全部版块 我的主页
论坛 经济学论坛 三区 微观经济学 经济金融数学专区
2020-9-24 14:44:02
东北师范大学2020年数学分析试题
1.png
解:
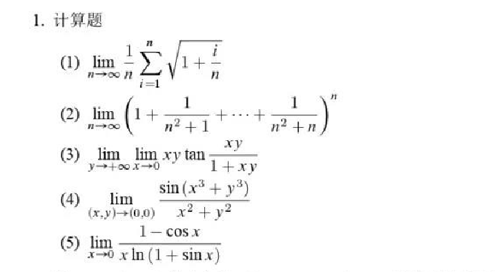
        1、
                           $\displaystyle \lim_{n \to \infty }\sum_{i=1}^{n}\frac{1}{n}\sqrt{1+\frac{i}{n}}=\int_{0}^{1}\sqrt{1+x}dx=\frac{2}{3}(2\sqrt{2}-1).$


         2、因为
                          $\begin{align*}(1+\frac{1}{n^2+1}+\frac{1}{n^2+2}+\cdots +\frac{1}{n^2+n})^n&> (1+\frac{n}{n^2+n})^n\\\\&=(1+\frac{1}{n+1})^{(n+1)\cdot \frac{n}{n+1}}\\\\&=e,(n \to \infty )\end{align*}$

                          $\begin{align*}(1+\frac{1}{n^2+1}+\frac{1}{n^2+2}+\cdots +\frac{1}{n^2+n})^n&<(1+\frac{n}{n^2+1})^n \\\\&=(1+\frac{n}{n^2+1})^{\frac{n^2+1}{n}\cdot \frac{n^2}{n^2+1}}\\\\&=e,(n \to \infty )\end{align*}$

           所以有
                            $\displaystyle \lim_{n \to \infty }(1+\frac{1}{n^2+1}+\frac{1}{n^2+2}+\cdots +\frac{1}{n^2+n})^n=e.$

          3、
                            $\displaystyle \because 0< xy\tan \frac{xy}{1+xy}< xy\tan \frac{xy}{xy}=\frac{\pi}{4}xy.$

                            $\displaystyle \therefore \lim_{y\to+\infty}\lim_{x\to 0}xy\tan \frac{xy}{1+xy}=0.$


         4、
                            $\displaystyle \because 0\leq \frac{\sin(x^3+y^3)}{x^2+y^2}\leq \frac{x^3+y^3}{x^2+y^2}\leq \frac{(x+y)(x^2-xy+y^2)}{x^2+y^2}\leq (x+y)=0,((x,y)\rightarrow (0,0))$

                             $\displaystyle \therefore \lim_{(x,y)\rightarrow (0,0)}\frac{\sin(x^3+y^3)}{x^2+y^2}=0.$

        
         5、
                             $\displaystyle \lim_{x\to 0}\frac{1-cos x}{x\ln(1+\sin x)}=\lim_{x\to 0}\frac{\frac{1}{2}x^2+o(x^2)}{x(\sin x+o(\sin x))}=\lim_{x\to 0}\frac{\frac{1}{2}x^2+o(x^2)}{x^2+o(x^2))}=\frac{1}{2}.$



二维码

扫码加我 拉你入群

请注明:姓名-公司-职位

以便审核进群资格,未注明则拒绝

2020-9-24 14:44:30
东北师范大学2020年数学分析试题
2.png


二维码

扫码加我 拉你入群

请注明:姓名-公司-职位

以便审核进群资格,未注明则拒绝

2020-9-24 14:44:57
东北师范大学2020年数学分析试题
3.png


           由题设,可添加一个面$S':z=0$,方向向上,使得$S+S'$组成一个闭合曲面。再用高斯公式计算:

                     $\displaystyle \begin{align*}I&=\iint_{S}xdydz+ydzdx+zdxdy\\\\&=\iint_{S+S'}-\iint_S'0dxdy\\\\&=3\iiint_\Omega dxdydz\\\\&=\frac{3}{2}\cdot \frac{4}{3}\pi abc\\\\&=2\pi abc.\end{align*}$





