经管之家App
让优质教育人人可得
立即打开
全部版块
我的主页
›
论坛
›
站务区 十一区
›
新手入门区
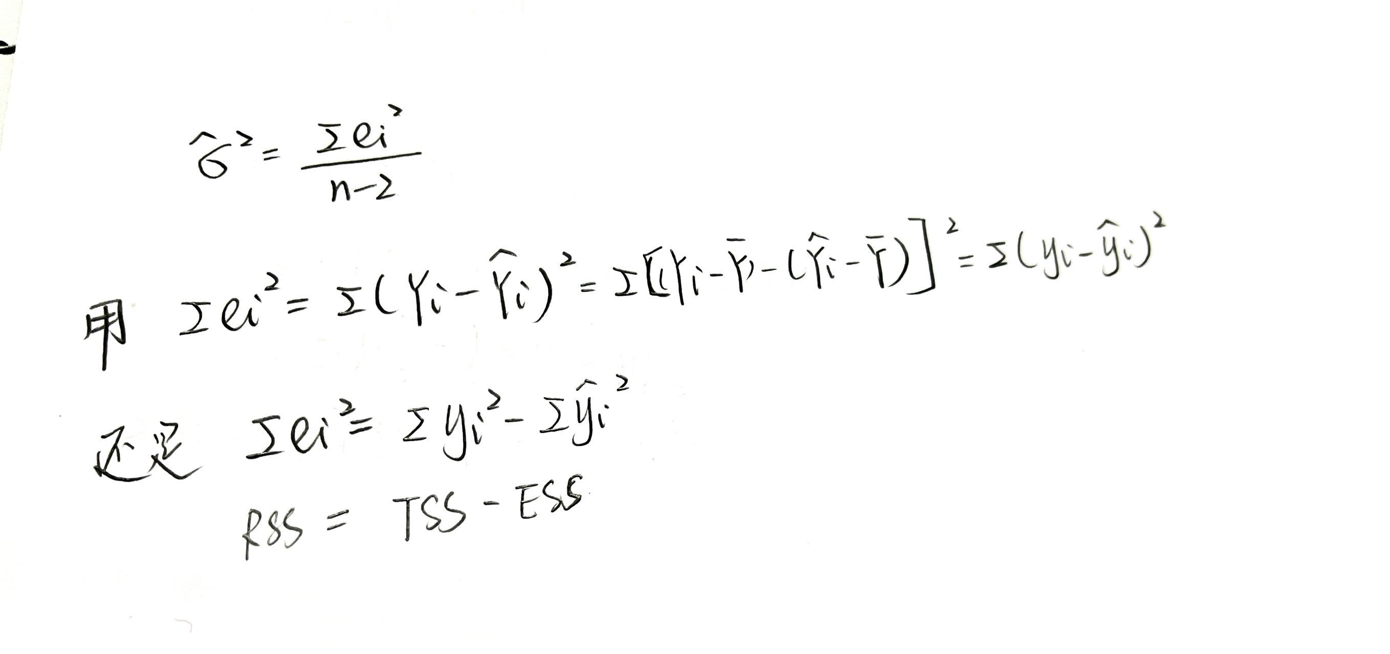
计量经济学残差平方和应该用何种方法计算?
楼主
卖艺的小青年
925
0
收藏
2022-03-29
扫码加我 拉你入群
请注明:姓名-公司-职位
以便审核进群资格,未注明则拒绝
相关推荐
[公告]计量经济学的QQ群
[下载]《计量经济学》课件
计量经济学 李晓峒版
对现代计量经济学的质疑
计量经济学的一些检验而已
【独家发布】计量经济学题库及答案 免费
计量经济学是否是经济学的必修基础课
求计量经济学的书单
计量经济学残差平方和的简单证明
计量经济学
栏目导航
新手入门区
经管文库(原现金交易版)
学道会
资管君
行业分析报告
数据交流中心
热门文章
新宏观丨扩大内需的最大障碍是什么?
现代数学译丛14非线性最优化基础
【浙商证券】太空算力与商业航天行业专题报 ...
现代数学译丛10 调和分析基础教程
【华西证券】AI浪潮之基,电力价值与生态重 ...
物流运作基础 (英国皇家采购与供应学会(CI ...
【海通国际】如何理解“房地产高质量发展”
2026年Stata初高级寒假班—AI赋能+原理+操作 ...
一文了解11种最常见的机器学习算法应用场景
CDA数据分析师实战核心:假设检验的逻辑、方 ...
推荐文章
26年寒假天津站|Gemini论文写作&数据分析 ...
2026JG学术冬训营:从Stata初高到Python机器 ...
关于如何利用文献的若干建议
关于学术研究和论文发表的一些建议
关于科研中如何学习基础知识的一些建议 (一 ...
一个自编的经济学建模小案例 --写给授课本科 ...
AI智能体赋能教学改革: 全国AI教育教学应用 ...
2025中国AIoT产业全景图谱报告-406页
关于文献求助的一些建议
几种免费下载文献的方法----我的文献应助经
说点什么
分享
微信
QQ空间
QQ
微博
扫码加好友,拉您进群
各岗位、行业、专业交流群