全部版块 我的主页
论坛 经济学论坛 三区 微观经济学 经济金融数学专区
2020-10-31 10:30:48
广西民族大学2020年601数学分析
4.png

解:
                 $\displaystyle x=\frac{1}{2}+r\cos \theta ,y=\frac{1}{2}+r\sin \theta ,$

                  $\displaystyle |J|=|\frac{\partial (x,y)}{\partial(r,\theta )}|=r,$

                   $\begin{align*}I&=\iint_D(x+y) dxdy\\\\&=\int_{0}^{2\pi}d\theta \int_{0}^{\frac{\sqrt{2}}{2}}(1+r\cos \theta +r\sin \theta )rdr\\\\&=2\pi\int_{0}^{\frac{\sqrt{2}}{2}}rdr=\frac{\pi}{2}.\end{align*}$



二维码

扫码加我 拉你入群

请注明:姓名-公司-职位

以便审核进群资格,未注明则拒绝

2020-10-31 10:31:16
广西民族大学2020年601数学分析
5.png

证明:
          (1)、由已知
                                        $\displaystyle \because |f'(x)|\leq M.$

                      再由Lagrange中值定理,有
                                          $\displaystyle \forall \epsilon > 0,\forall x_1,x_2\in (a,b),\exists \delta=\frac{\epsilon }{M} > 0,|x_1-x_2|< \delta ,s.t.$

                                          $\displaystyle |f(x_1)-f(x_2)|=|f'(\xi)(x_1-x_2)|< M\delta < \epsilon .(\xi\in (x_1,x_2))$

                          因此,$f(x)$在$(a,b)$上一致连续。

          (2)、错误。反例
                                          $\displaystyle f(x)=x^{\frac{1}{3}},x\in (-1,1)$

                            函数在所给开区间内可微,且一致连续。而其导函数
                                           $\displaystyle f'(x)=\frac{1}{3}x^{-\frac{2}{3}},f(0)=\infty .$

                             在零点无界。



二维码

扫码加我 拉你入群

请注明:姓名-公司-职位

以便审核进群资格,未注明则拒绝

2020-10-31 10:31:47
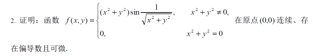
广西民族大学2020年601数学分析
6.png

证明:
                    因为
                               $\displaystyle \lim_{(x,y)\rightarrow (0,0)}f(x,y)=\lim_{(x,y)\rightarrow (0,0)}(x^2+y^2)\sin \frac{1}{\sqrt{x^2+y^2}}=0=f(0,0).$

                  所以,函数在原点连续。又因为在原点偏导数
                                 $\displaystyle \frac{\partial f(x,y)}{\partial x}=\lim_{x\rightarrow 0}\frac{f(x,0)-0}{x}=\lim_{x\rightarrow 0}\frac{x^2}{x}\sin \frac{1}{\sqrt{x^2}}=0.$

                                 $\displaystyle \frac{\partial f(x,y)}{\partial y}=\lim_{x\rightarrow 0}\frac{f(0,y)-0}{y}=\lim_{x\rightarrow 0}\frac{y^2}{y}\sin \frac{1}{\sqrt{y^2}}=0.$

                故在原点偏导数均存在,从而在定义域上偏导数均存在。由
                                  $\displaystyle df(x,y)=\frac{\partial f}{\partial x}dx+\frac{\partial f}{\partial y}dy.$

                       可知,因为偏导数均存在,从而可微。



               

二维码

扫码加我 拉你入群

请注明:姓名-公司-职位

以便审核进群资格,未注明则拒绝

2020-10-31 10:32:17
广西民族大学2020年601数学分析
7.png

证明
                          $\displaystyle \because f'(x)> 0,f'(x)\uparrow,$

              由中值定理
                        $\displaystyle \therefore \forall x,x_0\in [1,+\infty ),\xi\in (x_0,x),s.t.$

                        $\displaystyle f(x)-f(x_0)=f'(\xi)(x-x_0)\geq f'(x_0)(x-x_0)\rightarrow +\infty ,(x\rightarrow +\infty )$

                即
                          $\displaystyle \lim_{x\rightarrow +\infty }f(x)=+\infty .$



二维码

扫码加我 拉你入群

请注明:姓名-公司-职位

以便审核进群资格,未注明则拒绝

2020-10-31 10:32:49
广西民族大学2020年601数学分析
8.png

证明 :
                   $\displaystyle \because x_{2n-1}=\frac{1}{n}\rightarrow 0,(n\rightarrow \infty ),$   

                                 $\displaystyle x_{2n}=\int_{n}^{n+1}\frac{1}{x}dx=\ln(1+\frac{1}{n})\sim \frac{1}{n}\rightarrow 0,(n\rightarrow \infty ).$

               且
                                    $\displaystyle x_{2n-1}> x_{2n}.$

                      所以,交叉级数收敛。


二维码

扫码加我 拉你入群

请注明:姓名-公司-职位

以便审核进群资格,未注明则拒绝

2020-10-31 10:33:21
广西民族大学2020年601数学分析
9.png

证明
                    因为$f_1(x)$可积,所以
                                          $\displaystyle \exists M> 0,|f_1(x)|\leq M,$

