全部版块 我的主页
论坛 经济学论坛 三区 微观经济学 经济金融数学专区
2020-10-4 19:21:29
几道高阶导数题
1.png
2.png
3.png


二维码

扫码加我 拉你入群

请注明:姓名-公司-职位

以便审核进群资格,未注明则拒绝

2020-10-9 21:32:36
重庆大学2020年数学分析试题
1.png

解:
     1、
                      $\displaystyle \because \frac{n\cos\frac{\pi}{n}}{n+\frac{1}{2}}< \sum_{k=1}^{n}\frac{\cos\frac{\pi}{n}}{n+\frac{1}{2^k}}< \frac{n\cos\frac{\pi}{n}}{n+\frac{1}{2^n}},$

                      $\displaystyle \therefore \lim_{n \to \infty }\sum_{k=1}^{n}\frac{\cos\frac{\pi}{n}}{n+\frac{1}{2^k}}=1.$

      2、
                    $\begin{align*}\lim_{x\to 0}\frac{(\sin x-\sin(\sin x))\tan x}{e^{x^4}-1}&=\lim_{x\to 0}\frac{(x-\frac{1}{3!}x^3+o(x^3)-\sin(x-\frac{1}{3!}x^3+o(x^3)))\tan x}{x^4}\\\\&=\lim_{x\to 0}\frac{x-\frac{1}{3!}x^3+o(x^3)-[x-\frac{1}{3!}x^3+o(x^3)-\frac{1}{3!}(x-\frac{1}{3!}x^3+o(x^3))^3+o(x^9)]}{x^3}\\\\&=\lim_{x\to 0}\frac{\frac{1}{3!}x^3(1-\frac{1}{3!}x^2+o(x^2))^3}{x^3}\\\\&=\frac{1}{6}.\end{align*}$


      3、
                     $\begin{align*}\lim_{n \to \infty }\tan^n(\frac{\pi}{4}+\frac{1}{n})&=\lim_{n \to \infty }(\frac{\tan \frac{\pi}{4}+\tan \frac{1}{n}}{1-\tan \frac{\pi}{4}\tan \frac{1}{n}})^n\\\\&=\lim_{n \to \infty }(\frac{1+\tan \frac{1}{n}}{1-\tan \frac{1}{n}})^n\\\\&=\lim_{n \to \infty }(1+\frac{2\tan \frac{1}{n}}{1-\tan \frac{1}{n}})^{\frac{1-\tan \frac{1}{n}}{2\tan \frac{1}{n}}\cdot \frac{2n\tan \frac{1}{n}}{1-\tan \frac{1}{n}}}\\\\&=\lim_{n \to \infty }e^{\frac{2n\tan \frac{1}{n}}{1-\tan \frac{1}{n}}}\\\\&=\lim_{n \to \infty }e^{\frac{2n\cdot \frac{1}{n}}{1-\frac{1}{n}}}\\\\&=e^2.\end{align*}$



二维码

扫码加我 拉你入群

请注明:姓名-公司-职位

以便审核进群资格,未注明则拒绝

2020-10-9 21:33:01
重庆大学2020年数学分析试题
2.png



         1、
                                 $\because 0< x_{n+1}=\arctan x_n\leq x_n< 1,$

                     单调有界数列,收敛。设其极限为$x$.则有
                                       
                                     $x=\tan x\Rightarrow x=0.$

          2、
                                $\begin{align*}\lim_{n \to \infty }(\frac{x_n}{x_{n+1}})^\frac{1}{x^2_n61}&=\lim_{n \to \infty }(\frac{x_n}{\arctan x_n})^\frac{1}{x^2_n61}\\\\&=\lim_{n \to \infty }e^{\frac{1}{x^2_n+1}\ln\frac{x_n}{\arctan x_n}}\\\\&=e^0=1.\end{align*}$



