全部版块 我的主页
论坛 经济学论坛 三区 微观经济学 经济金融数学专区
2020-10-12 19:44:01
上海交通大学2011年数学分析试题
5.png

解:
               因为$x=0$不是奇点,所以$\displaystyle \frac{1-e^{-xy}}{xe^x}$一致连续。积分与求导可交换顺序,即
                                    $\displaystyle I'(y)=\int_{0}^{+\infty }\frac{xe^{-xy}}{xe^x}dx=\int_{0}^{+\infty }e^{-(1+y)x}dx=-\frac{1}{1+y}e^{-(1+y)x}|_0^{+\infty}=\frac{1}{1+y}.$

                  从而
                                   $\displaystyle I(y)=\int_{0}^{y}\frac{1}{1+t}dt=\ln(1+y).$



二维码

扫码加我 拉你入群

请注明:姓名-公司-职位

以便审核进群资格,未注明则拒绝

2020-10-12 19:44:35
上海交通大学2011年数学分析试题
6.png

解:
                              $\displaystyle P=\frac{3y-x}{(x+y)^3},Q=\frac{y-3x}{(x+y)^3},$

                      求偏导,得
                                $\displaystyle \frac{\partial Q}{\partial x}=\frac{\partial P}{\partial y}=\frac{6x-6y}{(x+y)^4},$

                     由此可知,积分与路径无关。根据被积函数分母,可取特殊积分路径
                                     $\displaystyle AB:x+y=\frac{\pi}{2}.$

                        由此,得
                                     $\begin{align*}I&=\int_L=\int_{AB}\\\\&=(\frac{2}{\pi})^3\int_{\pi/2}^{0}[3(\frac{\pi}{2}-x)-x-\frac{\pi}{2}+x+3x]dx\\\\&=(\frac{2}{\pi})^3\int_{\pi/2}^{0}\pi dx\\\\&=\frac{8}{\pi^2}x|_{\pi/2}^0\\\\&=-\frac{4}{\pi}.\end{align*}$


二维码

扫码加我 拉你入群

请注明:姓名-公司-职位

以便审核进群资格,未注明则拒绝

2020-10-12 19:45:02
上海交通大学2011年数学分析试题
7.png

解:
                      $\begin{align*}I&=\iiint_V\frac{1}{x^2+y^2}dxdydz\\\\&=\int_{1}^{2}dx\int_{0}^{x}\frac{1}{x^2+y^2}dy\int_{0}^{y}dz\\\\&=\int_{1}^{2}dx\int_{0}^{x}\frac{y}{x^2+y^2}dy\\\\&=\frac{1}{2}\int_{1}^{2}\ln(x^2+y^2)|_0^xdx\\\\&=\frac{1}{2}\ln2\int_{1}^{2}dx\\\\&=\frac{1}{2}\ln2.\end{align*}$



二维码

扫码加我 拉你入群

请注明:姓名-公司-职位

以便审核进群资格,未注明则拒绝

2020-10-12 19:45:31
上海交通大学2011年数学分析试题
8.png

证明:
         (1)、
                            $\because x\in U(x_0,\sigma),|f(x)|\leq M.$

                             $\therefore |m(\sigma )|\leq M,|M(\sigma )|\leq M.$

                             $\Rightarrow \forall x\in U(x_0,\sigma),\forall \epsilon > 0,s.t.$

                             $|M(\sigma )-m(\sigma )|\leq |M(\sigma )-M|+|m(\sigma )-M|< \epsilon .$

          (2)、
                     $" \Rightarrow "$
                             与(1)相同的证法,知有
                                       $|M(\sigma )-m(\sigma )|\leq |M(\sigma )-M|+|m(\sigma )-M|< \epsilon .$

                    $"\Leftarrow "$
                              设有
                                       $\displaystyle \lim_{\sigma \rightarrow 0^+}(M(\sigma )-m(\sigma))=0,$

                              而
                                        $\because \forall x\in U(x_0,\sigma),$

                                由于此时有
                                         $0\leq |f(x)-f(x_0)|\leq |M(\sigma )-m(\sigma )|\rightarrow 0,(\sigma \rightarrow 0^+)$

