum_{n=1}^{\infty }(-1)^{n-1}\frac{1}{n}.$   

              因此
                       $\displaystyle \therefore \sum_{n=1}^{\infty }\frac{1}{n(2n+1)}=2-2\sum_{n=1}^{\infty }(-1)^{n-1}\frac{1}{n}=2-2\ln2.$


二维码

扫码加我 拉你入群

请注明:姓名-公司-职位

以便审核进群资格,未注明则拒绝

2020-9-22 12:45:22
吉林大学2020年数学分析考研试题
6.png

解:利用球面坐标求三重积分,得
                                 $\begin{align*}f(t)&=\underset{x^2+y^2+z^2\leq t^2}{\iiint }e^{x^2+y^2+z^2}dxdydz\\\\&=\int_{0}^{2\pi}d\phi \int_{0}^{\pi}\sin\theta d\theta \int_{0}^{t}r^2e^{r^2}dt\\\\&=4\pi\int_{0}^{t}r^2e^{r^2}dt\\\\&=2\pi te^{t^2}-2\pi\int_{0}^{t}e^{r^2}dr.\end{align*}$

                                 $\displaystyle \therefore f'(t)=2\pi e^{t^2}+4\pi t^2e^{t^2}-2\pi e^{t^2}=4\pi t^2e^{t^2}.$


二维码

扫码加我 拉你入群

请注明:姓名-公司-职位

以便审核进群资格,未注明则拒绝

2020-9-22 12:46:48
吉林大学2020年数学分析考研试题
7.png

解:
                              $\because \frac{\partial Q}{\partial x}=-2y\cos x+6xy^2=\frac{\partial P}{\partial y},$

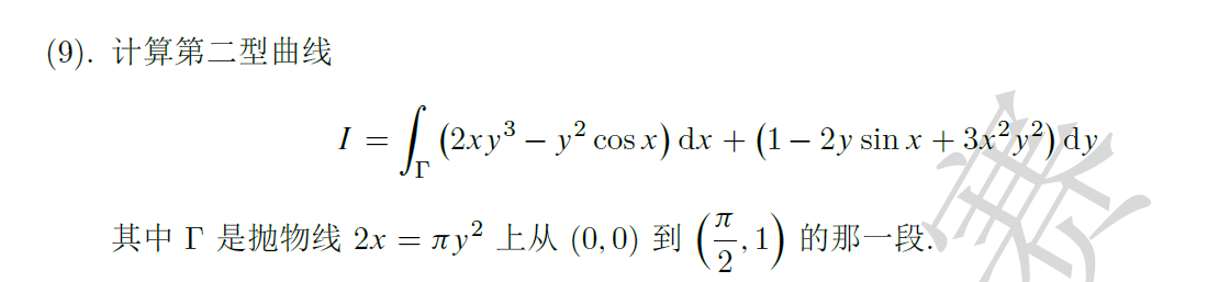
                  所以,曲线积分与路径无关。取$O(0,0),A(\frac{\pi}{2},0),B(\frac{\pi}{2},1)$三点,积分路径:$O\rightarrow A\rightarrow B.$这样

                              $\begin{align*}I&=\int_{OB}=\int_{OA}+\int_{AB}\\\\&= \int_{0}^{\pi/2}0dx+\int_{0}^{1}(1-2y\sin\frac{\pi}{2}+3(\frac{\pi}{2})^2y^2)dy\\\\&=(y-y^2+\frac{\pi}{4}y^3)|_0^1\\\\&=\frac{\pi}{4}.\end{align*}$



二维码

扫码加我 拉你入群

请注明:姓名-公司-职位

以便审核进群资格,未注明则拒绝

2020-9-22 12:47:17
吉林大学2020年数学分析考研试题
8.png

分析:
                 $\displaystyle \because a^n-b^n=(a-b)[a^{n-1}+a^{n-2}b+a^{n-3}b^2+\cdots +ab^{n-2}+b^{n-1}],$

                  $\displaystyle \therefore |\sqrt[n]{2n+1}-1|=|\frac{2n}{\sqrt[n]{(2n+1)^{n-1}}+\sqrt[n]{(2n+1)^{n-2}}+\cdots +\sqrt[n]{(2n+1)}+1}|< 2n< \epsilon .$

证明:
                 $\displaystyle \forall \epsilon > 0,\exists N=[\frac{\epsilon }{2}]+1,n> N,s.t.$

                  $\displaystyle |\sqrt[n]{2n+1}-1|< \epsilon .$


二维码

扫码加我 拉你入群

请注明:姓名-公司-职位

以便审核进群资格,未注明则拒绝

2020-9-22 12:47:44
吉林大学2020年数学分析考研试题
9.png

解:利用特殊三角求和公式(参见本贴 51 楼),有

                                 $\displaystyle \because |\sum_{k=1}^{n}\sin k|=|\frac{\cos\frac{1}{2}-\cos(n+\frac{1}{2})}{2\sin\frac{1}{2}}|\leq \frac{1}{\sin\frac{1}{2}},$

                 又
                                 $\displaystyle \frac{1}{\sqrt{n}}\rightarrow 0,(n\rightarrow \infty )$

                  由Dirichlet判别法知,级数
                                   $\displaystyle \therefore \sum_{n=1}^{\infty }\frac{\sin n}{\sqrt{n}}$
               