二维码

扫码加我 拉你入群

请注明:姓名-公司-职位

以便审核进群资格,未注明则拒绝

2020-10-9 21:33:31
重庆大学2020年数学分析试题
3.png

解:
             $f(x)$仅在$\displaystyle x=n,(n=0,\pm 1,\pm 2,\cdots )$处连续。因为

              当$\displaystyle x=n,(n=0,\pm 1,\pm 2,\cdots )$时,有
                                 $\displaystyle |f(x)-f(n)|\leq |\sin \pi x|=|\sin(n\pi-x\pi)|\leq \pi |n-x|\rightarrow 0,(x\to n)$

                 函数连续。
                而当$\displaystyle x\neq n,(n=0,\pm 1,\pm 2,\cdots )$时,根据有理数和无理数的稠密性可知,分别存在有理数序列$\{a_n\}$和无理数序列$\{b_n\}$,使得
                                   $\displaystyle \lim_{n \to \infty }a_n=x,\lim_{n \to \infty }b_n=x.$           
                       
                  此时
                                   $\displaystyle \lim_{n \to \infty }f(a_n)=\lim_{n \to \infty }\sin \pi a_n=\sin \pi x\neq 0,$

                                   $\displaystyle \lim_{n \to \infty }f(b_n)=\lim_{n \to \infty }\sin \pi b_n=0,$

                  此时,极限不存在。由此可知在$\displaystyle x\neq n,(n=0,\pm 1,\pm 2,\cdots )$时,函数不连续。因为

                                    $\displaystyle \lim_{n \to \infty }f(a_n)\neq \lim_{n \to \infty }f(b_n),$
                   所以这些间断点为跳跃间断点。


                     
二维码

扫码加我 拉你入群

请注明:姓名-公司-职位

以便审核进群资格,未注明则拒绝

2020-10-9 21:34:00
重庆大学2020年数学分析试题
4.png


        1、用Stolz定理
                               $\displaystyle \lim_{n \to \infty }\frac{na_1+(n-1)a_2+\cdots +a_n}{n}=\lim_{n \to \infty }\frac{a_1+a_2+\cdots +a_n}{n-(n-1)}=S.$


        2、这个题应该是有误的。典型题应该是
                                $\displaystyle \lim_{n \to \infty }\frac{a_1+2a_2+\cdots +na_n}{n^2}=\lim_{n \to \infty }\frac{na_n}{n^2-(n-1)^2}=\lim_{n \to \infty }\frac{na_n}{2n-1}=0.$





二维码

扫码加我 拉你入群

请注明:姓名-公司-职位

以便审核进群资格,未注明则拒绝

2020-10-9 21:34:30
重庆大学2020年数学分析试题
5.png

证明:分两步:一、证当$x》0$时,有$f(x)\geq 0.$;二、同时,又有$xf(x)\leq 0.$

               首先用反证法。设
                                              $\exists c\geq 0,s.t.f(c)< 0.$

                                              $\because f(x)\downarrow ,$

                                              $\therefore x\geq c\geq 0,f(x)\leq f(c)< 0,$

                                              $\displaystyle \Rightarrow \int_{c}^{+\infty }f(x)dx\leq \int_{c}^{+\infty }f(c)dx=-\infty .$

                                              $\displaystyle \therefore x\geq c\geq 0,f(x)\geq 0.$

                      其次,根据积分收敛性质,有
                                              $\displaystyle \lim_{x\to+\infty }\int_{\frac{x}{2}}^{x}f(x)dx=0,$

                               而由$f(x)$非负单调性,有
                                               $\displaystyle \int_{\frac{x}{2}}^{x}f(x)dx > f(x)\cdot \frac{x}{2},$

                         取极限,得
                                               $\displaystyle \therefore \lim_{x\to +\infty}xf(x)\leq \lim_{x\to+\infty }\int_{\frac{x}{2}}^{x}f(x)dx=0.$

                                因此,有
                                               $\displaystyle \therefore \lim_{x\to +\infty}xf(x)=0.$




二维码

扫码加我 拉你入群

请注明:姓名-公司-职位

以便审核进群资格,未注明则拒绝

2020-10-9 21:35:00
重庆大学2020年数学分析试题
6.png

证明:
             不失一般性,不妨设$\{f_n(x)\}$在$[a,b]$上单调增。即有
                                              $\displaystyle f_n(a)\leq f_n(x)\leq f_n(b),$

