全部版块 我的主页
论坛 计量经济学与统计论坛 五区 计量经济学与统计软件 Stata专版
10922 3
2021-11-20
Goodness of fit index and adjusted goodness of fit index[edit]

The goodness of fit index (GFI) is a measure of fit between the hypothesized model and the observed covariance matrix. The adjusted goodness of fit index (AGFI) corrects the GFI, which is affected by the number of indicators of each latent variable. The GFI and AGFI range between 0 and 1, with a value of over .9 generally indicating acceptable model fit.[34]


首先,拟合优度R2 的计算公式如下,其含义为我们估计出来的模型对于y变量的样本拟合程度如何,取1则为完全拟合,取0则为没有拟合能力:



1.jpeg



2.jpeg


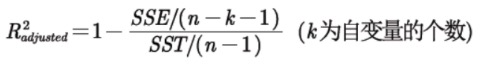
其次,调整的拟合优度adjusted R 2 的计算公式如下,是在拟合优度的基础上,对于模型的自由度进行了调整。一般意义上来讲,加入更多的变量,拟合优度就会更高,但是这样的模型也耗费了更多的自由度,不一定是更好的模型,否则大家无脑加入更多的变量就能得到一个完美的模型了,所以调整的拟合优度对于自由度的数量进行了调整,一般会比原来的拟合优度小一些。


3.jpeg



当然调整的方法可能还有其他的,比如下面的这一篇文献,是比较前沿的调整方法,但是思路也是一样的,大家感兴趣也可以看一看~







二维码

扫码加我 拉你入群

请注明:姓名-公司-职位

以便审核进群资格,未注明则拒绝

全部回复
2022-6-20 14:29:47
修正拟合优度的公式可能有误,非sse而是ssr
二维码

扫码加我 拉你入群

请注明:姓名-公司-职位

以便审核进群资格,未注明则拒绝

2022-6-20 14:30:22
修正拟合优度的公式可能有误,非sse而是ssr
二维码

扫码加我 拉你入群

请注明:姓名-公司-职位

以便审核进群资格,未注明则拒绝

2022-10-31 08:36:55
ess是回归平方和,rss是残差平方和,用反了
二维码

扫码加我 拉你入群

请注明:姓名-公司-职位

以便审核进群资格,未注明则拒绝

相关推荐
栏目导航
热门文章
推荐文章

说点什么

分享

扫码加好友,拉您进群
各岗位、行业、专业交流群