经管之家App
让优质教育人人可得
立即打开
全部版块
我的主页
›
论坛
›
计量经济学与统计论坛 五区
›
计量经济学与统计软件
中介效应
楼主
lishjv
2082
3
收藏
2022-05-02
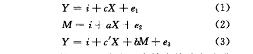
请问各位大佬,中介效应是不是应该 c'的系数的绝对值要小于c的系数的绝对值,
也就是中介变量会降低X对Y的影响
补:我感觉是这样的,然后我的sobel test通过了 0.05显著性
个人有点迷惑
扫码加我 拉你入群
请注明:姓名-公司-职位
以便审核进群资格,未注明则拒绝
全部回复
沙发
lishjv
2022-5-2 18:43:11
这个图
附件列表
未命名图片.png
原图尺寸 4.1 KB
扫码加我 拉你入群
请注明:姓名-公司-职位
以便审核进群资格,未注明则拒绝
藤椅
lin1959
2022-5-2 23:03:49
lishjv 发表于 2022-5-2 18:43
这个图
我可以帮你解决,如有需要,可以加3100556104
扫码加我 拉你入群
请注明:姓名-公司-职位
以便审核进群资格,未注明则拒绝
相关推荐
请问sobel test的结果怎么解释
请问sobel test的结果怎么解释,我的值是否显著
请问,中介效应SOBEL test使用标准化值还是非标准化值?
关于Sobel test的简单介绍
有没有关于Sobel test的简单介绍
中介效应(Sobel test)小方法
Sobel test中介效应分析资料分享及疑问
求问sobel test计算要求的标准误是哪一个?在线等
逐步检验和sobel test结果不一致?
中介效应和遮掩效应如何判断?
栏目导航
计量经济学与统计软件
经管文库(原现金交易版)
经管在职研
学道会
学术道德监督
求助成功区
热门文章
CDA数据分析师实战核心:假设检验的逻辑、方 ...
奇瑞集团2025年新能源销量突破90万辆
【24热点,自用整理!】2007-2024上市公司长期 ...
【24更新,热点指标!】2007-2024上市公司数字 ...
2026年Stata初高级寒假班—AI赋能+原理+操作 ...
一文了解11种最常见的机器学习算法应用场景
CDA数据分析师核心实战:数据整合的价值、流 ...
CDA 认证考试大纲 2025 重磅更新:一二级考 ...
CDA数据分析脱产就业班于2025年12月08日开班 ...
【电子书】思考,快与慢(中文版PDF)
推荐文章
26年寒假天津站|Gemini论文写作&数据分析 ...
2026JG学术冬训营:从Stata初高到Python机器 ...
关于如何利用文献的若干建议
关于学术研究和论文发表的一些建议
关于科研中如何学习基础知识的一些建议 (一 ...
一个自编的经济学建模小案例 --写给授课本科 ...
AI智能体赋能教学改革: 全国AI教育教学应用 ...
2025中国AIoT产业全景图谱报告-406页
关于文献求助的一些建议
几种免费下载文献的方法----我的文献应助经
说点什么
分享
微信
QQ空间
QQ
微博
扫码加好友,拉您进群
各岗位、行业、专业交流群