yugao1986 发表于 2011-6-20 19:01 
http://www.nesug.org/proceedings/nesug07/sa/sa09.pdf
该文献名为:
Non-Linear Programming for Maxim ...
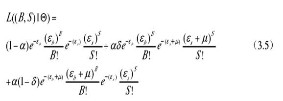
您好!我的函数形式是:

其中B、S是已知的,我仿照您给我的参考资料用NLP做似然估计,为什么每次得出的结果不一样呢?我的代码如下:
DATA PIN;
SET WORK.AA;
proc nlp data=PIN;
max logf;
parms alpha delta eb es mu;
bounds alpha>0;
f = l(1-alpha) * pdf('POISSON',buy, eb) * pdf('POISSON',sell, es) + alpha * delta * pdf('POISSON',buy, eb) * pdf('POISSON',sell, es+mu) + alpha * (1-delta) * pdf('POISSON',buy, eb+mu) * pdf('POISSON',sell, es);
logf=log(f);
run;