全部版块 我的主页
论坛 经济学论坛 三区 微观经济学 经济金融数学专区
2020-12-5 20:17:44
四川师范大学2019数学分析
2.png

证明:
                由Young不等式,得
                         $\begin{align*}\int_{a}^{b}f(x)dx\int_{a}^{b}\frac{dx}{f(x)}&=\int_{a}^{b}(\sqrt{f(x)})^2dx\int_{a}^{b}(\frac{1}{\sqrt{f(x)}})^2dx\\\\&\geq [\int_{a}^{b}\sqrt{f(x)}\cdot \frac{1}{\sqrt{f(x)}}dx]^2\\\\&=(b-a)^2.\end{align*}$


二维码

扫码加我 拉你入群

请注明:姓名-公司-职位

以便审核进群资格,未注明则拒绝

2020-12-5 20:18:13
四川师范大学2019数学分析
3.png

证明:
                   因为$f(x)$在$(a,b)$上一致连续,因此
                                    $\forall \epsilon > 0,\forall x_1,x_2\in (a,a+\delta ),\exists \delta > 0,|x_1-x_2|< \delta ,s.t.$

                                      $|f(x_1)-f(x_2)|< \epsilon $

                      由柯西准则,必有
                                     $\lim_{x\to a^+}f(x).$


二维码

扫码加我 拉你入群

请注明:姓名-公司-职位

以便审核进群资格,未注明则拒绝

2020-12-5 20:18:43
四川师范大学2019数学分析
4.png
解:
                  令
                              $\displaystyle f_n(x)=\sum_{k=0}^{n-1}xe^{-kx}=x\cdot \frac{1-e^{-nx}}{1-e^{-x}},$

                          则有
                                 $\displaystyle f(x)=\lim_{n \to \infty }f_n(x)=\frac{xe^x}{e^x-1}.$

                                 $\displaystyle f(0)=\lim_{x\to 0}\frac{xe^x}{e^x-1}=1.$
                         由此可知
                                 $\displaystyle \lim_{n \to \infty }\underset{x\in[0,1]}{\sup} |f_n(x)-f(x)|\geq \lim_{n \to \infty }|f_n(\frac{1}{n})-f(0)|=\lim_{n \to \infty }|\frac{1}{n}-1|=1\neq 0.$

                         所以,级数不一致收敛。


二维码

扫码加我 拉你入群

请注明:姓名-公司-职位

以便审核进群资格,未注明则拒绝

2020-12-5 20:19:14
四川师范大学2019数学分析
5.png

解:
                                $\displaystyle \lim_{n \to \infty }(\frac{\sqrt[n]{a}+\sqrt[n]{b}}{2})^n=\lim_{n \to \infty }(1+\frac{\sqrt[n]{a}+\sqrt[n]{b}-2}{2})^n,$

                     而
                                  $\displaystyle \sqrt[n]{a}-1=e^{\frac{1}{n}\ln a}-1=\frac{1}{n}\ln a+o(\frac{1}{n}),$

                                  $\displaystyle \sqrt[n]{b}-1=e^{\frac{1}{n}\ln b}-1=\frac{1}{n}\ln b+o(\frac{1}{n}),$

                       在此有
                                 $\begin{align*}\lim_{n \to \infty }(\frac{\sqrt[n]{a}+\sqrt[n]{b}}{2})^n&=\lim_{n \to \infty }(1+\frac{\ln a+\ln b}{2n})^n\\\\&=\lim_{n \to \infty }(1+\frac{\ln ab}{2n})^{\displaystyle \frac{2n}{\ln ab}\cdot \frac{\ln ab}{2}}\\\\&=e^{\displaystyle \frac{\ln ab}{2}}.\end{align*}$


二维码

扫码加我 拉你入群

请注明:姓名-公司-职位

以便审核进群资格,未注明则拒绝

2020-12-5 20:19:46
四川师范大学2019数学分析
6.png

证明:
                      令
                                 $\displaystyle F(x)=e^xf(x),$

                         于是
                                   $\displaystyle F(x_1)=0,F(x_2)=0,$

                           由Rolle定理,得
                                       $\displaystyle \exists \xi\in (x_1,x_2),s.t.$

