经管之家App
让优质教育人人可得
立即打开
全部版块
我的主页
›
论坛
›
提问 悬赏 求职 新闻 读书 功能一区
›
经管百科
›
爱问频道
求助一个基本的关于Bessel函数的积分
楼主
一沙一世界1985
1387
0
收藏
2011-06-26
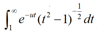
该式中,u是参数。
最近遇到了这个积分,以前学过一点,但现在完全忘了,希望哪位大牛能帮忙写一下简要的解题过程及结果,并把这个过程和结果设置一下,我用20个论坛币购买,不胜感激!
附件列表
积分式.PNG
原图尺寸 3.17 KB
扫码加我 拉你入群
请注明:姓名-公司-职位
以便审核进群资格,未注明则拒绝
相关推荐
博弈论习题求助与讨论
Bessel 和 CIR 过程
1w论坛币求在纽约的朋友帮忙。。急。。
第一次来 想买论坛币
各位亲朋好友,谁能送我20个论坛币呀
求2011年注会网校讲义
谁有范里安教材课件?不胜感激
求一个真正能用的sas
20个论坛币,求大家填写一份问卷,内容不多,不胜感激!
新人没有论坛币,求楼主发邮箱3276336747@qq.com 不胜感激!
栏目导航
爱问频道
经管高考
学道会
经济金融数学专区
经管文库(原现金交易版)
数据交流中心
热门文章
《那年2003》 第66章:时间管理大师?周旋于 ...
《信用价值论》社会再生产方程式解读 与在宏 ...
多复变函数论 作者: 萧荫堂 钟家庆 陈志华
参数估计:CDA数据分析师的核心推断工具,用 ...
通用指标与场景指标:CDA数据分析师的核心分 ...
2024年合集 ESG评级数据大全(彭博 华证 Wi ...
技术趋势2026
人工智能赋能应用实践指南
芜宣机场,增长740%!
CAS EXAM6 2023版TIA教材
推荐文章
2026JG学术冬训营:从Stata初高到Python机器 ...
【必看】【本版版规,欢迎发悬赏贴求助】
【新课】26年3月|Gemini辅助论文写作与数据 ...
关于如何利用文献的若干建议
关于学术研究和论文发表的一些建议
关于科研中如何学习基础知识的一些建议 (一 ...
一个自编的经济学建模小案例 --写给授课本科 ...
AI智能体赋能教学改革: 全国AI教育教学应用 ...
2025中国AIoT产业全景图谱报告-406页
关于文献求助的一些建议
说点什么
分享
微信
QQ空间
QQ
微博
扫码加好友,拉您进群
各岗位、行业、专业交流群