                              所以有
                                              $\displaystyle 0\leq f_n(x)-f_n(a)\leq f_n(b)-f_n(a),$

                        由$\displaystyle \sum_{n=1}^{\infty }f_n(a),\sum_{n=1}^{\infty }f_n(b)$收敛,得到$\displaystyle \sum_{n=1}^{\infty }(f_n(b)-f_n(a))$收敛。
                         于是,由$M$判别法可知,$\displaystyle \sum_{n=1}^{\infty }(f_n(x)-f_n(a))$在$[a,b]$上一致收敛,从而$\displaystyle \sum_{n=1}^{\infty }f_n(x)$在$[a,b]$上一致收敛。

                   同法可证单调减的情况。



二维码

扫码加我 拉你入群

请注明:姓名-公司-职位

以便审核进群资格,未注明则拒绝

2020-10-9 21:35:28
重庆大学2020年数学分析试题
7.png

解:
                      $\displaystyle \because R=|\frac{1+\frac{1}{n(n-2)}}{1+\frac{1}{(n+1)(n-1)}}|=1,$

              所以,收敛域为$[-1,1]$.(可以验证在两个端点处,收敛)

          用拆项法,求导法,容易求得函数的和。


二维码

扫码加我 拉你入群

请注明:姓名-公司-职位

以便审核进群资格,未注明则拒绝

2020-10-9 21:35:59
重庆大学2020年数学分析试题
8.png

解:
            这道题最简便的计算方法是利用积分区间的对称性结合高斯公式:

                              $\displaystyle I=\iint_Szdxdy=\frac{1}{3}\iint_Sxdydz+ydzdx+zdxdy=\frac{1}{3}\iiint_\Omega 3dxdydz=\frac{4}{3}\pi.$




二维码

扫码加我 拉你入群

请注明:姓名-公司-职位

以便审核进群资格,未注明则拒绝

2020-10-9 21:36:30
重庆大学2020年数学分析试题
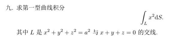
9.png

解:
             利用对称性来计算

                     $\displaystyle I=\iint_Lx^2dS=\frac{1}{3}\iint_L(x^2+y^2+z^2)dS=\frac{a^2}{3}\iint_LdS=\frac{a^2}{3}\cdot \pi a^2=\frac{1}{3}\pi a^4.$



二维码

扫码加我 拉你入群

请注明:姓名-公司-职位

以便审核进群资格,未注明则拒绝

2020-10-9 21:37:03
重庆大学2020年数学分析试题
10.png

证明
            这里有个陌生的“上半连续函数”概念。由条件即有:
                           $\displaystyle \forall \epsilon > 0,x_0\in[0,1],\forall x,\exists \delta > 0,|x-x_0|< \delta ,s.t.$

                               $\displaystyle f(x)> f(x_0)-\epsilon ,$

             又由已知条件有
                               $\displaystyle f(x)< f(x_0)+\epsilon ,$

                所以,有
                                $\Rightarrow |f(x)-f(x_0)|< \epsilon .$

              函数在$x_0$连续,因为$x_0$的任意性,故知函数在所给区间上连续。再由闭区间上连续函数的性质得到函数$f(x)$在$[0,1]$上一致连续,并且上下有界,能取到最值。



二维码

扫码加我 拉你入群

请注明:姓名-公司-职位

以便审核进群资格,未注明则拒绝

2020-10-11 09:46:58
上海交通大学2016年数学分析试题
1.png


                   $\displaystyle \lim_{x\rightarrow 0}\frac{1-\cos^2x}{x(e^x-1)}=\lim_{x\rightarrow 0}\frac{\sin^2x}{x(x+o(x))}=1.$




二维码

扫码加我 拉你入群

请注明:姓名-公司-职位

以便审核进群资格,未注明则拒绝

2020-10-11 09:47:27
上海交通大学2016年数学分析试题
2.png

解:
          由$f(x)$连续,可知有
                             $\forall\epsilon > 0,\exists \delta > 0,|x-x_0|< \delta ,s.t.$