                                        $\displaystyle F'(\xi)=e^{\xi}f(\xi)+e^{\xi}f'(\xi)=0.$

                                      $\displaystyle \therefore f(\xi)+f'(\xi)=0.$




二维码

扫码加我 拉你入群

请注明:姓名-公司-职位

以便审核进群资格,未注明则拒绝

2020-12-5 20:20:15
四川师范大学2019数学分析
7.png

解:
                                $\displaystyle y'=\frac{-2x}{1-x^2},$

                               $\begin{align*}s&=\int_{0}^{\frac{1}{2}}\sqrt{1+\frac{4x^2}{(1-x^2)^2}}dx\\\\&=\int_{0}^{\frac{1}{2}}\frac{\sqrt{1-2x^2+x^4+4x^2}}{1-x^2}dx\\\\&=\int_{0}^{\frac{1}{2}}\frac{1+x^2}{1-x^2}dx\\\\&=\int_{0}^{\frac{1}{2}}(\frac{2}{1-x^2}-1)dx\\\\&=\ln\frac{1+x}{1-x}|_0^\frac{1}{2}-\frac{1}{2}\\\\&=\ln3-\frac{1}{2}.\end{align*}$
      

二维码

扫码加我 拉你入群

请注明:姓名-公司-职位

以便审核进群资格,未注明则拒绝

2020-12-5 20:20:46
四川师范大学2019数学分析
8.png

解:
              设曲面上点为$P(x.y.z)$,则到原点的距离为
                                  $\displaystyle d^2=x^2+y^2+z^2,$

                  由拉格朗日乘数法,令
                                  $\displaystyle F(x,y,z)=x^2+y^2+z^2+\lambda (xy-z-1),$

                       则
                                   $\begin{cases}
F_x &=2x+\lambda y=0,\\
F_y &=2y+\lambda x=0,\\
F_z &=2z-\lambda=0 ,\\
F_\lambda &=xy-z-1=0  
\end{cases}$

                      解得
                                      $\displaystyle x=\pm y,z=-\frac{y}{x},$

                                      $\displaystyle x=y=\pm \sqrt{2},z=-1,$
                       得到满足条件的点为
                                       $\displaystyle (\sqrt{2},\sqrt{2},-1),(-\sqrt{2},-\sqrt{2},-1)$





二维码

扫码加我 拉你入群

请注明:姓名-公司-职位

以便审核进群资格,未注明则拒绝

2020-12-5 20:21:16
四川师范大学2019数学分析
9.png

解:
           添加平面$S':z=0$方向向下,使之与$S$组合为一个闭合曲面,再对之用高斯公式
                                           $\begin{align*}I&=\iint_S=\iint_{S+S'_-}+\iint_{S'_+}\\\\&=\iiint_\Omega (y^2+0+x^2)dxdydz+\iint_{z=0} a^3dxdy\\\\&=\iiint_\Omega (y^2+0+x^2)dxdydz+\pi a^5\\\\&=\int_{0}^{2\pi}d\phi \int_{0}^{\frac{\pi}{2}}\sin \theta d\theta \int_{0}^{a}r^2\sin^2 \theta \cdot r^2dr+\pi a^5\\\\&=\frac{4\pi}{15}a^5+\pi a^5\\\\&=\frac{19}{15}\pi a^5.\end{align*}$


二维码

扫码加我 拉你入群

请注明:姓名-公司-职位

以便审核进群资格,未注明则拒绝

2020-12-5 20:22:01
四川师范大学2019数学分析
10.png

证明:
              由已知条件,得
                             $\begin{align*}|x_{n+1}-x_n|&=|f(x_n)-f(x_{n-1})|\\\\&=|f'(\xi)||x_{n}-x_{n-1}|\\\\&\leq q|x_n-x_{n-1}|,(\xi\in (x_{n-1},x_n))\end{align*}$

                   由此可知,$\{x_n\}$为压缩数列,极限存在。又
                                    $\displaystyle \because x_n=f(x_{n-1}),$

                                   $\displaystyle \therefore \lim_{n \to \infty }x_n=x=\lim_{n \to \infty }f(x_{n-1})=f(x).$



二维码

扫码加我 拉你入群

请注明:姓名-公司-职位

以便审核进群资格,未注明则拒绝

2020-12-8 09:47:10
京都大学2010年考研试题
1.png

解:
                               $\displaystyle I=\iint_D\frac{1}{1+(x+y)^4}dxdy=\int_{0}^{1}dx\int_{0}^{1-x}\frac{dy}{1+(x+y)^4},$