                             因而
                                           $\displaystyle |f_2(x)|=|\int_{a}^{x}f_1(x)dx|\leq \int_{a}^{x}|f_1(x)|dx\leq M(x-a),$

                                           $\displaystyle |f_3(x)|=|\int_{a}^{x}f_2(x)dx|\leq \int_{a}^{x} M(x-a)dx=\frac{M}{2!}(x-a)^2,$

                                                 $\displaystyle \cdots $

                                          $\displaystyle \therefore  |f_{n}(x)|=|\int_{a}^{x}f_{n-1}(x)dx|\leq \frac{M}{(n-1)!}(x-a)^{n-1},$

                          由
                                        $\displaystyle \underset{[a,b]}{\sup} |f_{n}(x)-0|\leq \frac{M}{(n-1)!}(x-a)^{n-1}\rightarrow 0,(n \to \infty )$

                         所以,$\displaystyle f_{n}(x)$一致收敛于$0$。



                                 
二维码

扫码加我 拉你入群

请注明:姓名-公司-职位

以便审核进群资格,未注明则拒绝

2020-11-2 08:09:20
求极限
             $\displaystyle \lim_{x\rightarrow \infty }(\sqrt[2020]{x^{2020}+x^{2019}}-\sqrt[2020]{x^{2020}-x^{2019}}).$


             $\begin{align*}I&=\lim_{x\rightarrow \infty }(\sqrt[2020]{x^{2020}+x^{2019}}-\sqrt[2020]{x^{2020}-x^{2019}})\\\\&=\lim_{x\rightarrow \infty }x(\sqrt[2020]{1+\frac{1}{x}}-\sqrt[2020]{1-\frac{1}{x}})\\\\&=\lim_{x\rightarrow \infty }x(1+\frac{1}{2020x}+o(\frac{1}{x})-1+\frac{1}{2020x}-o(\frac{1}{x}))\\\\&=\frac{1}{1010}.\end{align*}$



二维码

扫码加我 拉你入群

请注明:姓名-公司-职位

以便审核进群资格,未注明则拒绝

2020-11-3 20:02:55
同济大学2020年数学分析考研真题
1.png


                   $\displaystyle \because \lim_{x\rightarrow 0}f(x^2)=f(0)=1,$

                   $\begin{align*}\therefore I&=\lim_{x\rightarrow 0}\frac{\int_{0}^{x^2}(x-\sqrt{t})f(t)dt}{x^2\ln(1+x)}\\\\&=\lim_{x\rightarrow 0}\frac{x\int_{0}^{x^2}f(t)dt-\int_{0}^{x^2}\sqrt{t}f(t)dt}{x^3-\frac{1}{2}x^4++\frac{1}{3}x^5+o(x^5)}\\\\&=\lim_{x\rightarrow 0}\frac{\int_{0}^{x^2}f(t)dt+2x^2\cdot xf(x^2)-2x^2f(x^2)}{3x^2-2x^3+\frac{5}{3}x^4+o(x^4)}\\\\&=\lim_{x\rightarrow 0}\frac{2xf(x^2)+6x^2f(x^2)+4x^4f'(x^2)-4xf(x^2)-4x^3f'(x^2)}{3x^2-2x^3+\frac{5}{3}x^4+o(x^4)}\\\\&=2f(0)=2.\end{align*}$


二维码

扫码加我 拉你入群

请注明:姓名-公司-职位

以便审核进群资格,未注明则拒绝

2020-11-3 20:03:18
同济大学2020年数学分析考研真题
2.png

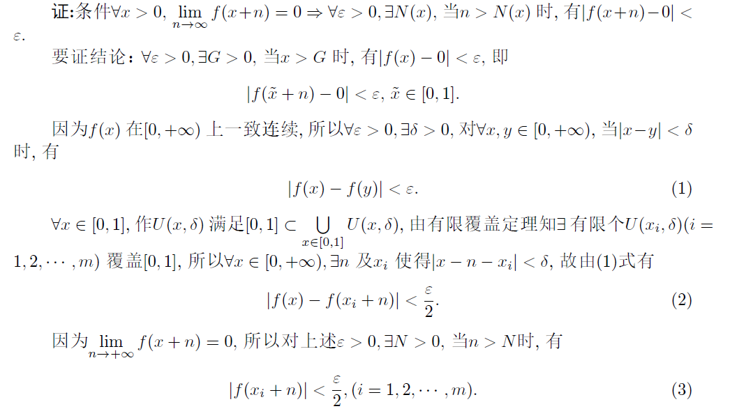
证明:采用致密性定理证明。反证法。

                假设连续函数在有限半区间上无界,即有
                                    $\forall n\in \mathbb{N},\exists x_n\in [a,b],|f(x_n)|> n,$

