各位老师们,为什么我这个代码算出来的结果和中途积分的结果都是NaN,可以正常运行函数代码复现的是这篇文章的Asian option定价公式(定理4.1)
- Kim, B. & Wee, I. 2014, "Pricing of geometric Asian options under Heston's stochastic volatility model", Quantitative finance, vol. 14, no. 10, pp. 1795-1809.
函数代码如下
xi是那个歪歪曲曲的变量
运行代码如下
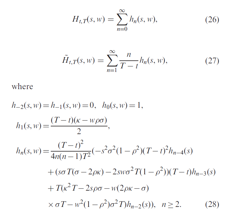
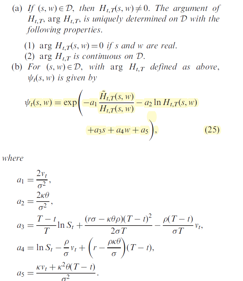
论文中的公式如下:

由于t=0,所以0-t对log(Su)的积分我没有写进函数方程。

麻烦各位老师了!代码文件同样上传了附件