                       令
                                  $\displaystyle t=x+y,x\leq t\leq 1,$

                                $\begin{align*}I&=\int_{0}^{1}dx\int_{x}^{1}\frac{dt}{1+t^4}\\\\&=\int_{0}^{1}dx\int_{x}^{1}\frac{\frac{1}{t^2}dt}{\frac{1}{t^2}+t^2}\\\\&=\int_{0}^{1}dx\int_{x}^{1}\frac{(1+\frac{1}{t^2}-1)dt}{\frac{1}{t^2}-2+t^2+2}\\\\&=\int_{0}^{1}dx\int_{x}^{1}\frac{d(t-\frac{1}{t})}{(t-\frac{1}{t})^2+2}-\int_{0}^{1}dx\int_{x}^{1}\frac{dt}{1+t^4}.\end{align*}$

                                 $\begin{align*}I&=\frac{1}{2\sqrt{2}}\int_{0}^{1}dx\int_{x}^{1}\frac{d(t-\frac{1}{t})}{(t-\frac{1}{t})^2+2}\\\\&=\frac{1}{2\sqrt{2}}\int_{0}^{1}[\arctan \frac{1}{\sqrt{2}}(t-\frac{1}{t})]|_x^1dx\\\\&=-\frac{1}{2\sqrt{2}}\int_{0}^{1}\arctan \frac{1}{\sqrt{2}}(x-\frac{1}{x})dx\\\\&=-\frac{1}{2\sqrt{2}}\{x\arctan \frac{1}{\sqrt{2}}(x-\frac{1}{x})|_0^1-\int_{0}^{1}\frac{x\frac{1}{\sqrt{2}}(1+\frac{1}{x^2})dx}{\frac{1}{2}(x-\frac{1}{x})^2+1}\}\\\\&=\frac{1}{2}\int_{0}^{1}\frac{x(x^2+1)}{1+x^4}dx\\\\&=\frac{1}{2}[\int_{0}^{1}\frac{x^3}{1+x^4}dx+\int_{0}^{1}\frac{x}{1+x^4}dx]\\\\&=\frac{1}{2}[\frac{1}{4}\ln(1+x^4)|_0^1+\frac{1}{2}\arctan x^2|_0^1]\\\\&=\frac{1}{8}\ln 2+\frac{\pi}{16}.\end{align*}$

计算复杂了,用配方法,积分应该更简单些。




二维码

扫码加我 拉你入群

请注明:姓名-公司-职位

以便审核进群资格,未注明则拒绝

2020-12-8 16:55:39

         $\displaystyle \lim_{x\to+\infty }\frac{1}{x}\int_{0}^{x}|\cos t|dx.$

解:
             $\begin{align*}\lim_{x\to+\infty }\frac{1}{x}\int_{0}^{x}|\cos t|dt&=\frac{1}{\pi}\int_{0}^{\pi}|\cos t|dt\\\\&=\frac{1}{\pi}\int_{0}^{\frac{\pi}{2}}\cos tdt-\frac{1}{\pi}\int_{\frac{\pi}{2}}^{\pi}\cos tdt\\\\&=\frac{2}{\pi}.\end{align*}$

        其中利用了周期函数积分性质
                              $\displaystyle \lim_{x\to+\infty }\frac{1}{x}\int_{0}^{x}f(t)dt=\frac{1}{T}\int_{0}^{T}f(x)dx.$

                           而
                                 $\displaystyle f(x+T)=f(x).$

                     周期函数积分的常用公式还有
                                 $\displaystyle \int_{l}^{l+T}f(x)dx=\int_{0}^{T}f(x)dx.$   
        

二维码

扫码加我 拉你入群

请注明:姓名-公司-职位

以便审核进群资格,未注明则拒绝

2020-12-8 20:15:22
京都大学2009研究生入学试题
1.png

解:
             由原积分区域方程,得
                               $\displaystyle x^2+xy+(\frac{1}{2}y)^2+(\frac{\sqrt{3}}{2}y)^2=a^2,$

                                $\displaystyle (x+\frac{1}{2}y)^2+(\frac{\sqrt{3}}{2}y)^2=a^2,$

                  变量变换
                                 $\begin{cases}
u &= x+\frac{1}{2}y\\
v & =\frac{\sqrt{3}}{2}y,
\end{cases}\Rightarrow \begin{cases}
x &=u-\frac{\sqrt{3}}{3}v\\
y & =\frac{2\sqrt{3}}{3}v,
\end{cases}$