                       取$n=1,2,3\cdots $,得到一个无穷点列$\{x_n\}.$有界。而由致密性定理知,有界无穷点列必能取出一个收敛子列$\{x_{n_k}\}.$即有
                                    $x_{n_k}\rightarrow x_0,(n_k\rightarrow \infty )$

                            此时
                                      $x_n\in [a,b]\Rightarrow x_0\in[a,b],$
                              
                          又
                                       $\because f(x_n)\rightarrow \infty ,(n \to \infty )$
      
                                       $\therefore f(x_{n_k})\rightarrow \infty ,(n_k \to \infty )$
                           
                       因为$f(x)$连续,所以有
                                         $\displaystyle \lim_{k\to \infty }f(x_{n_k})=f(x_0).$

                         由假设知,上式有界。与前面结论矛盾。所以有连续函数在有限半区间上有界。



二维码

扫码加我 拉你入群

请注明:姓名-公司-职位

以便审核进群资格,未注明则拒绝

2020-11-3 20:03:42
同济大学2020年数学分析考研真题
3.png

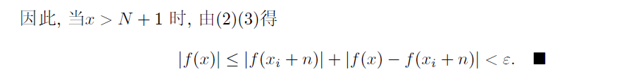
证明
                   此题相当于由条件
                                                 $\displaystyle \lim_{n \to \infty }f(x+n)=0,$

                         推知   
                                                 $\displaystyle \lim_{x \to \infty }f(x)=0.$
1.png
2.png



二维码

扫码加我 拉你入群

请注明:姓名-公司-职位

以便审核进群资格,未注明则拒绝

2020-11-3 20:04:10
同济大学2020年数学分析考研真题
4.png
解:
                 函数$\displaystyle y=\frac{1}{x^p}$绕$x$轴旋转体的体积为
                                 $\displaystyle V=\int_{0}^{+\infty }\frac{1}{x^{2p}}dx=\frac{1}{1-2p}x^{1-2p}|_0^{+\infty },$

                       要使体积有限,
                                 $\displaystyle \therefore p< \frac{1}{2},V< \infty .$

                  而此时该旋转体的表面积为
                                $\displaystyle S=\int_{0}^{+\infty }\sqrt{1+\frac{p^2}{x^{2(p+1)}}}dx> \int_{0}^{+\infty }\frac{p}{x^{p+1}}dx+\int_{1}^{+\infty }\frac{p}{x^{p+1}}dx=\infty .$

               


二维码

扫码加我 拉你入群

请注明:姓名-公司-职位

以便审核进群资格,未注明则拒绝

2020-11-3 20:04:40
同济大学2020年数学分析考研真题
5.png

解:
              椭球面在$P_0(x_0,y_0,z_0)$处的切平面为
                                               $\displaystyle \frac{xx_0}{a^2}+\frac{yy_0}{b^2}+\frac{zz_0}{c^2}=1,$

                           由题设
                                              $\displaystyle f(p)=\frac{\displaystyle (\frac{xx_0}{a^2}+\frac{yy_0}{b^2}+\frac{zz_0}{c^2}-1)^2}{\displaystyle \frac{x_0^2}{a^4}+\frac{y_0^2}{b^4}+\frac{z_0^2}{c^4}},$

                         令
                                               $\displaystyle Q=\frac{x_0^2}{a^4}+\frac{y_0^2}{b^4}+\frac{z_0^2}{c^4},$
                        由此,并利用积分的奇偶性
                                             $\begin{align*}I&=\int_\Omega f(p)dV\\\\&=\frac{1}{Q}\int_\Omega (\frac{xx_0}{a^2}+\frac{yy_0}{b^2}+\frac{zz_0}{c^2}-1)^2dV\\\\&=\frac{1}{Q}\int_\Omega (\frac{(xx_0)^2}{a^4}+\frac{(yy_0)^2}{b^4}+\frac{(zz_0)^2}{c^4}+1)dV\\\\&=\frac{1}{Q}\int_\Omega (\frac{(xx_0)^2}{a^4}+\frac{(yy_0)^2}{b^4}+\frac{(zz_0)^2}{c^4})dV+\frac{1}{Q}\int_\Omega dV,\end{align*}$

                注意到
                                             $\displaystyle \frac{y^2}{b^2}+\frac{z^2}{c^2}\leq 1-\frac{x^2}{a^2}$


                    所以
                                              $\begin{align*}\int_\Omega \frac{(xx_0)^2}{a^4}dV&=\frac{x_0^2}{a^4}\int_\Omega x^2dV\\\\&=\frac{2x_0^2}{a^4}\int_{0}^{a} x^2dx\iint_{D_{yz}}dS\\\\&=\frac{2x_0^2}{a^4}\int_{0}^{a} x^2\cdot \pi bc(1-\frac{x^2}{a^2})dx\\\\&=\frac{4}{15a}\pi bcx_0^2.\end{align*}$

                    同理有
                                              $\displaystyle \int_\Omega \frac{(yy_0)^2}{b^4}dV=\frac{4}{15b}\pi acy_0^2.$

