全部版块 我的主页
论坛 提问 悬赏 求职 新闻 读书 功能一区 经管文库(原现金交易版)
7242 7
2022-02-27
股权融资成本PEG模型,CAPM模型,MPEG模型
一、计算方法如下:
二、提供原始数据,计算stata代码和参考文献
1.PEG模型
        PEG模型来计算权益资本成本:
         微信图片_20220227213223.png
      参考文献:[1]杨棉之,谢婷婷,孙晓莉.股价崩盘风险与公司资本成本——基于中国A股上市公司的经验证据[J].现代财经
PEG模型2000-2019年
大小:(76 Bytes)

只需: RMB 29元  马上下载



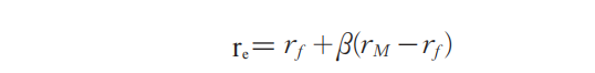
2.CAPM模型
       CAPM模型来计算权益资本成本:
             微信图片5248.png
    模型中的 rf 为无风险利率,本文采用某年一年期定期存款的加权平均利率作为替代,权数为天数
      参考文献:[1]汪平,袁光华,李阳阳.我国企业资本成本估算及其估算值的合理界域:2000-2009[J].投资研究,2012,31(11):101-114.

      
CAPM模型2000-2019年
大小:(76 Bytes)

只需: RMB 29元  马上下载


3.MPEG模型
      MPEG模型来计算权益资本成本:
       微信图片57.png
[size=10.4999pt]   参考文献:[1]王冰洁,刘振涛.管理层预测质量对权益资本成本的影响[J].经济问题探索,2017(11):46-58.

      
MPEG模型2000-2019
大小:(76 Bytes)

只需: RMB 29元  马上下载






二维码

扫码加我 拉你入群

请注明:姓名-公司-职位

以便审核进群资格,未注明则拒绝

全部回复
2022-3-9 15:56:51
MPEG模型的计算公式是不是有误,不应该是[size=10.2857pt]r[size=5.91914pt]e 2[size=10.2857pt]= [size=10.2857pt]EPS[size=5.91914pt]t+[size=5.91914pt]2 [size=10.2857pt]+ r[size=5.91914pt]e[size=10.2857pt]DPS[size=5.91914pt]t+[size=5.91914pt]1 [size=10.2857pt]- EPS[size=5.91914pt]t+[size=5.91914pt]1 [size=10.2857pt]/P[size=5.91914pt]t吗
二维码

扫码加我 拉你入群

请注明:姓名-公司-职位

以便审核进群资格,未注明则拒绝

2022-4-10 15:13:03
请问这个能更新到2021年吗
二维码

扫码加我 拉你入群

请注明:姓名-公司-职位

以便审核进群资格,未注明则拒绝

2022-4-10 18:40:15
dream丫 发表于 2022-4-10 15:13
请问这个能更新到2021年吗
可以的
二维码

扫码加我 拉你入群

请注明:姓名-公司-职位

以便审核进群资格,未注明则拒绝

2022-4-11 09:56:20
请问有OJN模型的数据吗
二维码

扫码加我 拉你入群

请注明:姓名-公司-职位

以便审核进群资格,未注明则拒绝

2022-4-14 18:04:57
请问现在的数据有几年的呀
二维码

扫码加我 拉你入群

请注明:姓名-公司-职位

以便审核进群资格,未注明则拒绝

点击查看更多内容…
相关推荐
栏目导航
热门文章
推荐文章

说点什么

分享

扫码加好友,拉您进群
各岗位、行业、专业交流群