                                 $\displaystyle |J|=|\frac{\partial (x,y)}{\partial (u,v)}|=\sqrt{3},$
                得新坐标系下的积分区域为
                                  $\displaystyle u^2+v^2=a^2,$

                      于是,在新坐标系中计算积分,得
                                    $\displaystyle I=\iint_D=\sqrt{3}\int_{0}^{2\pi}d\theta \int_{0}^{a} \sqrt{a^2-r^2}\cdot rdr =\frac{2\sqrt{3}}{3}\pi a^3.$





二维码

扫码加我 拉你入群

请注明:姓名-公司-职位

以便审核进群资格,未注明则拒绝

2020-12-8 20:15:59
京都大学2009研究生入学试题
2.png


二维码

扫码加我 拉你入群

请注明:姓名-公司-职位

以便审核进群资格,未注明则拒绝

2020-12-10 10:01:41
京都大学2014年一道积分题
2014.png

解:
                   $\displaystyle I=\iint_D\frac{|x-y|}{x^2+y^2+1}dxdy=\int_{0}^{+\infty }dx\int_{x}^{+\infty }\frac{y-x}{x^2+y^2+1}dy+\int_{0}^{+\infty }dx\int_{0}^{x}\frac{x-y}{x^2+y^2+1}dy,$

                    $\begin{align*}I_1&=\int_{0}^{+\infty }dx\int_{x}^{+\infty }\frac{y-x}{x^2+y^2+1}dy\\\\&=\int_{\pi/4}^{\pi/2}(\sin \theta -\cos \theta )d\theta \int_{0}^{+\infty }\frac{r^2}{r^2+1}dr\\\\&=(\sqrt{2}-1)(+\infty -\frac{\pi}{2}).\end{align*}$




二维码

扫码加我 拉你入群

请注明:姓名-公司-职位

以便审核进群资格,未注明则拒绝

2020-12-10 10:03:28
京都大学2016年一道积分题
2016-1.png


二维码

扫码加我 拉你入群

请注明:姓名-公司-职位

以便审核进群资格,未注明则拒绝

2020-12-10 10:04:01
京都大学2016年一道积分题
2016.png


二维码

扫码加我 拉你入群

请注明:姓名-公司-职位

以便审核进群资格,未注明则拒绝

2020-12-10 10:04:41
京都大学2018年一道积分题
2018.png

解:
                 利用含参变量积分法
                                 $\begin{align*}I(y)&=\int_{0}^{\infty }\frac{\sin (yx)}{x(x^2+1)}dx\\\\&=\int_{0}^{\infty }(\frac{\sin (yx)}{x}-\frac{x\sin (yx)}{x^2+1})dx\\\\&=\int_{0}^{\infty }\frac{\sin (yx)}{x}dx-\int_{0}^{\infty }\frac{x\sin (yx)}{x^2+1}dx\\\\&=\frac{\pi}{2}-\int_{0}^{\infty }\frac{x\sin (yx)}{x^2+1}dx.\end{align*}$

                        而
                                  $\displaystyle I'(y)=\int_{0}^{\infty }\frac{x\cos(yx)}{x(x^2+1)}dx,$

                                  $\displaystyle I''(y)=-\int_{0}^{\infty }\frac{x\sin(yx)}{(x^2+1)}dx,$

                       代入前面等式,得
                                   $\displaystyle \therefore I(y)-I''(y)=\frac{\pi}{2}.$

                         解二阶微分方程,并注意到有初始值
                                      $\displaystyle  I(0)=0,I'(0)=\frac{\pi}{2}.$

                               得
                                   $\displaystyle I(y)=\frac{\pi}{2}(1-e^{-y}).$

                                   $\displaystyle \therefore I(1)=\frac{\pi}{2}(1-e^{-1}).$




二维码

扫码加我 拉你入群

请注明:姓名-公司-职位

以便审核进群资格,未注明则拒绝

2020-12-10 10:05:06
京都大学2019年一道积分题
2019.png

解:
                   $\displaystyle \lim_{t\to +0}t^2\int_{t}^{1}\frac{f(s)}{s^3}ds=\lim_{t\to +0}\frac{\displaystyle \frac{-f(t)}{t^3}}{-\frac{2}{t^3}}=\frac{1}{2}f(0).$