二维码

扫码加我 拉你入群

请注明:姓名-公司-职位

以便审核进群资格,未注明则拒绝

2020-9-24 14:45:31
东北师范大学2020年数学分析试题
4.png

证明
                       $\because f(x)\in C[a,b],$

                       $\therefore \forall x_0\in [a,b],s.t.\lim_{x\rightarrow x_0}f(x)=f(x_0),$

                       $ \epsilon=1,\exists \delta > 0,|x-x_0|< \delta ,s.t.$

                       $|f(x)-f(x_0)|< \epsilon=1,$

                        $\Rightarrow f(x_0) -1< f(x)< f(x_0)+1,$


二维码

扫码加我 拉你入群

请注明:姓名-公司-职位

以便审核进群资格,未注明则拒绝

2020-9-24 14:46:08
东北师范大学2020年数学分析试题
5.png


二维码

扫码加我 拉你入群

请注明:姓名-公司-职位

以便审核进群资格,未注明则拒绝

2020-9-24 14:46:38
东北师范大学2020年数学分析试题
6.png

解:
             先考察连续性。在$x=0$以外的点,函数$F(x)$显然连续。在$x=0$时,有

                                $\begin{align*}\because \lim_{x\to 0}F(x)&=\lim_{x\to 0}\frac{f(x)-\cos x}{x}\\\\&=\lim_{x\to 0}\frac{f(x)-1}{x}\\\\&=\lim_{x\to 0}\frac{f(x)-f(0)}{x}\\\\&=f'(0)\\\\&=F(0),\end{align*}$

                所以也连续,从而$F(x)$在$(-\infty,+\infty)$连续。

                 再考察可微性。同样只需考察$x=0$这个分段点。
                                  $\begin{align*}\because \lim_{x\to 0}\frac{F(x)-F(0)}{x} &=\lim_{x\to 0}\frac{\frac{f(x)-\cos x}{x}-f'(0)}{x}\\\\&=\lim_{x\to0} \frac{f(x)-\cos x-xf'(0)}{x^2}\\\\&=\lim_{x\to0}\frac{f'(x)+\sin x-f'(0)}{2x}\\\\&=\frac{1}{2}f''(0).\end{align*}$

                因此,$F(x)$可微。


二维码

扫码加我 拉你入群

请注明:姓名-公司-职位

以便审核进群资格,未注明则拒绝

2020-9-24 14:47:02
东北师范大学2020年数学分析试题
7.png

证明:
                可设
                                $f(x)=(x-a)^m\phi (x),f(a)=0,(\phi(a)\neq 0)$

                                $\epsilon =\frac{1}{2}|\phi(a)|,\exists \delta > 0,|x-a|< \delta ,s.t.$

                                 $|\phi(x)-\phi(a)|< \epsilon =\frac{1}{2}|\phi(a)|,$

                                 $\therefore |\phi(x)|\geq \frac{1}{2}|\phi(a)|,$

                  由此知道在$x=a$的邻域内无零点,即$x=a$为孤立点。

                 
二维码

扫码加我 拉你入群

请注明:姓名-公司-职位

以便审核进群资格,未注明则拒绝

2020-9-24 14:47:31
东北师范大学2020年数学分析试题
8.png

解:求$[-\pi,\pi]$上的傅里叶展开式

                                     $\displaystyle a_0=\frac{1}{\pi}[\int_{-\pi}^{0}(-\pi+x)dx+\int_{0}^{\pi}(\pi-x)dx]=-\pi.$

                                     $\displaystyle a_n=\frac{1}{\pi}[\int_{-\pi}^{0}(-\pi+x)\cos nxdx+\int_{0}^{\pi}(\pi-x)\cos nxdx],$

                                      $\begin{align*}\int_{-\pi}^{0}(-\pi+x)\cos nxdx&=-\frac{\pi}{n}\sin nx|_{-\pi}^0+\frac{x}{n}\sin nx|_{-\pi}^0-\frac{1}{n}\int_{-\pi}^{0}\sin nxdx\\\\&=\frac{1}{n^2}\cos nx|_{-\pi}^0=\frac{1}{n^2}[1-(-1)^n].\end{align*}$

                                    $\begin{align*}\int_{0}^{\pi}(\pi-x)\cos nxdx&=\frac{1}{n}\int_{0}^{\pi}\sin nxdx=-\frac{1}{n^2}\cos nx|^{\pi}_0\\\\&=\frac{1}{n^2}[1-(-1)^n].\end{align*}$

                                    $\displaystyle \therefore a_n=\frac{2}{n^2}[1-(-1)^n].$

                                   $\displaystyle b_n=\frac{1}{\pi}[\int_{-\pi}^{0}(-\pi+x)\sin nxdx+\int_{0}^{\pi}(\pi-x)\sin nxdx],$

