立即打开
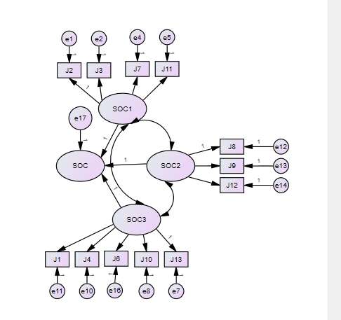
如图,可以跑,但按钮是灰的<br>
e17一直显示unidentified
扫码加我 拉你入群
请注明:姓名-公司-职位
以便审核进群资格,未注明则拒绝
全部回复
扫码加我 拉你入群
请注明:姓名-公司-职位
以便审核进群资格,未注明则拒绝
d淡定 发表于 2021-4-20 19:21 
如图,可以跑,但按钮是灰的&lt;br&gt;
e17一直显示unidentified
捞一下
扫码加我 拉你入群
请注明:姓名-公司-职位
以便审核进群资格,未注明则拒绝
相关推荐
栏目导航
热门文章
推荐文章
扫码加好友,拉您进群