二维码

扫码加我 拉你入群

请注明:姓名-公司-职位

以便审核进群资格,未注明则拒绝

2020-12-13 18:02:11
华南师范大学2020数学分析
1.png

解:1、
                              $\displaystyle \lim_{n \to \infty }\frac{n^2\sin n}{n^3+n^2-1}=\lim_{n \to \infty }\frac{\sin n}{n}=0.$


       2、
                               $\displaystyle \because 2^n=(1+1)^n=1+n+\frac{n(n-1)}{2!}+\cdots +\frac{n(n-1)\cdots 2}{(n-1)!}+1,$

                                $\displaystyle \therefore \frac{n!2^n}{n^{n+1}}=\frac{n!}{n^{n+1}}+\frac{n!}{n^n}+\frac{n!\cdot n(n-1)}{n^{n+1}\cdot 2!}+\cdots +\frac{n!\cdot n(n-1)\cdots 2}{n^{n+1}\cdot (n-1)!}+\frac{n!}{n^{n+1}}.$

                显然,每一项中分子与分母数字的个数相同,但分子中每个数字都小于$n$,由此
                                $\displaystyle \Rightarrow \lim_{n \to \infty }\frac{n!2^n}{n^{n+1}}=0.$


       3、                  
                               $\displaystyle \lim_{n \to \infty }n(\sqrt[n]{3}-1)=\lim_{n \to \infty }n(\frac{1}{n}\ln3+o(\frac{1}{n}))=\ln3.$




二维码

扫码加我 拉你入群

请注明:姓名-公司-职位

以便审核进群资格,未注明则拒绝

2020-12-13 18:02:42
华南师范大学2020数学分析
2.png

解:
      3、
                      $\displaystyle \lim_{n \to \infty }\frac{1}{n}\sum_{k=1}^{n}2^{\frac{k}{n}}=\int_{0}^{1}2^xdx=\frac{1}{\ln2}\int_{0}^{1}e^{x\ln2}d(x\ln2)=\frac{1}{\ln2}e^{x\ln2}|_0^1=\frac{1}{\ln2}.$


     4、
                     $\displaystyle \lim_{x\to \infty }(\frac{4x+5}{4x+1})^{3x+2}=\lim_{x\to \infty }(1+\frac{4}{4x+1})^{\displaystyle \frac{4x+1}{4}\cdot \frac{4(3x+2)}{4x+1}}=e^3.$





二维码

扫码加我 拉你入群

请注明:姓名-公司-职位

以便审核进群资格,未注明则拒绝

2020-12-13 18:03:12
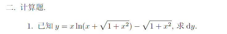
华南师范大学2020数学分析
3.png

解:
                 $\displaystyle \because y'=\ln(x+\sqrt{1+x^2})+x\cdot (1+\frac{x}{\sqrt{1+x^2}})\cdot \frac{1}{x+\sqrt{1+x^2}}-\frac{x}{\sqrt{1+x^2}}=\ln(x+\sqrt{1+x^2}),$

                  $\displaystyle \therefore dy=\ln(x+\sqrt{1+x^2})dx.$


二维码

扫码加我 拉你入群

请注明:姓名-公司-职位

以便审核进群资格,未注明则拒绝

2020-12-13 18:03:43
华南师范大学2020数学分析
4.png

解:
                   $\displaystyle f'(x)=2xe^{-x^2}-2x^3e^{-x^2},(x\geq 0)$

                   $\displaystyle f'(x)=3x^2\sin \frac{1}{x}-x\cos \frac{1}{x},(x< 0)$

二维码

扫码加我 拉你入群

请注明:姓名-公司-职位

以便审核进群资格,未注明则拒绝

2020-12-13 18:04:14
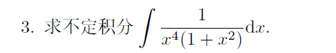
华南师范大学2020数学分析
5.png

解:
            先作变量代换
                               $\displaystyle x=\frac{1}{t},dx=-\frac{1}{t^2}dt,$

                               $\begin{align*}\int \frac{1}{x^4(1+x^2)}dx&=\int \frac{t^4}{1+\frac{1}{t^2}}\cdot (-\frac{1}{t^2})dt=\int \frac{-t^4}{1+t^2}dt\\\\&=\int\frac{1-t^4-1}{1+t^2}dt =\int (1-t^2)dt-\int \frac{1}{1+t^2}dt\\\\&=t-\frac{1}{3}t^3-\arctan t+C\\\\&=\frac{1}{x}-\frac{1}{3x^3}-\arctan \frac{1}{x}+C.\end{align*}$