                                   $\begin{align*}\int_{-\pi}^{0}(-\pi+x)\sin nxdx&=\frac{\pi}{n}\cos nx|_{-\pi}^0-\frac{x}{n}\cos nx|_{-\pi}^0+\frac{1}{n}\int_{-\pi}^{0}\cos nxdx\\\\&=\frac{\pi}{n},\end{align*}$

                                    $\begin{align*}\int_{0}^{\pi}(\pi-x)\sin nxdx&=-\frac{\pi}{n}\cos nx|^{\pi}_0+\frac{x}{n}\cos nx|^{\pi}_0-\frac{1}{n}\int_{0}^{\pi}\cos nxdx\\\\&=\frac{\pi}{n},\end{align*}$

                                    $\displaystyle \therefore b_n=\frac{2\pi}{n}.$
                        
                                    $\begin{align*}f(x)&=\frac{a_0}{2}+\sum_{n=1}^{\infty }(a_n\cos nx+b_n\sin nx)\\\\&=-\frac{\pi}{4}+\sum_{n=1}^{\infty }(\frac{2}{n^2}[1-(-1)^n]\cos nx+\frac{2\pi}{n}\sin nx),\end{align*}$

                令$x=\pi,$

                                     $\displaystyle 0=-\frac{\pi}{2}+2\sum_{n=1}^{\infty }\frac{1}{n^2}[(-1)^n-1]=-\frac{\pi}{2}+4(1+\frac{1}{3^2}+\frac{1}{5^2}+\cdots ).$

                                     $\displaystyle \therefore 1+\frac{1}{3^2}+\frac{1}{5^2}+\cdots =\frac{\pi}{8}.$



二维码

扫码加我 拉你入群

请注明:姓名-公司-职位

以便审核进群资格,未注明则拒绝

2020-9-25 17:46:01
中国人民大学2020年数学分析试题
1.png

解:
          (1)、
                                    $\forall p(> 0),\forall \epsilon > 0,s.t.$

                                    $|x_{n+p}-x_n|< \epsilon .$

                    则称$\{x_n\}$为何西列。满足上述条件的数列,必收敛。这个定理称为柯西收敛准则。


          (2)、由于
                                  $|x_{n+1}-x_n|< q|x_{n}-x_{n-1}|< q^2|x_{n-1}-x_{n-2}|< \cdots < q^{n-1}|x_{2}-x_{1}|<\epsilon . $

                     因此是$p=1$的柯西列,所以收敛。



                                 

二维码

扫码加我 拉你入群

请注明:姓名-公司-职位

以便审核进群资格,未注明则拒绝

2020-9-25 17:46:37
中国人民大学2020年数学分析试题
2.png

证明
                由已知:
                                  $\displaystyle \because c\in(a,b),f(c)> 0,$

                 由Lagrange T.h.,有
                                  $\displaystyle \exists \eta \in (a,c),s.t.$

                                  $\displaystyle f(c)-f(a)=f'(\eta )(c-a),$

                               $\displaystyle \Rightarrow f'(\eta)=\frac{f(c)}{c-a}> 0,$

                  又
                                   $\displaystyle \exists \xi \in (c,b),s.t.$

                                   $\displaystyle f(b)-f(c)=f'(\xi )(b-c),$

                              $\displaystyle \Rightarrow f'(\xi)=\frac{-f(c)}{b-c}< 0,$

                因此,再运用Dabux T.h.,有
                                       $\displaystyle \exists t\in (\eta,\xi)\subset (a,b),s.t.$

                                       $\displaystyle f''(t)-\frac{f'(\xi)-f'(\eta)}{\xi-\eta}< 0.$



              
二维码

扫码加我 拉你入群

请注明:姓名-公司-职位

以便审核进群资格,未注明则拒绝

2020-9-25 17:47:09
中国人民大学2020年数学分析试题
3.png

解:
                    $\displaystyle f'(0)=\lim_{x\to 0}\frac{f(x)-f(0)}{x}=\lim_{x\to 0}\frac{e^{-\frac{1}{3}}-0}{x}=\infty .$



       注:此题应该是有笔误的吧?