                                $|f(x)-f(x_0)|< \epsilon .$
            从而有
                            $\forall\epsilon > 0,\exists \delta > 0,|x-x_0|< \delta ,s.t.$

                              $||f(x)|-|f(x_0)||\leq |f(x)-f(x_0)|< \epsilon .$

           因此,$|f(x)|$连续。

             下半题:

二维码

扫码加我 拉你入群

请注明:姓名-公司-职位

以便审核进群资格,未注明则拒绝

2020-10-11 09:47:57
上海交通大学2016年数学分析试题
3.png

解:
             $\displaystyle \lim_{t\to 0^+}\frac{\int_{0}^{\sin x}\sqrt{\tan t}dt}{\int_{0}^{\tan x}\sqrt{\sin t}dt}=\lim_{t\to 0^+}\frac{\cos x\sqrt{\tan \sin x}}{\frac{1}{\cos^2x}\sqrt{\sin \tan x}}=1.$


二维码

扫码加我 拉你入群

请注明:姓名-公司-职位

以便审核进群资格,未注明则拒绝

2020-10-11 09:48:27
上海交通大学2016年数学分析试题
4.png


                  $\displaystyle f'(x)=e^{-x^2}-2x^2e^{-x^2}=(1-2x^2)e^{-x^2}.(x\leq 0)$

                   $\displaystyle f'(x)=\cos x+\sin x.(x> 0)$


二维码

扫码加我 拉你入群

请注明:姓名-公司-职位

以便审核进群资格,未注明则拒绝

2020-10-11 09:48:54
上海交通大学2016年数学分析试题
5.png

证明
               设
                       $f(x)=\tan x+2\sin x-3x,$

             则有
                         $f'(x)=\sec^2x+2\cos x-3,$
      
               而
                         $\because f''(x)=\frac{-2\sin x}{\cos^3x}-2\sin x< 0,(x\in(0-\delta ,0+\delta ),\delta > 0)$

                           $\therefore f'(x)\uparrow ,$

                            $\Rightarrow f'(x)> f'(0)=0,f(x)\uparrow ,$

                            $\Rightarrow f(x)=\tan x+2\sin x-3x> 0=f(0),$

               即
                           $\therefore \tan x+2\sin x> 3x.$


二维码

扫码加我 拉你入群

请注明:姓名-公司-职位

以便审核进群资格,未注明则拒绝

2020-10-11 09:49:23
上海交通大学2016年数学分析试题
6.png

解:
             令
                          $\displaystyle f(x)=\sqrt[x]{x},$

                求导,
                            $\displaystyle f'(x)=(e^{\displaystyle \frac{\ln x}{x}})'=\frac{\displaystyle 1-\ln x}{x^2}e^{\displaystyle \frac{\ln x}{x}},$

                由此可知,在$x=e,f(x)$有极大值。而最接近$x=e$的正整数是$n=2,3.$只要比较$f(2),f(3)$之大小。

                     而
                                       $\displaystyle f(2)=\sqrt{2}=1.414,$

                             $\displaystyle \because f(3)=\sqrt[3]{1+2}> 1+\frac{1}{3}\cdot 2>f(2)=\sqrt{2}=1.414,$

                              $\therefore n=3.$

                即,最大值为$\displaystyle \sqrt[3]{3}$.


二维码

扫码加我 拉你入群

请注明:姓名-公司-职位

以便审核进群资格,未注明则拒绝

2020-10-11 09:49:51
上海交通大学2016年数学分析试题
7.png

解:
                      $\begin{align*}I&=\int \cos^2\sqrt{x}dx\\\\&=\int \cos^2t\cdot 2tdt\\\\&=\int (\cos 2t+1)tdt\\\\&=\frac{1}{2}t^2+\int t\cos 2tdt\\\\&=\frac{1}{2}t^2+\frac{1}{2}t\sin 2t-\frac{1}{2}\int \sin 2tdt\\\\&=\frac{1}{2}t^2+\frac{1}{2}t\sin 2t+\frac{1}{4}\cos 2t+C\\\\&=\frac{1}{2}x+\frac{1}{2}\sqrt{x}\sin 2\sqrt{x}+\frac{1}{4}\cos 2\sqrt{x}+C.\end{align*}$