                                               $\displaystyle \int_\Omega \frac{(zz_0)^2}{c^4}dV=\frac{4}{15c}\pi abz_0^2.$

                            而
                                                $\displaystyle \int_\Omega dV=\frac{4}{3}\pi abc.$

                             所以
                                            $\displaystyle I=\frac{\displaystyle \frac{4}{15a}\pi bcx_0^2+\frac{4}{15b}\pi acy_0^2+\frac{4}{15c}\pi abz_0^2+\frac{4}{3}\pi abc}{\displaystyle \frac{x_0^2}{a^4}+\frac{y_0^2}{b^4}+\frac{z_0^2}{c^4}}.$



二维码

扫码加我 拉你入群

请注明:姓名-公司-职位

以便审核进群资格,未注明则拒绝

2020-11-3 20:05:06
同济大学2020年数学分析考研真题
6.png

QQ图片20201108093759.png


                                         微信公众号:“考研竞赛智慧e数学”



二维码

扫码加我 拉你入群

请注明:姓名-公司-职位

以便审核进群资格,未注明则拒绝

2020-11-3 20:05:35
同济大学2020年数学分析考研真题
7.png

解:此处幂级数应为:$\displaystyle \sum_{n=1}^{\infty }a_nx^n,$

           由已知
                                 $\displaystyle \because a_{n+1}=a_n+\frac{1}{(n+1)!},$

                                  $\displaystyle \therefore a_{n+1}> a_n,$

                  由            
                                $\displaystyle |a_{n+1}- a_n|\rightarrow 0,(n \to \infty )$

                      根据柯西准则,有
                                   $\displaystyle \sum_{n=1}^{\infty }a_n< \infty ,$

                           因为
                                    $\displaystyle R=|\frac{a_n}{a_{n+1}}|=1,(n \to \infty )$

                           当$x=1$时,由上面讨论知道,级数收敛。

                           当$x=-1$时,有
                                     $\displaystyle \sum_{n=1}^{\infty }a_nx^n\leq \sum_{n=1}^{\infty }|a_nx^n|\leq\sum_{n=1}^{\infty }a_n< \infty ,$

                                      $\displaystyle \therefore x\in [-1,1]$

                               设
                                      $\displaystyle S_1=1+x+x^2+\cdots =\frac{1}{1-x}.$

                             则有
                                       $\displaystyle \sum_{n=1}^{\infty }a_nx^n=xS_1+\frac{1}{2!}x^2S_1+\frac{1}{3!}x^3S_1+\cdots =S_1(e^x-1)=\frac{e^x-1}{1-x}.$




二维码

扫码加我 拉你入群

请注明:姓名-公司-职位

以便审核进群资格,未注明则拒绝

2020-11-3 20:06:03
同济大学2020年数学分析考研真题
8.png

解:前半题证明唯一性,直接求即可(?)
       求极值。函数有最值,而无极值。

                             $\because e^x\geq 0,2x^2\geq 0,y^2\geq 0,$

                   而
                              $e^{-x}+2(-x)^2=1-x+\frac{1}{2}x^2+2(-x)^2=1+(\frac{5}{2}x^2-x)>1.$

                               $\therefore x=y=0,z_{\max}=0.$

                 很显然,最小值为负无穷大。



二维码

扫码加我 拉你入群

请注明:姓名-公司-职位

以便审核进群资格,未注明则拒绝

2020-11-3 20:06:31
同济大学2020年数学分析考研真题
9.png


                                 $\displaystyle \because |\cos(rx)|\leq 1,$

                    且
                                 $\displaystyle \int_{0}^{+\infty }e^{-x^2}=\frac{\sqrt{\pi}}{2},$

                                  $\displaystyle \therefore \phi (r)=\int_{0}^{+\infty }e^{-x^2}\cos(rx)dx< \infty .$

                                  $\displaystyle \Rightarrow x\in[0,+\infty),$

                   由定义工求导,
                                  $\phi'(r)=\int_{0}^{+\infty }-xe^{-x^2}\sin(rx)dx=\frac{1}{2}e^{-x^2}\sin(rx)|_0^{+\infty }-\frac{1}{2}\int_{0}^{+\infty }re^{-x^2}\cos(rx)dx=\frac{1}{2}r\phi (r).$

                     再求解上面的微分方程,得到
                                       $\displaystyle \ln\phi (r)=\frac{1}{4}r^2,$

                                        $\displaystyle \therefore \phi(r)=e^{\frac{1}{4}r^2}+C,$

                         由定义式可知,有
                                         $\displaystyle \because \phi(0)=\int_{0}^{+\infty }e^{-x^2}=\frac{\sqrt{\pi}}{2},$