二维码

扫码加我 拉你入群

请注明:姓名-公司-职位

以便审核进群资格,未注明则拒绝

2020-9-25 17:47:44
中国人民大学2020年数学分析试题
4.png

证明:
                   设
                              $\displaystyle M=f_{\max }(x),m=f_{\min },$

              则有
                              $\displaystyle m\leq \frac{\displaystyle f(x_1)+f(x_2)+\cdots +f(x_n)}{n}\leq m,$

               由已知
                              $\displaystyle \because f(x)\in C,$

                由连续函数的性质,有
                              $\displaystyle \exists c\in (a,b),s.t.$

                              $\displaystyle f(c)=\frac{\displaystyle f(x_1)+f(x_2)+\cdots +f(x_n)}{n}.$


二维码

扫码加我 拉你入群

请注明:姓名-公司-职位

以便审核进群资格,未注明则拒绝

2020-9-25 17:48:38
中国人民大学2020年数学分析试题
5.png

解:
                    $\displaystyle \because e^x=\sum_{n=0}^{\infty }\frac{x^n}{n!},e^{-x}=\sum_{n=0}^{\infty }\frac{(-1)^n}{n!}x^n,$

                     $\displaystyle \therefore f(x)=\frac{e^x-e^{-x}}{2}=\frac{1}{2}\sum_{n=0}^{\infty }\frac{x^n}{n!}[1-(-1)^n]=\sum_{n=1}^{\infty }\frac{x^{2n-1}}{(2n-1)!},(-\infty< x< +\infty )$


二维码

扫码加我 拉你入群

请注明:姓名-公司-职位

以便审核进群资格,未注明则拒绝

2020-9-25 17:49:13
中国人民大学2020年数学分析试题
6.png

解:
           这个函数的表达式应该有误,因为计算有$f'_x|_(-1,1)=f'_y|_(-1,1)=0.$这与第2个小题不符。

            此类题可参照“吉米3342"j题解法。
二维码

扫码加我 拉你入群

请注明:姓名-公司-职位

以便审核进群资格,未注明则拒绝

2020-9-25 17:49:49
中国人民大学2020年数学分析试题
7.png

   (1)、解
                     对于
                              $\displaystyle x_2=\frac{\pi}{n},x_1=0,\forall \epsilon > 0,\delta > 0,|x_2-x_1|=\frac{\pi}{n}< \delta ,$

                     由于
                              $\displaystyle |f(x_2)-f(x_1)|=|(\sin \frac{\pi}{n})^{\frac{1}{n}}-0|=e^{\frac{1}{n}\ln\sin\frac{\pi}{n}}=e^{\frac{1}{n}\ln\frac{\pi}{n}}=1> \epsilon .$

                   故在$[0,\pi]$上,$f(x_n)$不一致收敛。

   (2)、证明
                   对于区间左端
                            $\displaystyle x_2=\frac{\pi}{n},x_1=\delta > 0,\forall \epsilon > 0,|x_2-x_1|=|\frac{\pi}{n}-\delta |< \delta ,$

                   有
                           $\begin{align*}|f(x_2)-f(x_1)|&=|(\sin \frac{\pi}{n})^{\frac{1}{n}}-(\sin \delta )^{\frac{1}{n}}|\\\\&<|(\sin \frac{\pi}{n})^{\frac{1}{n}}|<|(\frac{\pi}{n})^\frac{1}{n}|\\\\&< |\frac{\pi}{n}|\rightarrow 0,(n\rightarrow \infty )\end{align*}$
     
              同理,对于区间右端,也一致 收敛。

               综上,在$[\delta,\pi-\delta]$上,$f(x_n)$一致收敛。



           
二维码

扫码加我 拉你入群

请注明:姓名-公司-职位

以便审核进群资格,未注明则拒绝

2020-9-25 17:50:19
中国人民大学2020年数学分析试题
8.png

解:
            交换积分次序,再计算
                             $\begin{align*}\int_{1}^{3}dx\int_{x-1}^{2}\sin y^2dy&=\int_{0}^{2}\sin y^2dy\int_{1}^{y+1}dx\\\\&=\int_{0}^{2}y\sin y^2dy\\\\&=\frac{1}{2}(-\cos y^2)|_0^2\\\\&=\frac{1}{2}(1-\cos4).\end{align*}$



二维码

扫码加我 拉你入群

请注明:姓名-公司-职位

以便审核进群资格,未注明则拒绝

2020-9-25 17:50:55
中国人民大学2020年数学分析试题
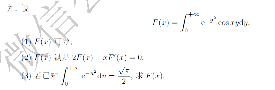
9.png

解:
           (1)
                           $\displaystyle f'_x(x,y)=-ye^{-y^2}\sin xy,$

                            $\displaystyle \because |\cos xy|\leq 1,e^{-y^2}\rightarrow 0,(y\rightarrow +\infty )$