二维码

扫码加我 拉你入群

请注明:姓名-公司-职位

以便审核进群资格,未注明则拒绝

2020-10-11 09:50:18
上海交通大学2016年数学分析试题
8.png

解:
                 $\begin{align*}I&=I_1+I_2+I_3\\\\&=\int_{0}^{1}dy\int_{-\sqrt{4-y^2}}^{2y-2}f(x,y)dx\\\\&+\int_{0}^{1}dy\int_{2-2y}^{\sqrt{4-y^2}}f(x,y)dx+\int_{1}^{2}dy\int_{-\sqrt{4-y^2}}^{\sqrt{4-y^2}}f(x,y)dx.\end{align*}$


二维码

扫码加我 拉你入群

请注明:姓名-公司-职位

以便审核进群资格,未注明则拒绝

2020-10-11 09:50:46
上海交通大学2016年数学分析试题
9.png


       (1)、
                        $\because x=R\sin \theta\cos \phi ,y=R\sin \theta\sin \phi ,$

                         $\therefore 1=R\cos \theta \cos \phi \frac{\partial \theta }{\partial x},$

                  即
                          $\frac{\partial \theta }{\partial x}=\frac{1}{R\cos \theta \cos \phi}$

                同理,有
                           $\frac{\partial \theta }{\partial y}=\frac{1}{R\cos \theta \sin \phi},$

       (2)、
                 由于
                           $x^2+y^2+z^2=R^2,$

                  所以
                          $2x+2z\frac{\partial z}{\partial x}=0,$

                  因此有
                            $\frac{\partial z}{\partial x}=-\frac{x}{z}=-\frac{x}{\sqrt{R^2-x^2-y^2}},$

                            $\frac{\partial z}{\partial y}=-\frac{y}{z}=-\frac{y}{\sqrt{R^2-x^2-y^2}}.$


二维码

扫码加我 拉你入群

请注明:姓名-公司-职位

以便审核进群资格,未注明则拒绝

2020-10-11 09:51:15
上海交通大学2016年数学分析试题
10.png

证明:
                               $\because x> x_0,\Rightarrow x-x_0> 0,$
                而
                               $\displaystyle \frac{a_n}{n^x}=\frac{a_n}{n^{x_0}}\cdot \frac{1}{n^{x-x_0}},$

                   由于
                               $\displaystyle \sum_{n=1}^{\infty }\frac{a_n}{n^{x_0}}< \infty ,$

                   同时,$\displaystyle \{\frac{1}{n^{x-x_0}}\}$单调有界。

                   所以,根据Abel判别法知,$\displaystyle \sum_{n=1}^{\infty }\frac{a_n}{n^{x}} $收敛。



二维码

扫码加我 拉你入群

请注明:姓名-公司-职位

以便审核进群资格,未注明则拒绝

2020-10-11 14:35:36
上海交通大学2016年数学分析试题
1.png

解:
                       $\because P=e^x\sin2y-y,Q=2e^x\cos2y-100,$

              则
                         $\frac{\partial P}{\partial y}=2e^x\cos2y-1,\frac{\partial Q}{\partial x}=2e^x\cos2y,$

                         $\begin{align*}\therefore I&=\oint_LPdx+Qdy\\\\&=\iint_S(\frac{\partial Q}{\partial x}-\frac{\partial P}{\partial y})dxdy\\\\&=\iint_S(2e^x\cos2y-2e^x\cos2y+1)dxdy\\\\&=\iint_Sdxdy\\\\&=\frac{1}{2}\pi.\end{align*}$


二维码

扫码加我 拉你入群

请注明:姓名-公司-职位

以便审核进群资格,未注明则拒绝

2020-10-11 14:36:08
上海交通大学2016年数学分析试题
2.png

证明:
              由已知条件,可得直线$l$的钭率为
                                              $k=\frac{f(b)-f(a)}{b-a},$