                                     $\displaystyle \therefore \lim_{x\rightarrow x_0}f(x)=f(x_0).$


二维码

扫码加我 拉你入群

请注明:姓名-公司-职位

以便审核进群资格,未注明则拒绝

2020-10-12 19:47:04
上海交通大学2011年数学分析试题
9.png

奇怪这是一道2004年交大考过的题,为何又考,不应该是出题者的一个疏忽吧。

1.png


二维码

扫码加我 拉你入群

请注明:姓名-公司-职位

以便审核进群资格,未注明则拒绝

2020-10-12 19:47:37
上海交通大学2011年数学分析试题
10.png

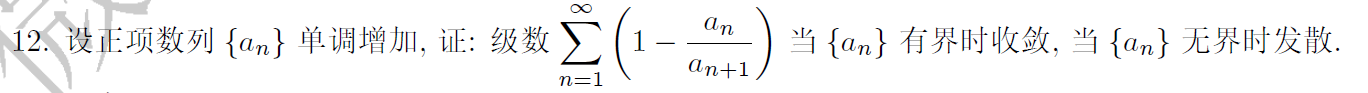
又一道与2008年相类似的题。

证明:
                 当$\{a_n\}$有界时,$\{a_n\}$收敛,由此可得$\displaystyle \sum_{n=1}^{\infty }(a_{n+1}-a_n)$收敛。而

                                    $\displaystyle \because 0\leq 1-\frac{a_n}{a_{n+1}}=\frac{a_{n+1}-a_n}{a_{n+1}}\leq \frac{a_{n+1}-a_n}{a_{1}},$

                由比较判别法知,$\{a_n\}$收敛。

                  当$\{a_n\}$无界时,当$n$充分大时,取$p$充分大,使得下式成立

                                     $\displaystyle \sum_{k=n+1}^{n+p}(1-\frac{a_k}{a_{k+1}})\geq \sum_{k=n+1}^{n+p}\frac{a_{k+1}-a_k}{a_{n+p+1}}=\frac{a_{n+p+1}-a_{n+1}}{a_{n+p+1}}=1-\frac{a_{n+1}}{a_{n+p+1}}\geq \frac{1}{2},$

              由柯西准则,原级数发散。


二维码

扫码加我 拉你入群

请注明:姓名-公司-职位

以便审核进群资格,未注明则拒绝

2020-10-12 19:48:11
上海交通大学2011年数学分析试题
11.png

解:
                       $\displaystyle \because |\frac{x^n}{n^2\ln(1+n)}|\leq \frac{1}{n^2\ln(1+n)}<\frac{1}{n^2} ,(n \to \infty ,x\in[-1,1])$

                  所以,$\displaystyle \sum_{n=1}^{\infty }\frac{x^n}{n^2\ln(1+n)}$一致收敛。从而函数$f(x)$在$[-1,1]$上连续。

                       由于
                                     $\displaystyle (\frac{x^n}{n^2\ln(1+n)})'=\frac{x^{n-1}}{n\ln(1+n)},$

                     而级数
                                      $\displaystyle \sum_{n=1}^{\infty }\frac{x^{n-1}}{n\ln(1+n)}$

                      的收敛域为$(-1,1)$.又因为$x=-1$时,$\displaystyle \sum_{n=1}^{\infty }\frac{x^{n-1}}{n\ln(1+n)}$收敛,故
         
               $\displaystyle \sum_{n=1}^{\infty }\frac{x^{n-1}}{n\ln(1+n)}$在$ [-1,1-\delta ]$上一致收敛,从而$f(x)$在$ [-1,1-\delta ]$上可导。
                 而由
                            $\displaystyle \because \lim_{x\rightarrow 1^-}f'(x)=\lim_{x\rightarrow 1^-}\sum_{n=1}^{\infty }\frac{x^{n-1}}{n\ln(1+n)}=\sum_{n=1}^{\infty }\frac{1}{n\ln(1+n)}=+\infty ,$

                    可得,和函数在$x=1$时,不可导。


二维码

扫码加我 拉你入群

请注明:姓名-公司-职位

以便审核进群资格,未注明则拒绝

2020-10-12 19:48:40
上海交通大学2011年数学分析试题
12.png

证明:本题最大难点是找辅助函数。令
                                $F(x)=e^{-(b-a)x}(f(x)-f(a)),F(a)=0,$

               由此得到
                                 $F'(x)=-(b-a)e^{-(b-a)x}(f(x)-f(a))+e^{-(b-a)x}f'(x)=-(b-a)F(x)+e^{-(b-a)x}f'(x).$

                        因此
                                  $F'(c)=-(b-a)e^{-(b-a)x}F(c)+e^{-(b-a)c}f'(c)=-(b-a)F(c).$