                     所以$F(x)$一致收敛。又
                                $\displaystyle \because |\sin xy|\leq 1,-ye^{-y^2}\rightarrow 0,$

                               $\displaystyle \therefore \int_{0}^{+\infty }f'_x(x,y)dy=\int_{0}^{+\infty }-ye^{-y^2}\sin xydy,$

                    也一致收敛。因此,$F(x)$可导,且
                              $\displaystyle F'(x)=\frac{\mathrm{d} F(x)}{\mathrm{d} x}=\int_{0}^{+\infty }f'_x(x,y)dy=\int_{0}^{+\infty }-ye^{-y^2}\sin xydy,$


            (2)、题目应该有误。正确的应为
                                $\begin{align*}xF(x)+2F'(x)&=x\int_{0}^{+\infty }e^{-y^2}\cos xydy-2\int_{0}^{+\infty }ye^{-y^2}\sin xydy\\\\&=(e^{-y^2}\sin xy)|_0^{+\infty }-\int_{0}^{+\infty }-2ye^{-y^2}\sin xydy-2\int_{0}^{+\infty }ye^{-y^2}\sin xydy\\\\&=0.\end{align*}$

        
             (3)、
                                $\displaystyle \because F(x)=\int_{0}^{+\infty }e^{-y^2}\cos xydy$

                                 $\begin{align*}\therefore F'(x)&=\int_{0}^{+\infty }f'_x(x,y)dy=\int_{0}^{+\infty }-ye^{-y^2}\sin xydy\\\\&=\frac{1}{2}(e^{-y^2}\sin xy)|_0^{+\infty }-\frac{x}{2}\int_{0}^{+\infty }e^{-y^2}\cos xydy\\\\&=-\frac{x}{2}F(x),\end{align*}$

                               $\displaystyle \Rightarrow \frac{F'(x)}{F(x)}=-\frac{x}{2},$

                                  $\displaystyle \therefore \ln F(x)=-\frac{1}{4}x^2+C,$

                                  $\displaystyle F(x)=Ce^{\displaystyle -\frac{1}{4}x^2},$

                      又
                                  $\displaystyle \because f(0)=\int_{0}^{+\infty }e^{\displaystyle -y^2}dy=\frac{\sqrt{\pi}}{2}=C.$

                                  $\displaystyle \therefore F(x)=\frac{\sqrt{\pi}}{2}e^{\displaystyle -\frac{1}{4}x^2}.$




二维码

扫码加我 拉你入群

请注明:姓名-公司-职位

以便审核进群资格,未注明则拒绝

2020-9-25 17:51:25
中国人民大学2020年数学分析试题
10.png

解:
                   $\begin{align*}I&=\iint_S=\iiint_\Omega \left ( -\frac{y^2+z^2+x^2}{2500\pi} \right )dxdydz\\\\&=-\frac{1}{2500\pi}\iiint_\Omega(x^2+y^2+z^2)dxdydz\\\\&=-\frac{1}{2500\pi}\int_{0}^{2\pi}d\phi \int_{0}^{\pi}\sin\theta d\theta \int_{0}^{5}r^2\cdot rdr\\\\&=\frac{2\pi}{2500\pi}\cdot \frac{1}{4}\cdot 5^4\cdot \cos\theta |_0^\pi\\\\&=-\frac{1}{4}.\end{align*}$





二维码

扫码加我 拉你入群

请注明:姓名-公司-职位

以便审核进群资格,未注明则拒绝

2020-9-28 18:25:28
郑州大学2020年数学分析试题
1.png

解:
                     $\displaystyle \lim_{x\rightarrow +\infty }e^{-x}(1+\frac{1}{x})^{x^2}=\lim_{x\rightarrow +\infty }e^{-x}\cdot e^x=1.$