                                          $\displaystyle \therefore C=\frac{\sqrt{\pi}}{2}-1,$

                                      $\displaystyle \Rightarrow \phi(r)=e^{\frac{1}{4}r^2}+\frac{\sqrt{\pi}}{2}-1.$



                                         
二维码

扫码加我 拉你入群

请注明:姓名-公司-职位

以便审核进群资格,未注明则拒绝

2020-11-10 07:47:45
陕西师范大学2020年数学分析试题
1.png

                    $\begin{align*}I&=\lim_{n \to \infty }\frac{\sqrt[n]{(n+1)(n+2)\cdots (n+n)}}{n}\\\\&=\lim_{n \to \infty }\sqrt[n]{(1+\frac{1}{n})(1+\frac{2}{n})\cdots (1+\frac{n}{n})}\\\\&=\lim_{n \to \infty }e^{\displaystyle \frac{1}{n}[\ln(1+\frac{1}{n})+\ln(1+\frac{2}{n})+\cdots +\ln(1+\frac{n}{n})]}\\\\&=e^{\displaystyle \int_{0}^{1}\ln(1+x)dx}\\\\&=e^{\displaystyle 2\ln2-1}.\end{align*}$



二维码

扫码加我 拉你入群

请注明:姓名-公司-职位

以便审核进群资格,未注明则拒绝

2020-11-10 07:48:11
陕西师范大学2020年数学分析试题
2.png

解:
             这是一道常考题。因为函数可微,可求导。

                               $\displaystyle \because \lim_{n \to\infty}\frac{f(\frac{k}{n^2})-f(0)}{\frac{k}{n^2}} =f'(0),\xi_k\in(0,\frac{k}{n^2}),k=1,2,\cdots ,n$

                                $\displaystyle \therefore (f'(0)-\epsilon)\frac{k}{n^2}< f(\frac{k}{n^2})< \frac{k}{n^2}(f'(0)+\epsilon),$

                     从而得
                                 $\displaystyle (f'(0)-\epsilon)\lim_{n \to \infty }\sum_{k=1}^{n}\frac{k}{n^2}< \lim_{n \to \infty }\sum_{k=1}^{n}f(\frac{k}{n^2})< \lim_{n \to \infty }\sum_{k=1}^{n}\frac{k}{n^2}(f'(0)+\epsilon),$

                                  $\displaystyle \Rightarrow \lim_{n \to \infty }\sum_{k=1}^{n}f(\frac{k}{n^2})=\frac{1}{2}f'(0).$



二维码

扫码加我 拉你入群

请注明:姓名-公司-职位

以便审核进群资格,未注明则拒绝

2020-11-10 07:48:39
陕西师范大学2020年数学分析试题
3.png

解:
                  由分子分母比值的极限关系,可知有
                                $\displaystyle \lim_{x\rightarrow 0}(bx-\sin x)=0,\Rightarrow b=1,$

                 代入原极限关系式,由罗必塔法则和泰勒公式得
                                 $\begin{align*}\lim_{x\rightarrow 0}\frac{1}{x-\sin x}\int_{0}^{x}\frac{t^2}{\sqrt{a+t^2}}dt&=\lim_{x\rightarrow 0}\frac{\frac{x^2}{\sqrt{a+x^2}}}{1-\cos x}\\\\&=\lim_{x\rightarrow 0}\frac{x^2}{\sqrt{a}\cdot (\frac{1}{2!}x^2+o(x^2))}\\\\&=\frac{2}{\sqrt{a}}=1.\end{align*}$

                                  $\displaystyle \Rightarrow a=4.$



二维码

扫码加我 拉你入群

请注明:姓名-公司-职位

以便审核进群资格,未注明则拒绝

2020-11-10 07:49:05
陕西师范大学2020年数学分析试题
4.png

解:
               由
                       $\displaystyle \sum_{n=0}^{\infty }\frac{x^n(n+1)}{n!} =(x\sum_{n=0}^{\infty }\frac{x^n}{n!} )'=(xe^x)'=(x+1)e^x.$

                      令$x=2,$即有

                          $\displaystyle \sum_{n=0}^{\infty }\frac{2^n(n+1)}{n!}=3e^3.$




二维码

扫码加我 拉你入群

请注明:姓名-公司-职位

以便审核进群资格,未注明则拒绝

2020-11-10 07:49:29
陕西师范大学2020年数学分析试题
5.png

解:
                     因为
                               $\displaystyle P=\frac{1+y^2f(xy)}{y},Q=\frac{x}{y^2}(y^2f(xy)-1),$

                                $\displaystyle \frac{\partial P}{\partial y}=\frac{\partial Q}{\partial x}=\frac{y^2f(xy)+xy^3f'(xy)-1}{y^2},$

                因此积分与路径无关。故
                                $\begin{align*}I&=\int_L=\int_{(3,\frac{2}{3})}^{(1,\frac{2}{3})}\frac{1+(\frac{2}{3})^2f(\frac{2}{3}x)}{\frac{2}{3}}dx+\int_{(1,\frac{2}{3})}^{(1,2)}\frac{y^2f(y)-1}{y^2}dx\\\\&=\frac{3}{2}(-2)+\frac{2}{3}\int_{1}^{3}f(\frac{2}{3}x)dx+\int_{\frac{2}{3}}^{2}f(y)dy-\int_{\frac{2}{3}}^{2}\frac{1}{y^2}dy\\\\&=-4.\end{align*}$