                分二种情形:当
                                    $F(c)=0,\Rightarrow F'(c)=0.$

                             此时只要令
                                        $\xi=c,\Rightarrow f'(\xi)=(f(\xi)-f(a))(b-a).$

                           而当
                                   $F(c)\neq 0,\exists \lambda \in (a,c),s.t.$

                                    $F'(\lambda )=\frac{F(c)-F(a)}{c-a}=\frac{F(c)}{c-a},$

                                     $\therefore F'(c)F'(\lambda )=-(b-a)F(c)\cdot\frac{F(c)}{c-a}< 0.$

                                     $\exists \xi\in(\lambda,c)\subset [a,b],s.t.$

                                     $F'(\xi)=-(b-a)e^{-(b-a)\xi}(f(\xi)-f(a))+e^{-(b-a)\xi}f'(\xi)=0,$

                                     $\Rightarrow f'(\xi)=(f(\xi)-f(a))(b-a).$

                    综上二种情形,命题成立。




                           
二维码

扫码加我 拉你入群

请注明:姓名-公司-职位

以便审核进群资格,未注明则拒绝

2020-10-12 19:49:11
上海交通大学2011年数学分析试题
13.png

分析:
            从本题要证明的连续函数值域来看,只要证明函数为单调增即可。

证明:
               可以分三种情况:
                     1、$\exists x',x''\in(\alpha ,\beta ),s.t.f(x')=f(x''),$则函数在$[x',x'']$内存在最值,最值点即为极值点,这与条件矛盾。

                     2、$\exists x',x'',x'''\in(\alpha ,\beta ),s.t.f(x')< f(x''')< f(x''),$则函数在$[x',x'']$内存在最大值,最大值点即为极值点,这与条件矛盾。

                      3、$\exists x',x'',x'''\in(\alpha ,\beta ),s.t.f(x')> f(x''')> f(x''),$则函数在$[x',x'']$内存在最小值,最小值点即为极值点,这与条件矛盾。

             由此可知,函数只能为单调函数。又因为在$(a,b)$上不存在极小值,因此最小值点一定在端点$f(a)$,而最大值无界。

              所以函数$f(x)$在$[a,b)$上的值域为$[f(a),+\infty)$.




二维码

扫码加我 拉你入群

请注明:姓名-公司-职位

以便审核进群资格,未注明则拒绝

2020-10-15 10:29:44
上海交通大学2012年数学分析试题
1.png

3、不正确。
               因为
                          $\frac{nx}{1+nx}\rightarrow 1,(n \to \infty)$

               当$x=\frac{1}{n}$  时  ,有         
                           $\frac{nx}{1+nx}=\frac{1}{2},$

                 而此时
                            $|\frac{nx}{1+nx}-\frac{1}{2}|\rightarrow \frac{1}{2}\neq 0,(n \to \infty )$

                 所以函数列不一致收敛。







二维码

扫码加我 拉你入群

请注明:姓名-公司-职位

以便审核进群资格,未注明则拒绝

2020-10-15 10:30:09
上海交通大学2012年数学分析试题
2.png

4、正确。
                 因为
                        $\displaystyle \because (u_n+v_n)^2=u_n^2+v_n^2+2u_nv_n\leq 2(u_n^2+v_n^2),$

                         $\displaystyle \therefore \sum_{n=1}^{\infty }(u_n+v_n)^2\leq 2\sum_{n=1}^{\infty }u_n^2+2\sum_{n=1}^{\infty }v_n^2,$

                由$\displaystyle \sum_{n=1}^{\infty }u_n^2,\sum_{n=1}^{\infty }v_n^2$收敛,知$\displaystyle \sum_{n=1}^{\infty }(u_n+v_n)^2$也收敛。

5、正确。
               因为
                     
                 
二维码

扫码加我 拉你入群

请注明:姓名-公司-职位

以便审核进群资格,未注明则拒绝

2020-10-15 10:30:58
上海交通大学2012年数学分析试题
3.png

解:
                         $\begin{align*}I&=\lim_{n \to \infty }\int_{0}^{1}(1-x^2)^ndx\\\\&=\lim_{n \to \infty }\int_{0}^{\delta }(1-x^2)^ndx+\lim_{n \to \infty }\int_{\delta }^{1}(1-x^2)^ndx\\\\&=\lim_{n \to \infty }\delta (1-\delta ^2)^n+\lim_{n \to \infty }\int_{\delta }^{1}(1-x^2)^ndx,\end{align*}$