二维码

扫码加我 拉你入群

请注明:姓名-公司-职位

以便审核进群资格,未注明则拒绝

2020-9-28 18:25:57
郑州大学2020年数学分析试题
2.png

解:
                    $\begin{align*}\int \frac{\sin2x}{\sin^2x+\cos x}dx&=\int \frac{2t\sqrt{1-t^2}}{1-t^2+t}\cdot \frac{-dt}{\sqrt{1-t^2}}\\\\&=\int \frac{2t}{t^2-t-1}dt\\\\&=\int \frac{2t-1+1}{t^2-t-1}dt\\\\&=\int (\frac{1}{t-\frac{1-\sqrt{5}}{2}}+\frac{1}{t-\frac{1+\sqrt{5}}{2}}+\frac{1}{t^2-t-1})dt\\\\&=\ln(t^2-t-1)+\sqrt{5}\int(-\frac{1}{t-\frac{1-\sqrt{5}}{2}}+\frac{1}{t-\frac{1+\sqrt{5}}{2}})dt\\\\&=\ln(t^2-t-1)+\sqrt{5}\ln\frac{t-\frac{1+\sqrt{5}}{2}}{t-\frac{1-\sqrt{5}}{2}} +C\\\\&=\ln(\cos^2x-\cos x-1)+\sqrt{5}\ln|\frac{\cos x-\frac{1+\sqrt{5}}{2}}{\cos x-\frac{1-\sqrt{5}}{2}}| +C.\end{align*}$




二维码

扫码加我 拉你入群

请注明:姓名-公司-职位

以便审核进群资格,未注明则拒绝

2020-9-28 18:26:20
郑州大学2020年数学分析试题
3.png

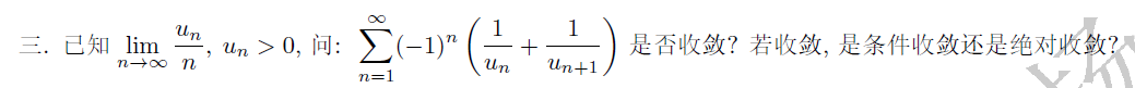
解:这道题已知条件显然笔误了。不妨设
                                       $\displaystyle \lim_{n \to \infty }\frac{u_n}{n}=l.l\neq 0.$

                 部分和
                                       $\displaystyle S_n=\sum_{k=1}^{n}(-1)^k(\frac{1}{u_k}+\frac{1}{u_{k+1}})=-\frac{1}{u_1}+(-1)^n\frac{1}{u_{n+1}},$

                    则和为
                                        $\displaystyle S=\lim_{n \to \infty }S_n=-\frac{1}{u_1}+\lim_{n \to \infty }(-1)^n\frac{1}{u_{n+1}}=-\frac{1}{u_1}+\lim_{n \to \infty }(-1)^n\frac{1}{\frac{u_{n+1}}{n+1}\cdot (n+1)}=-\frac{1}{u_1},$

                    因此,级数收敛。 又
                                        $\displaystyle \because |\frac{\frac{1}{u_{n+1}}}{\frac{1}{u_n}}|=\frac{\displaystyle \frac{u_n}{n}\cdot n}{\displaystyle \frac{u_{n+1}}{n+1}\cdot (n+1)}< \frac{\displaystyle \frac{u_n}{n}}{\displaystyle \frac{u_{n+1}}{n+1}}=1,(n \to \infty )$

                                          $\displaystyle u_n> 0,$
              所以,级数绝对收敛。


二维码

扫码加我 拉你入群

请注明:姓名-公司-职位

以便审核进群资格,未注明则拒绝

2020-9-28 18:26:53
郑州大学2020年数学分析试题
4.png

解:
             由于积分在下侧曲面上,故先简化:
                                 $\displaystyle I=\iint_S\frac{axdydz+(z-a)dxdy}{(x^2+y^2+z^2)^{\frac{1}{2}}}=\frac{1}{a}\iint_Saxdydz+(z-a)dxdy.$

           添加一个平面$S':z=0$,方向向下。再运用高斯公式:
                                 $\displaystyle I=\frac{1}{a}\iint_{S+S'}-\frac{1}{a}\iint_{S'}=\frac{1}{a}\iiint_\Omega (a+1)dxdydz +\iint_{S'}dxdy=\frac{4}{3}\pi a^3+\frac{7}{3}\pi a^2.$


二维码

扫码加我 拉你入群

请注明:姓名-公司-职位

以便审核进群资格,未注明则拒绝

2020-9-28 18:27:18
郑州大学2020年数学分析试题
5.png

解:
             利用分部积分法,得
                                 $\begin{align*}\iint_Dxy\frac{\partial^2 f}{\partial x\partial y}dxdy&=\int_{0}^{1}ydy\int_{0}^{1}x\frac{\partial^2 f}{\partial x\partial y}dx\\\\&=\int_{0}^{1}y\left(xf_y(x,y)-\int_{0}^{1}f_y(x,y)dx\right)|_0^1dy\\\\&=-\int_{0}^{1}dx\int_{0}^{1}yf_y(x,y)dy\\\\&=\int_{0}^{1}dx\int_{0}^{1}f(x,y)dy\\\\&=\iint_Df(x,y)dxdy=A.\end{align*}$


