立即打开
代码包括
应计盈余管理
1. 基本Jones模型
2. 修正Jones模型
3. 无形资产Jones模型
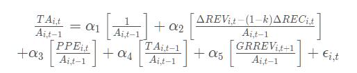
4. 前瞻性修正Jones模型
5. 现金流量Jones模型
6. 收益匹配Jones模型
7. 非线性Jones模型
真实盈余管理
扫码加我 拉你入群
请注明:姓名-公司-职位
以便审核进群资格,未注明则拒绝
全部回复
扫码加我 拉你入群
请注明:姓名-公司-职位
以便审核进群资格,未注明则拒绝
扫码加我 拉你入群
请注明:姓名-公司-职位
以便审核进群资格,未注明则拒绝
扫码加我 拉你入群
请注明:姓名-公司-职位
以便审核进群资格,未注明则拒绝
baby01 发表于 2020-10-29 17:05 
已购买,有数据吗
这个只有代码没有数据
扫码加我 拉你入群
请注明:姓名-公司-职位
以便审核进群资格,未注明则拒绝
扫码加我 拉你入群
请注明:姓名-公司-职位
以便审核进群资格,未注明则拒绝
相关推荐
栏目导航
热门文章
推荐文章
扫码加好友,拉您进群