             而
                         $\displaystyle \lim_{n \to \infty }\delta (1-\delta ^2)^n=0,(\delta >0)$

                         $\displaystyle \because (1-x^2)^n\rightarrow 0,(n \to \infty )$

                         $\displaystyle \therefore \lim_{n \to \infty }\int_{\delta }^{1} (1-x^2)^ndx=\int_{\delta }^{1}\lim_{n \to \infty }(1-x^2)^ndx=0.$

                         $\displaystyle \Rightarrow I=0.$


二维码

扫码加我 拉你入群

请注明:姓名-公司-职位

以便审核进群资格,未注明则拒绝

2020-10-15 10:31:40
上海交通大学2012年数学分析试题
4.png

证明:
                      令
                               $F(x)=a_1(x-\lambda_2)(x-\lambda_3)+a_2(x-\lambda_1)(x-\lambda_3)+a_3(x-\lambda_1)(x-\lambda_2),$

                    所证命题等价于证明方程$F(x)=0$存在两个解。由条件

                                 $\because \lambda_1<\lambda_2<\lambda_3,$

                                 $\therefore F(\lambda_1)=a_1(\lambda_1-\lambda_2)(\lambda_1-\lambda_3)> 0,$

                                      $F(\lambda_2)=a_2(\lambda_2-\lambda_1)(\lambda_2-\lambda_3)< 0,$

                                   $\exists \xi \in(\lambda_1,\lambda_2),s.t.$

                                         $F(\xi)=0.$

                   同理,可证
                                   $F(\lambda_2)\cdot F(\lambda_3)< 0,$

                                   $\exists \eta \in(\lambda_2,\lambda_3),s.t.$

                                       $F(\eta)=0.$

                           


                              
二维码

扫码加我 拉你入群

请注明:姓名-公司-职位

以便审核进群资格,未注明则拒绝

2020-10-15 10:32:05
上海交通大学2012年数学分析试题
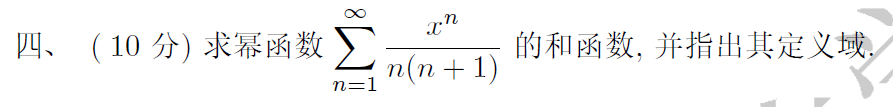
5.png

解:
                                   $\displaystyle \because \frac{a_n}{a_{n+1}}=1,$

                                   $\displaystyle \sum_{n=1}^{\infty}\frac{x^n}{n(n+1)}\leq \sum_{n=1}^{\infty}\frac{|x^n|}{n(n+1)}\leq \lim_{n \to \infty }(1-\frac{1}{n+1})=1.(|x|\leq 1)$

                   所以收敛域,即定义域为:$x\in[-1,1],$

                     又
                                     $\displaystyle \sum_{n=1}^{\infty}\frac{x^n}{n(n+1)}=\frac{1}{x}\sum_{n=1}^{\infty}\frac{x^{n+1}}{n(n+1)},$

                           令
                                       $\displaystyle S(x)=\sum_{n=1}^{\infty}\frac{x^{n+1}}{n(n+1)},$

                           则
                                        $\displaystyle S''(x)=\sum_{n=1}^{\infty}x^{n-1}=\frac{1}{1-x},$

                                         $\displaystyle S'(x)=\int S''(x)dx=-\ln(1-x)+C,(x=0,C=0)$

                                         $\displaystyle S(x)=-\int \ln(1-x)dx=x\ln(1-x)+x+\ln(1-x)+C,(x=0,C=0)$

                                    $\displaystyle \therefore \sum_{n=1}^{\infty}\frac{x^n}{n(n+1)}=\frac{1}{x}S(x)=1+(1+\frac{1}{x})\ln(1-x).$


二维码

扫码加我 拉你入群

请注明:姓名-公司-职位

以便审核进群资格,未注明则拒绝

2020-10-15 10:32:34
上海交通大学2012年数学分析试题
6.png

可能题目有笔误?