二维码

扫码加我 拉你入群

请注明:姓名-公司-职位

以便审核进群资格,未注明则拒绝

2020-9-28 18:27:50
郑州大学2020年数学分析试题
6.png

证明:
                   将不等式改写,令
                                         $t=\frac{1}{x},t> 0.$

                     则原不等式与下列不等式等价。
                                          $\ln^2(1+t)< \frac{t^2}{1+t},$

                             令
                                         $f(t)=\frac{t}{\sqrt{1+t}}-\ln(1+t),$

                        这个函数单调升与上述不等式相同。

                                        $\because f'(t)=\frac{(\sqrt{1+t}-1)^2}{2(1+t)^{\frac{3}{2}}}> 0,$

                                         $\therefore f(x)> f(0)=0,$

                          因此,原不等式成立。

【注】:其实这个不等式不好证,我想了很久还是没有证明。在参考了合肥工业大学王刚的《大学数学竞赛教程 第三讲 证明:三大中值定理》中例38后,才想到这样的解法。


二维码

扫码加我 拉你入群

请注明:姓名-公司-职位

以便审核进群资格,未注明则拒绝

2020-9-28 18:28:17
郑州大学2020年数学分析试题
7.png

证明:
                  由已知条件
                             $\because \lim_{x\to x_0}f(x)=A,(x_0\in I)$

                             $\therefore \forall x\in I,\forall \epsilon > 0,\exists \delta > 0,s.t.$

                                 $|f(x)-A|< \epsilon ,$
                   取
                               $\epsilon =1,$
                      有
                               $|f(x)-A|< 1,$
                      即得
                                  $A-1< f(x)< A+1.$

                   由于所取的$x_0$为任意的,由此可知$f(x)$在$I$上有界。


二维码

扫码加我 拉你入群

请注明:姓名-公司-职位

以便审核进群资格,未注明则拒绝

2020-9-28 18:28:42
郑州大学2020年数学分析试题
8.png

解:
                            $\displaystyle \because \frac{x^n}{n(1+x^{n+1})^2}\leq \frac{x^n}{4nx^{n+1}}=\frac{1}{4nx}< \frac{1}{4n}\rightarrow 0,(n \to \infty )$

                      所以,和函数在$(0,1)$上一致收敛。由此可知,函数项级数和的导数等于逐项导数的和。令

                              $\displaystyle f(x)=\sum_{n=1}^{\infty }(-1)^n\frac{x^n}{n(1+x^{n+1})^2},$

                     由此
                               $\displaystyle f'(x)=\sum_{n=1}^{\infty }(-1)^n\frac{nx^{n-1}-(n+2)x^{2n}}{n(1+x^{n+1})^3}\in C(0,1),$


二维码

扫码加我 拉你入群

请注明:姓名-公司-职位

以便审核进群资格,未注明则拒绝

2020-9-28 18:29:15
郑州大学2020年数学分析试题
9.png

解:
            (1)、
                            $\displaystyle \frac{\partial f}{\partial x}|_{(1,1)}=2y+2y|_{(1,1)}=4,$

                             $\displaystyle \frac{\partial f}{\partial y}|_{(1,1)}=2y+2x|_{(1,1)}=4,$

                  $l$方向为
                              $\displaystyle l=(\cos\alpha ,\sin\alpha )|_{(1,1)}=(\frac{\sqrt{2}}{2},\frac{\sqrt{2}}{2}),$

                 则方向导数为
                              $\displaystyle \frac{\partial f}{\partial l}=\frac{\partial f}{\partial x}\cos\alpha +\frac{\partial f}{\partial y}\sin\alpha =4\sqrt{2}.$


             (2)、$f(x,y)$的在$(x,y)$的梯度为
                               $\displaystyle grad f=(\frac{\partial f}{\partial x},\frac{\partial f}{\partial y})=(2(x+y),2(x+y)).$

                  在$C$的最大方向导数,即为梯度方向,值为梯度的模。利用拉格朗日乘数法求条件极值。梯度

                           $\displaystyle |grad f|=2\sqrt{2(x+y)^2},$

               求梯度最大值,等价于求根号内最大值,故令
                            $\displaystyle F=2(x+y)^2+\lambda (x^2+y^2-xy),$