                    收敛。

二维码

扫码加我 拉你入群

请注明:姓名-公司-职位

以便审核进群资格,未注明则拒绝

2020-9-22 12:48:09
吉林大学2020年数学分析考研试题
10.png

解:因为曲面:
                              $|x|+|y|+|z|=1$

             在8个象限内对称,故可以只考虑在第I象限内的情况:
                              $x+y+z=1.$

            设
                              $F(x,y,z)=x^2+y^2+2z^2+\lambda (x+y+z-1),$

            求极值
                               $\begin{cases}
F'_x &=2x+\lambda \\
F'_y &=2y+\lambda \\
F'_z &=4z+\lambda \\
F'_\lambda &=x+y+z-1=0
\end{cases}$

                                $\therefore x=y=-\frac{\lambda}{2},z=-\frac{\lambda}{4},$

                                 $\Rightarrow \lambda=-\frac{4}{5},x=y=\frac{2}{5},z=\frac{1}{5}.$

                  所以函数的极值为
                                 $f(\frac{2}{5},\frac{2}{5},\frac{1}{5})=\frac{2}{5}.$

                   由约束条件方程的对称性知,这样的极值点共有$8$个。


二维码

扫码加我 拉你入群

请注明:姓名-公司-职位

以便审核进群资格,未注明则拒绝

2020-9-22 12:48:40
吉林大学2020年数学分析考研试题
11.png


解:
             当$x=\sin y,$时,显然有
                                     $\displaystyle \lim_{x\to0}\lim_{y\to0}f(x,y)=\lim_{y\to0}\lim_{x\to0}f(x,y)=0.$

           而当$x\neq \sin y,$时,有
                                      $\displaystyle \lim_{x\to0}\lim_{y\to0}f(x,y)=\lim_{x\to0}\lim_{y\to0}\frac{\ln(1+xy)}{x-\sin y}=\lim_{x\to0}\frac{0}{x}=0,$

                                        $\displaystyle \lim_{y\to0}\lim_{x\to0}f(x,y)=\lim_{y\to0}\lim_{x\to0}\frac{\ln(1+xy)}{x-\sin y}=\lim_{y\to0}\frac{0}{-\sin y}=0.$

                                    $\displaystyle \therefore \lim_{x\to0}\lim_{y\to0}f(x,y)=\lim_{y\to0}\lim_{x\to0}f(x,y)=\lim_{(x,y)\rightarrow (0,0)}f(x,y)=f(0,0)=0.$

                由此可知
                                     $\displaystyle \lim_{(x,y)\rightarrow (0,0)}f(x,y)=f(0,0)=0.$
                          存在。




                                    
二维码

扫码加我 拉你入群

请注明:姓名-公司-职位

以便审核进群资格,未注明则拒绝

2020-9-22 12:49:13
吉林大学2020年数学分析考研试题
12.png

证明:
                 构造辅助函数
                                      $\displaystyle F(x)=f(x)-x\ln x,F(x)\in C(0,1),$

                    由已知
                                       $\displaystyle \because \ln x\leq \frac{f(x)}{x}\leq 0,$

                                       $\displaystyle \therefore x\ln x\leq f(x)\leq 0,$

                      从而有
                                       $\displaystyle \Rightarrow f(1)=\lim_{x\to1^-}f(x)=0,f(0)=\lim_{x\to0^+}f(x)=0,$

                     由此,有
                                          $\displaystyle F(0)=F(1)=0,$

                    由Rolle中值定理,得
                                            $\displaystyle \exists \xi\in(0,1),s.t.$

                                      $\displaystyle F'(\xi)=f'(\xi)-\ln\xi-1=0.$

                                $\displaystyle \Rightarrow f'(\xi)=\ln\xi+1.$



二维码

扫码加我 拉你入群

请注明:姓名-公司-职位

以便审核进群资格,未注明则拒绝

2020-9-22 12:49:47
吉林大学2020年数学分析考研试题
13.png

证明:
                 由已知方程式,得:
                                  $\displaystyle x=0,y=\frac{1}{2}\arctan y,\Rightarrow y=y(0)=0,$

                    即方程有解。再者
                                  $\displaystyle \because y'=1+\frac{1}{2}\cdot \frac{y'}{1+y^2},$

                                   $\displaystyle y'=\frac{2(1+y^2)}{1+2y^2}>0.$

                        从而
                                    $\displaystyle \therefore y(x)\uparrow ,$

                     在$R$上,$y(x)$是严格单调函数。故只可能有一个解。


二维码

扫码加我 拉你入群

请注明:姓名-公司-职位

以便审核进群资格,未注明则拒绝

2020-9-23 19:55:02
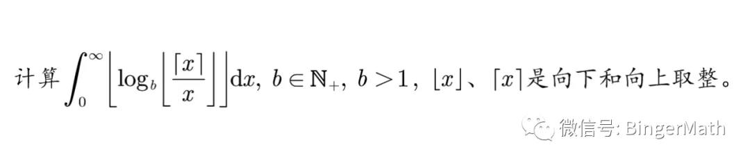
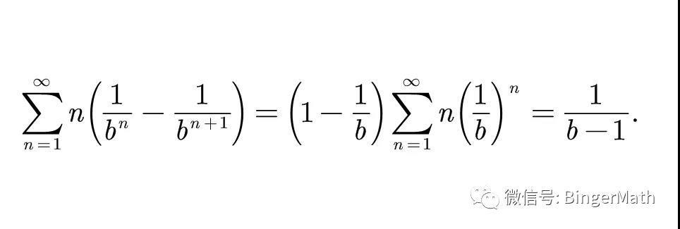
一道取整函数
1.jpg
2.jpg
部分更正
微信图片_20200926212613.jpg
二维码

扫码加我 拉你入群

请注明:姓名-公司-职位

以便审核进群资格,未注明则拒绝

栏目导航
热门文章
推荐文章

说点什么

分享

扫码加好友,拉您进群
各岗位、行业、专业交流群