二维码

扫码加我 拉你入群

请注明:姓名-公司-职位

以便审核进群资格,未注明则拒绝

2020-10-15 10:33:01
上海交通大学2012年数学分析试题
7.png

解:
                   由已知,$\phi (x_0)\neq 0,$且连续。所以可令
                                    $\displaystyle F(x)=\frac{f(x)}{\phi(x)}=(x-x_0)^n,$

                     原函数的极佳与$F(x)$相同。由于
                                      $\displaystyle F^{(k)}(x)=0,(k=0,1,2,\cdots ,n-1),$

                          而
                                        $\displaystyle F^{(n)}(x_0)=n!>0,$

                        可将$F'(x),F''(x)$分别在$x_0$外泰勒展开,得
                                        $\displaystyle F'(x)=\frac{F^{(n)}(x_0)}{(n-1)!}(x-x_0)^{n-1}+o((x-x_0)^{n-1}),$

                                        $\displaystyle F''(x)=\frac{F^{(n)}(x_0)}{(n-2)!}(x-x_0)^{n-2}+o((x-x_0)^{n-2}),$

                        从上面两式可得,当$n$为奇数时,$F'(x)$在$x_0$两侧为正,$F(x)$无极值;当$n$为偶数时,$F'(x)$在$x_0$两侧异号,$F(x)$有极小值。


二维码

扫码加我 拉你入群

请注明:姓名-公司-职位

以便审核进群资格,未注明则拒绝

2020-10-15 10:33:26
上海交通大学2012年数学分析试题
8.png

证明:
            利用两个极限和均值不等式,有
                                 $\displaystyle \lim_{n \to \infty }x_n=a,\lim_{n \to \infty }\frac{x_1+x_2+\cdots +x_n}{n}=a,$

                                 $\displaystyle \lim_{n \to \infty }\frac{1}{x_n}=\frac{1}{a},\lim_{n \to \infty }\frac{n}{\frac{1}{x_1}+\frac{1}{x_2}+\cdots \frac{1}{x_n}}=a.$

                                $\displaystyle \frac{n}{\frac{1}{x_1}+\frac{1}{x_2}+\cdots \frac{1}{x_n}}\leq \sqrt[n]{x_1\cdot \frac{x_2}{x_1}\cdot \cdots \cdot \frac{x_n}{x_{n-1}}}\leq \frac{x_1+x_2+\cdots +x_n}{n},$

               可令
                                $\displaystyle x_n=\frac{a_n}{a_{n-1}},$

                   则有
                                $\displaystyle \lim_{n \to \infty }x_n=\lim_{n \to \infty }\frac{a_n}{a_{n-1}}=a,$

                     用夹逼法得
                                 $\displaystyle \lim_{n \to \infty }\sqrt[n]{a_n}=\lim_{n \to \infty }\sqrt[n]{a_1\cdot \frac{a_2}{a_1}\cdot \cdots \cdot \frac{a_n}{a_{n-1}}}=a.$




二维码

扫码加我 拉你入群

请注明:姓名-公司-职位

以便审核进群资格,未注明则拒绝

2020-10-15 10:33:51
上海交通大学2012年数学分析试题
9.png

解:
                      $\displaystyle \because \frac{1}{(1+x^2)^n}> \frac{1}{(1+x^2)^{n+1}}\rightarrow 0,(n \to \infty ,x> 0)$

                       $\displaystyle \therefore \sum_{n=1}^{\infty }\frac{(-1)^n}{(1+x^2)^n}< \infty .$

              而当$x=0$时,级数也收敛。

                      $\displaystyle \because f(x)=\lim_{n \to \infty }f_n(x)=\lim_{n \to \infty }\frac{(-1)^n}{(1+x^2)^n}=0,(x\neq 0)$

               而当$x=1/n$时,此时
                      $\displaystyle |f_n(x)-f(x)|=|\frac{(-1)^n}{(1+x^2)^n}-0|=\frac{n^{2n}}{(1+n^2)^n}\rightarrow 1\neq  0,(n \to \infty ,x\neq 0)$