             其中,由换元法可知:
                                  $\displaystyle \frac{2}{3}\int_{1}^{3}f(\frac{2}{3}x)dx+\int_{\frac{2}{3}}^{2}f(y)dy=0.$



二维码

扫码加我 拉你入群

请注明:姓名-公司-职位

以便审核进群资格,未注明则拒绝

2020-11-10 07:49:55
陕西师范大学2020年数学分析试题
6.png

解:
                  用高斯公式,并适时进行变量代换,计算得

                            $\begin{align*}I&=\iint_\Sigma x(y^2+z^2)dydz=\iiint_\Omega (y^2+z^2)dxdydz\\\\&=\iint_D(y^2+z^2)dydz\int_{-\sqrt{R^2-y^2-z^2}}^{\sqrt{R^2-y^2-z^2}}dx\\\\&=2\iint_D(y^2+z^2)\sqrt{R^2-y^2-z^2}dydz\\\\&=2\int_{0}^{2\pi}d\theta \int_{0}^{R}r^2\sqrt{R^2-r^2}\cdot rdr\\\\&=4\pi\int_{0}^{R}r^3\sqrt{R^2-r^2}dr\\\\&=4\pi R^5\int_{0}^{\frac{\pi}{2}}\cos^3t\sin^2tdt\\\\&=4\pi R^5\int_{0}^{\frac{\pi}{2}}(1-\sin^2t)\sin^2td\sin t\\\\&=4\pi R^5\cdot \frac{2}{15}\\\\&=\frac{8}{15}\pi R^5.(r=R\cos t)\end{align*}$



二维码

扫码加我 拉你入群

请注明:姓名-公司-职位

以便审核进群资格,未注明则拒绝

2020-11-10 07:50:21
陕西师范大学2020年数学分析试题
7.png

解:
                         $\displaystyle \because (1-\frac{\sin x}{x})^{-\frac{1}{3}}-1\sim \frac{1}{3}\cdot \frac{\sin x}{x},$

              而
                           $\displaystyle \int_{0}^{+\infty }\frac{\sin x}{x}dx< \infty ,$

                           $\displaystyle \therefore \int_{0}^{+\infty }((1-\frac{\sin x}{x})^{-\frac{1}{3}}-1)dx< \infty .$

                 又
                            $\displaystyle \because |\frac{\sin x}{x}|\geq \frac{\sin ^2x}{x}=\frac{1-\cos^2x}{x}\geq \frac{1}{x},$

                            $\displaystyle \therefore \int_{0}^{+\infty }|\frac{\sin x}{x}|dx=\infty .$

             因此,原积分收敛,并且非绝对收敛。





二维码

扫码加我 拉你入群

请注明:姓名-公司-职位

以便审核进群资格,未注明则拒绝

2020-11-10 07:50:46
陕西师范大学2020年数学分析试题
8.png


二维码

扫码加我 拉你入群

请注明:姓名-公司-职位

以便审核进群资格,未注明则拒绝

2020-11-10 07:51:11
陕西师范大学2020年数学分析试题
9.png

解:
                               $\displaystyle \because \int_{0}^{+\infty }\arctan xdx=\frac{\pi}{2}.$

                   又
                               $\displaystyle \int_{0}^{+\infty }\frac{1}{x^\alpha (2+x^3)}dx=\int_{0}^{1}\frac{1}{x^\alpha (2+x^3)}dx+\int_{1}^{+\infty }\frac{1}{x^\alpha (2+x^3)}dx,$

                       令
                               $\displaystyle x=\frac{1}{t},dx=-\frac{1}{t^2}dt,$

                      则
                               $\displaystyle \int_{0}^{1}\frac{1}{x^\alpha (2+x^3)}dx=\int_{1}^{+\infty }\frac{t^{\alpha +1}}{1+2t^3}dt\sim \int_{1}^{+\infty }t^{\alpha -2}dt,$

                         因而,根据反常积分收敛定理,当
                                       $\displaystyle \alpha -2+1< 0,\Rightarrow \alpha < 1.$

                            时,该积分一致收敛。从而该积分函数连续。对第二个积分有
                                       $\displaystyle \int_{1}^{+\infty }\frac{1}{x^\alpha (2+x^3)}dx\sim \int_{1}^{+\infty }\frac{1}{x^{\alpha+3}}dx,$

                         由此可知,根据反常积分收敛定理,当
                                        $\displaystyle \alpha+3-1> 0,\Rightarrow \alpha > -2.$
                        
                             时,第二个积分一致收敛。从而积分函数连续。

                          综上讨论,当
                                             $\displaystyle -2< \alpha < 1.$

                           时,参变量积分一致收敛,从而积分函数连续。
                       


                                   
二维码

扫码加我 拉你入群

请注明:姓名-公司-职位

以便审核进群资格,未注明则拒绝

2020-11-10 07:51:38
陕西师范大学2020年数学分析试题
10.png

证明
           (1)、
                                            $\displaystyle n=1,f_1(\frac{\pi}{2})-1=0,$
                    结论显然成立。