                  又因为曲线$y=f(x)$与直线$l$相交于$c$,所以由Roll定理可知
                                              $\exists \xi_1\in (a,c),\xi_2\in (c,b),s.t.$

                                              $f'(\xi_1)=f'(\xi_2)=k,$

                     由Lagrange定理,可得
                                               $\exists \xi\in(\xi_1,\xi_2),s.t.$

                                               $f''(\xi)=0.$


二维码

扫码加我 拉你入群

请注明:姓名-公司-职位

以便审核进群资格,未注明则拒绝

2020-10-11 14:36:36
上海交通大学2016年数学分析试题
3.png


解:
                    级数$\displaystyle \sum_{n=1}^{\infty }(-1)^{n-1}a_n,$为交叉项级数,且
                                 
                                     $\displaystyle \because \frac{a_{2n}}{a_{2n-1}}=\frac{\int_{n}^{n+1}\frac{1}{x}dx}{\frac{1}{n}}=n\ln(1+\frac{1}{n})< \ln e=1,$

                                      $\displaystyle \therefore a_n\downarrow ,\rightarrow 0,$

                   因此,级数$\displaystyle \sum_{n=1}^{\infty }(-1)^{n-1}a_n,$收敛。

                  而
                           $\displaystyle  \sum_{n=1}^{\infty }(-1)^{n-1}a_n=\lim_{n \to \infty }(1+\frac{1}{2}+\frac{1}{3}+\cdots +\frac{1}{n}-\ln(n+1)).$

                    故,右边也收敛。

                   可以证明此级数为条件收敛。


二维码

扫码加我 拉你入群

请注明:姓名-公司-职位

以便审核进群资格,未注明则拒绝

2020-10-11 14:37:04
上海交通大学2016年数学分析试题
4.png

证明
                                    $\displaystyle \because f(x)\in C[0,1],$

                                    $\displaystyle \therefore |f(x)|\leq M.$

                  于是有
                                     $\displaystyle g(x)=\lim_{n \to \infty }g_n(x)=\lim_{n \to \infty }x^nf(x)=\lim_{n \to \infty }x^nM=0.$

                   又由已知,有
                                     $\displaystyle g_n(0)=0,g_n(1)=f(1)=0.$

                      因此
                                    $\displaystyle \underset{x\in[0,1]}{\sup}|g_n(x)-g(x)|=x^nf(x)\rightarrow 0,(n \to \infty )$

                     从而$g_n(x)$在$[0,1]$上一致连续。


二维码

扫码加我 拉你入群

请注明:姓名-公司-职位

以便审核进群资格,未注明则拒绝

2020-10-11 14:37:35
上海交通大学2016年数学分析试题
5.png

可以直接证明。
二维码

扫码加我 拉你入群

请注明:姓名-公司-职位

以便审核进群资格,未注明则拒绝

2020-10-12 19:42:07
上海交通大学2011年数学分析试题
1.png

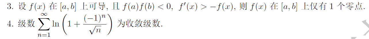
   1、正确。用反证法。
              假设数列无界。则必能找到某一项$n_1$,使得$|a_{n_1}|>1$,同理,能选出$n_k$,使得$|a_{n_k}|>k$,....
              
              如此得到一个无界子列$\{a_{n_k}\}$,根据条件,这个子列收敛。但这是不可能的,这个子列不可能有收敛子列。这与条件矛盾。所以,命题成立。

  2、不正确。一个典型的例子:
                 $ f(x)=\begin{cases}
x^2\sin\frac{1}{x} &,x\neq 0 \\
0 &,x= 0
\end{cases}$





二维码

扫码加我 拉你入群

请注明:姓名-公司-职位

以便审核进群资格,未注明则拒绝

2020-10-12 19:42:35
上海交通大学2011年数学分析试题
2.png

解:
        4、正确。理由
                                 $\displaystyle \because \lim_{n \to \infty }\ln(1+\frac{(-1)^n}{\sqrt{n}})\sim \frac{(-1)^n}{\sqrt{n}}.$