                  所以,不一致收敛。





                  
二维码

扫码加我 拉你入群

请注明:姓名-公司-职位

以便审核进群资格,未注明则拒绝

2020-10-15 10:34:18
上海交通大学2012年数学分析试题
10.png

此题与2016二(2)相似,可参见前面解答。


二维码

扫码加我 拉你入群

请注明:姓名-公司-职位

以便审核进群资格,未注明则拒绝

2020-10-15 10:34:47
上海交通大学2012年数学分析试题
11.png

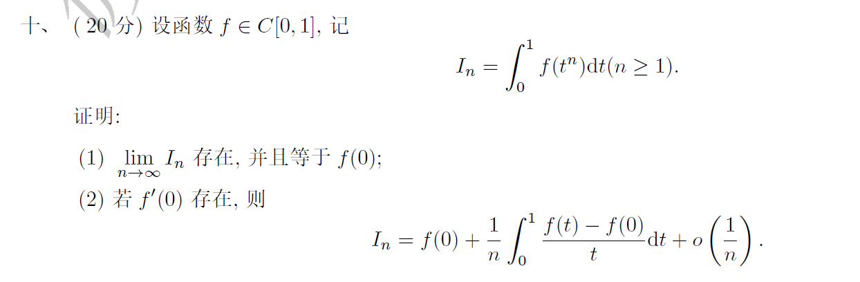
证明
          (1)、
                      用分部积分法得
                                 $\displaystyle I_n=\int_{0}^{1}f(t^n)dt=tf(t^n)|_0^1-\int_{0}^{1}nt^{n}f'(t^n)dt=f(0)-\int_{0}^{1}nt^{n}f'(t^n)dt,$

                      而
                              $\displaystyle \lim_{n \to \infty }\int_{0}^{1}nt^{n}f'(t^n)dt=\lim_{n \to \infty }\int_{0}^{1-\delta }nt^{n}f'(t^n)dt+\lim_{n \to \infty }\int_{1-\delta }^{1}nt^{n}f'(t^n)dt,(0< \delta < 1)$

               由已知
                              $\because f(x)\in C[0,1],$

                              $\therefore |f'(x)|\leq M,$

                  又
                              $\displaystyle \because nt^{n}f'(t^n)\rightarrow 0,(n \to \infty ,t\in[0,1))$

                 所以,上述极限第一项被积函数一致收敛,从而积分和极限可变换次序

                              $\displaystyle \therefore \lim_{n \to \infty }\int_{0}^{1-\delta }nt^{n}f'(t^n)dt=\int_{0}^{1-\delta }\lim_{n \to \infty }nt^{n}f'(t^n)dt=0.$

                 再由导函数的有界性,得
                                $\displaystyle \Rightarrow \lim_{n \to \infty }\int_{1-\delta }^{1}nt^{n}f'(t^n)dt\leq \lim_{n \to \infty }M\int_{1-\delta }^{1}nt^{n}dt=\lim_{n \to \infty }M\frac{n}{n+1}[1-(1-\delta )^{n+1}]=0.$

                  从而
                               $\displaystyle \Rightarrow \lim_{n \to \infty }I_n=f(0)-\lim_{n \to \infty }\int_{0}^{1}nt^{n}f'(t^n)dt=f(0).$


          (2)、




二维码

扫码加我 拉你入群

请注明:姓名-公司-职位

以便审核进群资格,未注明则拒绝

2020-10-19 16:10:11
上海交通大学2013年数学分析试题
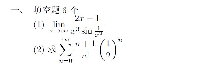
1.png

解:
          (1)、
                       $\displaystyle \lim_{x\to \infty }\frac{2x-1}{x^3\sin\frac{1}{x^2}}=\lim_{x\to \infty }\frac{2x-1}{x^3\cdot \frac{1}{x^2}}=2.$


           (2)、
                      $\displaystyle \sum_{n=0}^{\infty }\frac{n+1}{n!}(\frac{1}{2})^n=1+\sum_{n=1}^{\infty }\frac{1}{(n-1)!}(\frac{1}{2})^n+\sum_{n=0}^{\infty }\frac{1}{n!}(\frac{1}{2})^n=1+\frac{1}{2}e^{\frac{1}{2}}+e^{\frac{1}{2}}=1+\frac{3}{2}e^{\frac{1}{2}}.$



二维码

扫码加我 拉你入群

请注明:姓名-公司-职位

以便审核进群资格,未注明则拒绝

2020-10-19 16:10:43
上海交通大学2013年数学分析试题
2.png

解:
          利用常用公式
                                  $\displaystyle (\frac{1}{ax+b})^{(n)}=\frac{(-1)^na^nn!}{(ax+b)^{n+1}},$

                                  $\displaystyle (\frac{x}{ax+b})^{(n)}=x\cdot (\frac{1}{ax+b})^{(n)}+C^!_n(\frac{1}{ax+b})^{(n-1)}$

                    而
                                   $\displaystyle y=\frac{x^2}{x^2-1}+\frac{1}{x^2-1}=\frac{1}{2}(\frac{x}{x+1}+\frac{x}{x-1})+\frac{1}{2}(\frac{1}{x-1}-\frac{1}{x+1}),$