                   当$n\geq 2$时,有
                                        $\displaystyle f_n(x)=\frac{\sin x-\sin^nx}{1-\sin x},(n\geq 2)$

                               $\displaystyle \therefore f_n(\frac{\pi}{6})-1=\frac{\frac{1}{2}-(\frac{1}{2})^n}{1-\frac{1}{2}}-1\leq \frac{1}{2}-1< 0,$

                                        $\displaystyle f_n(\frac{\pi}{2})-1=n-1> 0,$

                       由连续函数的介值定理,此时
                                        $\displaystyle \exists x_n\in(\frac{\pi}{6},\frac{\pi}{2}],s.t.f_n(x_n)-1=0.$

                           又
                                       $\displaystyle \because f'_n(x)\geq 0,(x\in(\frac{\pi}{6},\frac{\pi}{2}])$

                                        $\displaystyle \therefore f_n(x)\uparrow .$
                            所以,此根是唯一的。

               (2)、
                                        $\displaystyle \because \sin x\leq 1,\uparrow .(x\in(\frac{\pi}{6},\frac{\pi}{2}])$

                                         $\displaystyle \Rightarrow x_n\downarrow ,(x_n\in(\frac{\pi}{6},\frac{\pi}{2}])$

                          由此可知,$x_n$极限存在。设
                                           $\displaystyle \lim_{n \to \infty }x_n=x,$

                               从而,有
                                         $\displaystyle \lim_{n \to \infty }f_n(x)-1=\lim_{n \to \infty }\frac{\sin x_n-\sin^nx_n}{1-\sin x_n}-1=\frac{\sin x}{1-\sin x}-1=0.$

                        解方程,得
                                          $\displaystyle \sin x=\frac{1}{2},\Rightarrow \lim_{n \to \infty }x_n=x=\frac{\pi}{6}.$



                        
二维码

扫码加我 拉你入群

请注明:姓名-公司-职位

以便审核进群资格,未注明则拒绝

2020-11-10 07:52:04
陕西师范大学2020年数学分析试题
11.png

证明
                由积分中值定理,得
                                      $\displaystyle f(1)=k\int_{0}^{\frac{1}{k}}xe^{1-x}f(x)dx=\eta e^{1-\eta }f(\eta ),\eta \in(0,\frac{1}{k})$

                        令
                                       $\displaystyle F(x)=xe^{1-x}f(x),$

                           则
                                        $\displaystyle F(1)=f(1)=\eta e^{1-\eta }f(\eta )=F(\eta ),$

                              而
                                        $\displaystyle F'(x)=e^{1-x}f(x)-xe^{1-x}f(x)+xe^{1-x}f'(x) ,$

                   由Rolle中值定理得
                                          $\displaystyle \exists \xi\in(\eta ,1)\subset (0,1),s.t.$

                                           $\displaystyle F'(\xi)=e^{1-\xi}f(\xi)-\xi e^{1-\xi}f(\xi)+\xi e^{1-\xi}f'(\xi)=0,$

                         整理
                                            $\displaystyle \therefore f'(\xi)=(1-\xi^{-1})f(\xi).$




二维码

扫码加我 拉你入群

请注明:姓名-公司-职位

以便审核进群资格,未注明则拒绝

2020-11-10 07:52:34
陕西师范大学2020年数学分析试题
12.png

证明
                              $\displaystyle \because f(-x)=f(x),f'(0)=f'_+(0)=f'_-(0),$

                              $\displaystyle \therefore f_+(0)=\lim_{x\to0^+}\frac{f(x)-f(0)}{x}=-\lim_{x\to0^+}\frac{f(-x)-f(0)}{-x}=-f'_-(0),$

                              $\displaystyle \Rightarrow f'(0)=0.$

            由Taylor展开公式,得
                              $\displaystyle f(x)=f(0)+f'(0)x+\frac{1}{2!}f''(0)x^2+o(x^2)=1+x^2+o(x^2).$

                   于是,有
                                $\displaystyle f(\frac{1}{n})-1=\frac{1}{n^2}+o(\frac{1}{n^2}).$

                       由级数
                                $\displaystyle \sum_{n=1}^{\infty }\frac{1}{n^2}$

                         的绝对收敛性,可知级数
                                $\displaystyle \sum_{n=1}^{\infty }[f(\frac{1}{n})-1]$

                            绝对收敛。


二维码

扫码加我 拉你入群

请注明:姓名-公司-职位

以便审核进群资格,未注明则拒绝

2020-11-10 07:53:17
陕西师范大学2020年数学分析试题
13a.png
13b.png

证明:
       (1)、由条件,可知
                                    $\begin{align*}|f_{n+p}(x)-f_{n}(x)|&=|\phi (f_{n+p-1}(x))-\phi(f_{n-1}(x))|\\\\&\leq \alpha |f_{n+p-1}(x)-f_{n-1}(x)|\\\\&\leq \cdots \\\\&\leq \alpha ^n|f_p(x)-f_0(x)|.\end{align*}$

