全部版块 我的主页
论坛 计量经济学与统计论坛 五区 计量经济学与统计软件
2669 5
2022-06-02
自己的整理的数据和代码,正文部分数据只需3个dta文件。原文附带的数据一共有24个,运行不太方便。

附件列表

cqf国家级新区程序和代码.zip

大小:489 KB

只需: 5 个论坛币  马上下载

自己整理的

二维码

扫码加我 拉你入群

请注明:姓名-公司-职位

以便审核进群资格,未注明则拒绝

全部回复
2022-6-4 15:28:30
二维码

扫码加我 拉你入群

请注明:姓名-公司-职位

以便审核进群资格,未注明则拒绝

2022-6-17 11:32:13
tengmingtao 发表于 2022-6-2 15:00
自己的整理的数据和代码,正文部分数据只需3个dta文件。原文附带的数据一共有24个,运行不太方便。
你好,文件分享取消了,能重新再发一下吗
二维码

扫码加我 拉你入群

请注明:姓名-公司-职位

以便审核进群资格,未注明则拒绝

2023-10-25 15:27:46
这里面好像没有包含安慰剂检验的代码,请问随机化处理组和对照组,随机化设立时间的 代码是什么?
二维码

扫码加我 拉你入群

请注明:姓名-公司-职位

以便审核进群资格,未注明则拒绝

2023-10-28 09:44:51
好资料
二维码

扫码加我 拉你入群

请注明:姓名-公司-职位

以便审核进群资格,未注明则拒绝

2024-1-10 22:43:45
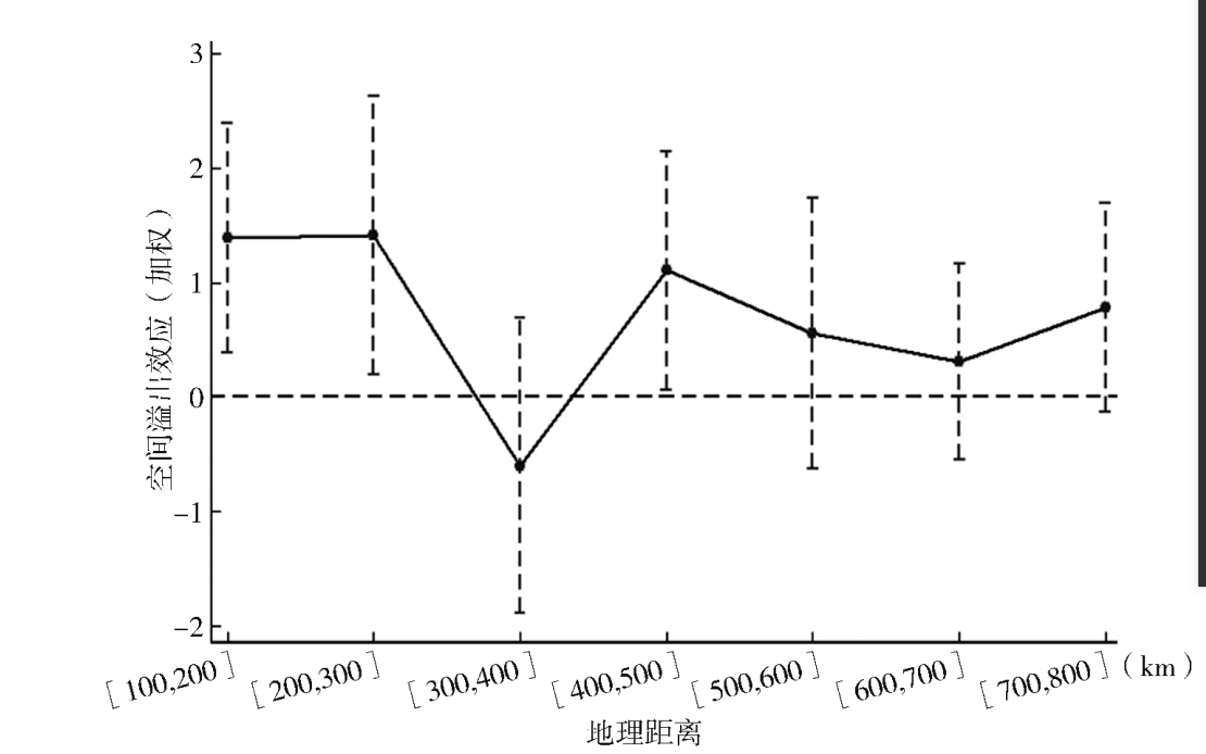
各位老师大家好,我查找了很多资料都没有找到这个图的制作方法,很多教学都仅仅是一个光秃秃的代码,如何根据地理距离设置哑变量并且进行回归,没有展示,有老师知道吗
附件列表
4e7ce86a77b231be3ab957dea2f2403.png

原图尺寸 88.21 KB

4e7ce86a77b231be3ab957dea2f2403.png

二维码

扫码加我 拉你入群

请注明:姓名-公司-职位

以便审核进群资格,未注明则拒绝

相关推荐
栏目导航
热门文章
推荐文章

说点什么

分享

扫码加好友,拉您进群
各岗位、行业、专业交流群