                      而
                                 $\displaystyle \frac{(-1)^n}{\sqrt{n}},$

                    为单调趋于零的交叉级数。所以收敛。
二维码

扫码加我 拉你入群

请注明:姓名-公司-职位

以便审核进群资格,未注明则拒绝

2020-10-12 19:43:05
上海交通大学2011年数学分析试题
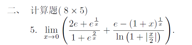
3.png
解:
                 $\displaystyle \lim_{x\to 0}(\frac{2e+e^\frac{1}{x}}{1+e^{\frac{2}{x}}}+\frac{e-(1+x)^\frac{1}{x}}{\ln(1+|\frac{x}{2}|)})=\frac{1}{2}+\lim_{x\to 0}\frac{e-(1+x)^\frac{1}{x}}{|\frac{x}{2}|+o(x)},$

                $\displaystyle \because \lim_{x\to 0^+}\frac{e-(1+x)^\frac{1}{x}}{|\frac{x}{2}|+o(x)}=\lim_{x\to 0^+}\frac{e-e^\frac{\ln(1+x)}{x}}{\frac{x}{2}+o(x)}=\lim_{x\to 0^+}\frac{e-e\cdot e^{-\frac{x}{2}+o(x)}}{\frac{x}{2}+o(x)}=\lim_{x\to 0^+}\frac{ -\frac{xe}{2}+o(xe) }{\frac{x}{2}+o(x)}=-e,$

                 $\displaystyle \lim_{x\to 0^-}\frac{e-(1+x)^\frac{1}{x}}{|\frac{x}{2}|+o(x)}=\lim_{x\to 0^-}\frac{-\frac{xe}{2}+o(xe)}{\frac{-x}{2}+o(x)}=e.$

            所以,极限不存在。


二维码

扫码加我 拉你入群

请注明:姓名-公司-职位

以便审核进群资格,未注明则拒绝

2020-10-12 19:43:33
上海交通大学2011年数学分析试题
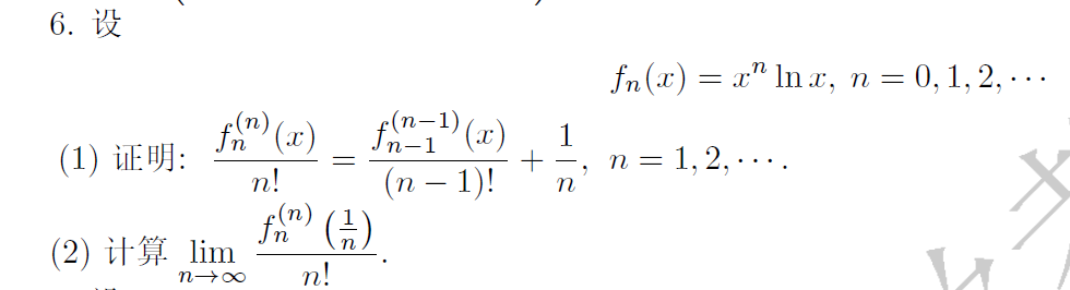
4.png

   (1)、证明
                            $\displaystyle \because f'_n(x)=nx^{n-1}\ln x+x^{n-1},$

                            $\displaystyle \therefore f'_n(x)=nf_{n-1}(x)+x^{n-1},$

                             $\displaystyle \Rightarrow f^{(n)}_n(x)=nf^{(n-1)}_{n-1}(x)+(n-1)!,$

                            $\displaystyle \Rightarrow \frac{f^{(n)}_n(x)}{n!}=\frac{f^{(n-1)}_{n-1}(x)}{(n-1)!}+\frac{1}{n}.$

    (2)、
                            $\displaystyle \lim_{n \to \infty }\frac{f^{(n)}_n(x)}{n!}=\lim_{n \to \infty }f_1(x)+\lim_{n \to \infty }o(\frac{1}{n})=-\lim_{n \to \infty }\frac{\ln n}{n}=0.$





二维码

扫码加我 拉你入群

请注明:姓名-公司-职位

以便审核进群资格,未注明则拒绝

栏目导航
热门文章
推荐文章

说点什么

分享

扫码加好友,拉您进群
各岗位、行业、专业交流群