                        由
                                   $\displaystyle (\frac{x}{x+1})^{(n)}=\frac{(-1)^nn!x}{(x+1)^{n+1}}+\frac{(-1)^{n-1}n!}{(x+1)^n}=\frac{(-1)^{n-1}n!}{(x+1)^{n+1}},$

                                   $\displaystyle (\frac{x}{x-1})^{(n)}=\frac{(-1)^nn!x}{(x-1)^{n+1}}+\frac{(-1)^{n-1}n!}{(x-1)^n}=\frac{(-1)^{n}n!}{(x-1)^{n+1}},$

                                    $\displaystyle (\frac{1}{x+1})^{(n)}=\frac{(-1)^nn!}{(x+1)^{n+1}},$

                                    $\displaystyle (\frac{1}{x-1})^{(n)}=\frac{(-1)^nn!}{(x-1)^{n+1}},$

                                   $\displaystyle \therefore y^{(n)}=\frac{(-1)^nn!}{(x+1)^{n+1}}+\frac{(-1)^nn!}{(x-1)^{n+1}}.$


二维码

扫码加我 拉你入群

请注明:姓名-公司-职位

以便审核进群资格,未注明则拒绝

2020-10-19 16:11:07
上海交通大学2013年数学分析试题
3.png


                    $\begin{align*}\int \frac{1}{\sin^6x+\cos^6x}dx&=\int \frac{dx}{\cos^6x(1+\tan^6x)}\\\\&=\int\frac{d\tan x}{\cos^4x(1+\tan^6x)}\\\\&=\int\frac{(1+\tan^2x)^2d\tan x}{(1+\tan^6x)}\\\\&=\int \frac{(1+t^2)^2}{1+t^6}dt\\\\&=\int \frac{1+2t^2+t^4}{1+t^6}dt\\\\&=\int \frac{1-t^2+t^4+3t^2}{1+t^6}dt\\\\&=\int \frac{dt}{1+t^2}+\int \frac{3t^2dt}{1+t^6}\\\\&=\arctan t+\arctan t^3+C\\\\&=x+\arctan (\tan x)^3+C.\end{align*}$




二维码

扫码加我 拉你入群

请注明:姓名-公司-职位

以便审核进群资格,未注明则拒绝

2020-10-19 16:11:32
上海交通大学2013年数学分析试题
4.png

解:
             令
                    $\displaystyle x^2-t^2=y,$

              则
                    $\displaystyle -2tdt=dy,[0,x]\rightarrow [x^2,0]$

            所以有
                      $\displaystyle (\int_{0}^{x}tf(x^2-t^2)dt)'=\frac{1}{2}(\int_{0}^{x^2}f(y)dy)'=xf(x^2).$



二维码

扫码加我 拉你入群

请注明:姓名-公司-职位

以便审核进群资格,未注明则拒绝

2020-10-19 16:11:57
上海交通大学2013年数学分析试题
5.png

解:
                  由已知积分值与$a$无关,故积分对$a$求导为零。所以对$a$求导

                                   $f(a+b)-f(a)=0,$     
                  
                        令
                                    $a=1,b=x.$   

                     即有
                                    $f(1+x)=f(1)=1,$

                     由此可得
                                     $\therefore f(x)=1.$





二维码

扫码加我 拉你入群

请注明:姓名-公司-职位

以便审核进群资格,未注明则拒绝

2020-10-19 16:12:21
上海交通大学2013年数学分析试题
6.png

证明:
                         $\displaystyle \because f''(x)> 0,\therefore f'(x)\uparrow ,$

                         $\displaystyle \Rightarrow f'(x)\geq f'(0),(x> 0)$

                          $\displaystyle \because \lim_{x\to 0}\frac{f(x)}{x}=\lim_{x\to 0}f'(x)=f'(0)=1,$

                         $\displaystyle \Rightarrow f'(x)\geq f'(0)=1,$

                求积
                         $\displaystyle \int_{0}^{x}f'(x)\geq x,$

                         $\displaystyle \therefore f(x)\geq x.$


二维码

扫码加我 拉你入群

请注明:姓名-公司-职位

以便审核进群资格,未注明则拒绝

2020-10-19 16:12:50
上海交通大学2013年数学分析试题
7.png

解:
                    令
                           $\begin{cases}
u & =2x \\
v &= y\\
w & =z
\end{cases}\Rightarrow \begin{cases}
x & =\frac{1}{2}u \\
y &=v\\
z & =w
\end{cases}$