二维码

扫码加我 拉你入群

请注明:姓名-公司-职位

以便审核进群资格,未注明则拒绝

2020-12-13 18:04:45
华南师范大学2020数学分析
6.png

解:用参数法
                           $\displaystyle z=a\cos t,x=y=\frac{a}{\sqrt{2}}\sin t,0\leq t\leq 2\pi,$

                           $\begin{align*}I&=\int_\Gamma \sqrt{x^2+2y^2}ds\\\\&=\int_0^{2\pi} \sqrt{\frac{a^2}{2}\sin ^2t+\frac{2a^2}{2}\sin ^2t}\cdot \sqrt{\frac{a^2}{2}\sin ^2t+\frac{a^2}{2}\sin ^2t+a^2\cos ^2t}dt\\\\&=\frac{\sqrt{6}a^2}{2}(\int_{0}^{\pi}\sin tdt-\int_{\pi}^{2\pi}\sin tdt)=\frac{\sqrt{6}a^2}{2}\cdot (-4)\\\\&=-2\sqrt{6}a^2.\end{align*}$



二维码

扫码加我 拉你入群

请注明:姓名-公司-职位

以便审核进群资格,未注明则拒绝

2020-12-13 18:05:16
华南师范大学2020数学分析
7.png

证明:
     (1)、分两种情况:a)、如果函数的最大(小)值在$f(+\infty)$彧$f(+\infty)$处,则由已知条件,有界。
                                b)、如果函数的最大(小)值在有限点$x=A$处,则由条件可知,因为$f(x)$在$[-A,+A]$上一致收敛,因此必有界。

    (2)、也分两种情况:
                                a)、因为$f(x)\in C(-\infty,+\infty)$,且在无穷处极限存在,所以
                                             $\forall \epsilon > 0,\forall x',x''\in [0 ,+\infty ),\exists \Delta > 0,x',x''> \Delta ,s.t.$

                                                       $|f(x')-f(x'')|< \epsilon .$

                                b)、
                                             $\forall \epsilon > 0,\forall x',x''\in [0 ,\Delta +1],\exists \delta _1 > 0,|x'-x''|< \delta_1,s.t.$

                                                        $|f(x')-f(x'')|< \epsilon .$

                         取$\delta =\min\{1,\delta _1\},$对于
                                                          $\forall x',x''> 0,|x'-x''|< \delta,$

                                             必有$x',x''\in [0 ,\Delta +1],$或者$x',x''\in (\Delta,+\infty )$

                                     而有上面的讨论知,两种情况都有
                                                           $|f(x')-f(x'')|< \epsilon .$

                                      即有在$[0,+\infty)$上一致收敛。同理可证在$(-\infty,0]$上一致收敛。


二维码

扫码加我 拉你入群

请注明:姓名-公司-职位

以便审核进群资格,未注明则拒绝

2020-12-13 18:05:49
华南师范大学2020数学分析
8.png

解:
     (1)、
                          $\displaystyle \int_{0}^{1}\frac{\ln^2x}{1-x}dx\leq \int_{0}^{1}\ln^2xdx=x\ln^2x|_0^1-2\int_{0}^{1}\ln xdx=2.$

                          收敛。

      (2)、
                          $\displaystyle \because |\frac{\ln x}{x^p(1-x)}|< \frac{\ln x}{x^{p+1}},$

               而
                            $\displaystyle \int_{1}^{+\infty }\frac{\ln x}{x^{p+1}}dx,$

                当$p>0$时收敛。故原积分绝对收敛。
二维码

扫码加我 拉你入群

请注明:姓名-公司-职位

以便审核进群资格,未注明则拒绝

2020-12-13 18:06:22
华南师范大学2020数学分析
9.png

证明:
         $(\Rightarrow )$
                                   假设对平面上的点列
                                                          $\{P_n\},\forall \epsilon > 0,\exists m> 0,s.t.$

                                                           $||P_{n+m}-P_n||< \epsilon ,$

                                  则由定义可知,此时必有
                                                             $\exists \delta > 0,s.t.$

                                                           $\{x_n\}:|x_{n+m}-x_n|< \delta ,$

                                                            $\{y_n\}:|y_{n+m}-y_n|< \delta ,$

                                               由此可知:$\{x_n\},\{y_n\}$均为柯西列,从而收敛,所以有
                                                             $P_n(x_n,y_n)\rightarrow P(x,y),(n \to \infty )$