                            $\begin{cases}
F_x&=4(x+y)-\lambda (2x-y)=0\\
F_x&=4(x+y)-\lambda (2y-x)=0\\
F_\lambda &=x^2+y^2-xy=0
\end{cases}$

                         $\displaystyle \lambda =-2,x=y=0.$

                由此得,最大方向导数为$0$。在此点的方向向量为$(0,0)$




                           

二维码

扫码加我 拉你入群

请注明:姓名-公司-职位

以便审核进群资格,未注明则拒绝

2020-10-2 14:38:45
重庆大学2017年高等代数一道行列式:求
                          $D_n=\begin{vmatrix}
3 & 2 & 0 & \cdots  & 0 &0 \\
1 & 3 &  2& \cdots  & 0 &0 \\
0 & 1 & 3 & \cdots  & 0 &0 \\
\vdots  & \vdots  & \vdots  &  & \vdots  & \vdots \\
0 & 0 & 0 & \cdots  & 3 & 2\\
0 &0  & 0 & \cdots  & 1 & 3
\end{vmatrix}$


解:
        先求一个字母行列式,令$\alpha=2,\beta=1.$得到

                                   $D_n=\begin{vmatrix}
\alpha +\beta  & \alpha  & 0 & \cdots  & 0 &0 \\
\beta  & \alpha +\beta  & \alpha & \cdots  & 0 &0 \\
0 &\beta  & \alpha +\beta & \cdots  & 0 &0 \\
\vdots  & \vdots  & \vdots  &  & \vdots  & \vdots \\
0 & 0 & 0 & \cdots  &\alpha +\beta & \alpha \\
0 &0  & 0 & \cdots  & \beta  & \alpha +\beta
\end{vmatrix}=(\alpha +\beta)D_{n-1}-\alpha \beta D_{n-2},$

              由此,得
                              $\therefore \begin{cases}
D_n-\alpha D_{n-1}&=\beta (D_{n-1}-\alpha D_{n-2})  \\
D_{n}-\beta D_{n-1}&=\alpha (D_{n-1}-\beta D_{n-2})
\end{cases}$

            由定义可知
                           $D_2=\begin{vmatrix}
\alpha +\beta  &\alpha  \\
\beta  & \alpha +\beta
\end{vmatrix}=\alpha ^2+\beta ^2+\alpha \beta ,D_1=\alpha +\beta .$

                而由上面的联立方程组,得到
                            $ D_n-\alpha D_{n-1}=\beta (D_{n-1}-\alpha D_{n-2})=\beta^2 (D_{n-2}-\alpha D_{n-3})=\cdots =\beta^{n-2} (D_{2}-\alpha D_{1})=\beta ^n,$

                           $ D_{n}-\beta D_{n-1}=\alpha (D_{n-1}-\beta D_{n-2})=\alpha^2 (D_{n-2}-\beta D_{n-3})=\cdots =\alpha ^{n-2}(D_2-\beta D_1)=\alpha ^n.$

                   解出
                            $\Rightarrow D_n=\frac{\beta ^{n+1}-\alpha ^{n+1}}{\beta -\alpha }.$

              将$\alpha=2,\beta=1.$代入,得原题解为
                            $\therefore D_n=2^{n+1}-1.$

类似的题还有(2003年福州大学,高代)
                             $D_n=\begin{vmatrix}
\alpha +\beta  & \alpha\beta  & 0 & \cdots  & 0 &0 \\
1  & \alpha +\beta  & \alpha\beta & \cdots  & 0 &0 \\
0 &1  & \alpha +\beta & \cdots  & 0 &0 \\
\vdots  & \vdots  & \vdots  &  & \vdots  & \vdots \\
0 & 0 & 0 & \cdots  &\alpha +\beta & \alpha\beta \\
0 &0  & 0 & \cdots  & 1  & \alpha +\beta
\end{vmatrix}$





二维码

扫码加我 拉你入群

请注明:姓名-公司-职位

以便审核进群资格,未注明则拒绝

2020-10-4 15:30:42
2020年武汉大学《数学分析》考研试题最后一题
1.png
2.png

二维码

扫码加我 拉你入群

请注明:姓名-公司-职位

以便审核进群资格,未注明则拒绝

2020-10-4 19:15:36
一道曲线积分题
1.png
2.png
3.png

二维码

扫码加我 拉你入群

请注明:姓名-公司-职位

以便审核进群资格,未注明则拒绝

栏目导航
热门文章
推荐文章

说点什么

分享

扫码加好友,拉您进群
各岗位、行业、专业交流群