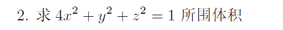
                而
                          $\displaystyle |\frac{\partial (x,y,z)}{\partial (u,v,w)}|=\frac{1}{2}.$

                          $\displaystyle \therefore V=\iiint_\Omega dV=\frac{1}{2}\iiint_\Omega dudvdw=\frac{1}{2}\cdot \frac{4}{3}\pi=\frac{2}{3}\pi.$




二维码

扫码加我 拉你入群

请注明:姓名-公司-职位

以便审核进群资格,未注明则拒绝

2020-10-19 16:13:14
上海交通大学2013年数学分析试题
8.png

证明:
                         $R(x)=\begin{cases}
\frac{1}{q} &,x=\frac{p}{q} \\
0 &, x=0,1,x\notin\mathbb{Q}
\end{cases}$

        因为Riemann函数在$[a,b]$上的无理数点均连续,在有理数点不连续。由于$[a,b]$上不连续点的测度为零,因此,Riemann函数在$[a,b]$上可积,且其积为零。

                     $\int_{a}^{b}R(x)dx=\lim_{|\pi|\rightarrow 0}\sum_{i=1}^{n}R(\xi_i)\Delta x_i=0.$

          其中$\xi_i$为分割上的任一无理数。


二维码

扫码加我 拉你入群

请注明:姓名-公司-职位

以便审核进群资格,未注明则拒绝

2020-10-19 16:13:39
上海交通大学2013年数学分析试题
9.png

证明
                                   
                                 $\displaystyle |\frac{\cos nx}{n^2+1}|\leq \frac{1}{n^2+1}\rightarrow 0,(n \to \infty )$

                     所以,级数一致收敛。根据级数一致收敛的性质,和函数的导数等于级数导数的和。由于

                                    $\displaystyle (\frac{\cos nx}{n^2+1})'=-\frac{n\sin nx}{n^2+1},$

                          显然  $\sin nx$一致有界,而
     
                                       $\displaystyle \frac{n}{n^2+1}\rightarrow 0,(n \to \infty )$

                         由此,根据Dirichlet判别法,导函数的级数和一致收敛。故级数连续可导。




二维码

扫码加我 拉你入群

请注明:姓名-公司-职位

以便审核进群资格,未注明则拒绝

2020-10-19 16:14:05
上海交通大学2013年数学分析试题
10.png

证明
                     $\displaystyle \lim_{\alpha \rightarrow 0}\int_{0}^{+\infty }f(\frac{\alpha }{x})g(x)dx=\lim_{\alpha \rightarrow 0}\int_{0}^{n}f(\frac{\alpha }{x})g(x)dx+\lim_{\alpha \rightarrow 0}\int_{n}^{+\infty }f(\frac{\alpha }{x})g(x)dx.$

                     $\displaystyle \because n>N,s.t.\int_{0}^{n}g(x)< \infty ,|f(x)|\leq M,f(0)=0,$

           所以,
                     $\displaystyle \lim_{\alpha \rightarrow 0}\int_{0}^{n}f(\frac{\alpha }{x})g(x)dx$

              一致收敛。所以积分和极限可以交换次序。

                    $\displaystyle \lim_{\alpha \rightarrow 0}\int_{0}^{n}f(\frac{\alpha }{x})g(x)dx=\int_{0}^{n}\lim_{\alpha \rightarrow 0}f(\frac{\alpha }{x})g(x)dx=0.$

           而
                     $\displaystyle \because |\lim_{\alpha \rightarrow 0}\int_{n}^{+\infty }f(\frac{\alpha }{x})g(x)dx|\leq M|\lim_{\alpha \rightarrow 0}\int_{n}^{+\infty }g(x)dx|=0,$

                      $\displaystyle \therefore \lim_{\alpha \rightarrow 0}\int_{n}^{+\infty }f(\frac{\alpha }{x})g(x)dx=0.$

                    $\displaystyle \Rightarrow \lim_{\alpha \rightarrow 0}\int_{0}^{+\infty }f(\frac{\alpha }{x})g(x)dx=0.$


注:这道题出的很好,有原创性。是有关“带有积分的极限”典型题。



二维码

扫码加我 拉你入群

请注明:姓名-公司-职位

以便审核进群资格,未注明则拒绝

栏目导航
热门文章
推荐文章

说点什么

分享

扫码加好友,拉您进群
各岗位、行业、专业交流群