                                                即有$\{P_n\}$ 收敛。

              $(\Leftarrow )$
                                       如果平面上的点列$\{P_n\}$ 收敛.则必能知道有
                                                             $\exists \delta > 0,s.t.$

                                                           $\{x_n\}:|x_{n+m}-x_n|< \delta ,$

                                                            $\{y_n\}:|y_{n+m}-y_n|< \delta ,$

                                        由定义,可知此时必有
                                                            $\{P_n\},\forall \epsilon > 0,\exists m> 0,s.t.$

                                                           $||P_{n+m}-P_n||< \epsilon .$

                                    故命题成立。



   
二维码

扫码加我 拉你入群

请注明:姓名-公司-职位

以便审核进群资格,未注明则拒绝

2020-12-13 18:06:57
华南师范大学2020数学分析
10.png

证明:
                  由函数对$x$的连续性,可知有
                                   $\forall \epsilon > 0,\forall x,x_0\in D,\exists \delta_1> 0,|x-x_0|< \delta_1,s.t$

                                        $|f(x,y)-f(x_0,y)|< \frac{\epsilon}{2} ,$

                       由对$y$偏导数的有界性,得
                                      $\forall \epsilon > 0,\forall y,y_0\in D,\exists \delta_2> 0,|y-y_0|<\delta_2,s.t.$

                                       $|f(x_0,y)-f(x_0,y_0)|=|f'_y||y-y_0|< M\delta_2=\frac{\epsilon }{2},$

                              取$\delta =\min\{\delta_1,\delta_2\},$此时有
                                           $|x-x_0|< \delta,|y-y_0|< \delta,s.t.$

                                         $|f(x,y)-f(x_0,y_0)|\leq |f(x,y)-f(x_0,y)|+|f(x_0,y)-f(x_0,y_0)|=\frac{\epsilon }{2}+\frac{\epsilon }{2}=\epsilon .$

                           再由所取点的任意性,即知$f(x,y)\in D$上连续。


二维码

扫码加我 拉你入群

请注明:姓名-公司-职位

以便审核进群资格,未注明则拒绝

2020-12-13 18:07:29
华南师范大学2020数学分析
11.png

解:添加一个来面$s':z=0$,方向向下,利用高斯公式,则

                                 $\displaystyle I=\iint_{S+S'}+\iint_{S'}xydxdy=\iiint_\Omega (x^2+y^2+z^2)dV+\iint_{S'}xydxdy,$

                       其中
                                 $\displaystyle \iiint_\Omega (x^2+y^2+z^2)dV=3\iiint_\Omega x^2dV=3\int_{0}^{2\pi}\cos^2 \phi d\phi \int_{0}^{\frac{\pi}{2}}\sin^3\theta d\theta \int_{0}^{a}r^4dr=\frac{2}{5}\pi a^5.$

                                 $\displaystyle \iint_{S'}xydxdy=\int_{0}^{2\pi}\cos \theta \sin \theta d\theta \int_{0}^{a}r^3dr=\frac{1}{8}a^4.$

                                $\displaystyle \therefore I=\frac{2}{5}\pi a^5+\frac{1}{8}a^4.$


二维码

扫码加我 拉你入群

请注明:姓名-公司-职位

以便审核进群资格,未注明则拒绝

2020-12-17 07:09:28
合肥工业大学2020数学分析
h1.png

解:
                    $\displaystyle \because \lim_{n \to \infty }\sqrt[n]{\frac{n!}{n^n}}=\lim_{n \to \infty }e^{\displaystyle \frac{1}{n}(\ln \frac{1}{n}+\ln \frac{2}{n}+\cdots +\ln\frac{n}{n})}=e^{\displaystyle \int_{0}^{1}\ln xdx}=e^{-1}.$

                       $\displaystyle \therefore \lim_{n \to \infty }\frac{n}{\sqrt[n]{n!}}=\frac{1}{\displaystyle \lim_{n \to \infty }\sqrt[n]{\frac{n!}{n^n}}}=e.$


二维码

扫码加我 拉你入群

请注明:姓名-公司-职位

以便审核进群资格,未注明则拒绝

栏目导航
热门文章
推荐文章

说点什么

分享

扫码加好友,拉您进群
各岗位、行业、专业交流群