                        又
                                    $\begin{align*}|f_p(x)-f_0(x)|&\leq |f_p(x)-f_{p-1}(x)|+|f_{p-1}(x)-f_{p-2}(x)|+\cdots +|f_1(x)-f_0(x)|\\\\&\leq (\alpha ^{p-1}+\alpha ^{p-2}+\cdots +1)|f_1(x)-f_0(x)|,\end{align*}$

                     因为$g (x)$连续有界,所以$f_1(x)=g (x)-\phi (f_0(x))$有界。由此可知
                                       $|f_1(x)-f_0(x)|\leq M,$
                        
                        故有
                                     $|f_{n+p}(x)-f_{n}(x)|\leq M\alpha ^n\frac{1-\alpha ^p}{1-\alpha }\rightarrow 0,(n \to \infty )$

                由柯西准则知,$\{f_{n+1}(x)\}$一致收敛。

         (2)、 只要证明$f(x)$ 在$[a,b]\subset (-\infty ,+\infty )$ 内连续即可。由(1)可知$f_n(x)$在$[a,b]$上一致收敛于$f(x)$。故只要证明$f_n(x)\in C[a,b]$即可。事实上$\forall x_0\in [a,b]\subset (-\infty ,+\infty )$,有
                                      $\begin{align*}|f_n(x)-f_n(x_0)|&=|g(x)+\phi(f_n(x))-g(x_0)-\phi(f_n(x_0))|\\\\&\leq |g(x)-g(x_0)|+\alpha |f_{n-1}(x)-f_{n-1}(x_0)|\\\\&\leq |g(x)-g(x_0)|+\alpha |g(x)-g(x_0)|+\alpha^2 |f_{n-2}(x)-f_{n-2}(x_0)|\\\\&\leq \cdots \leq (1+\alpha +\cdots +\alpha^{n-1})|g(x)-g(x_0)|+\alpha^n |f_{0}(x)-f_{0}(x_0)|\\\\&=\frac{1-\alpha ^n}{1-\alpha }|g(x)-g(x_0)|+\alpha^n |f_{0}(x)-f_{0}(x_0)|,\end{align*}$

                    由$g(x)$的连续有界性,知$g(x)$在$[a,b]$上一致收敛。即有
                                        $\frac{1-\alpha ^n}{1-\alpha }|g(x)-g(x_0)|\rightarrow 0,(n \to \infty )$
   
                             又
                                        $\alpha^n |f_{0}(x)-f_{0}(x_0)|\rightarrow 0,(n \to \infty ),$

                                         $\therefore |f_n(x)-f_n(x_0)|\rightarrow 0,(n \to \infty )$

                   所以结论成立。

            (3)、由(1)知
                                             $\lim_{n \to \infty }f_n(x)=f(x),$

                                         $\therefore \lim_{n \to \infty }f_{n+1}(x)=g(x)+\lim_{n \to \infty }\phi (f_n(x)),$

                                          $\Rightarrow f(x)=g(x)+\phi (f(x)),$

                            因此
                                            $\forall \epsilon > 0,\forall x_1,x_2\in (-\infty ,+\infty ),\exists \delta > 0,|x_1-x_2|< \delta ,s.t.$

                                             $|f(x_1)-f(x_2)|\leq |g(x_1)-g(x_2)|+\alpha |f(x_1)-f(x_2)|,$

                                       $\therefore |f(x_1)-f(x_2)|\leq \frac{1}{1-\alpha }|g(x_1)-g(x_2)|< \frac{\delta }{1-\alpha }=\epsilon ,$

                               由此知$f(x)$一致连续。



二维码

扫码加我 拉你入群

请注明:姓名-公司-职位

以便审核进群资格,未注明则拒绝

2020-11-10 07:53:43
陕西师范大学2020年数学分析试题
14.png

证明:
                一致连续性判别定理:f(x)在区间I上连续,且f ' (x) 在I上有界 则f(x)在I上一致连续。

                            $\displaystyle f(x)=\sum_{n=1}^{\infty }x^{en}\ln x=\frac{x^{e}}{1-x^e}\ln x,$

                   在$(0,1)$上连续。而
                              $\begin{align*}f'(x)&=\frac{ex^{e-1}(1-x^e)+ex^{2e-1}}{(1-x^e)^2}\ln x+\frac{x^{e}}{1-x^e}\cdot \frac{1}{x}\\\\&=\frac{ex^{e-1}}{(1-x^e)^2}\ln x-\frac{1}{x}+\frac{1}{x(1-x^e)}\\\\&\rightarrow \infty ,(x\rightarrow 0,x\rightarrow 1)\end{align*}$

                   无界。因此,函数项级数非一致收敛。


二维码

扫码加我 拉你入群

请注明:姓名-公司-职位

以便审核进群资格,未注明则拒绝

栏目导航
热门文章
推荐文章

说点什么

分享

扫码加好友,拉您进群
各岗位、行业、专业交流群