全部版块 我的主页
论坛 计量经济学与统计论坛 五区 计量经济学与统计软件 Stata专版
822 6
2023-04-11
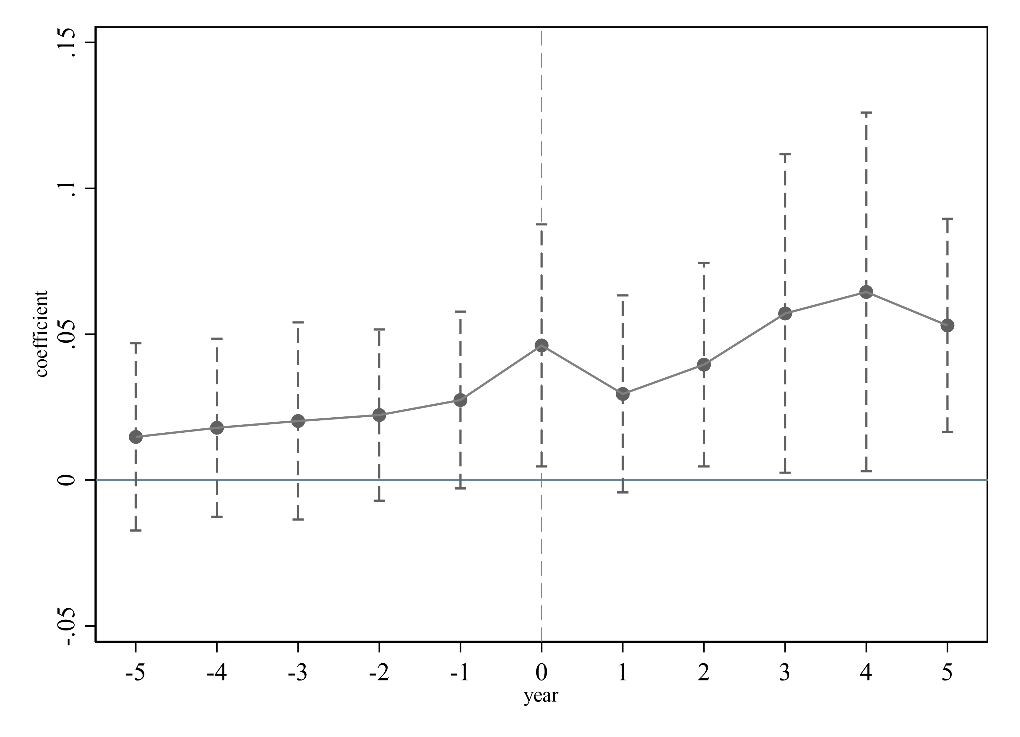
如图,平行趋势检验算是通过了吗?图中政策发生期前就呈上升趋势,会不会存在年轮效应?如果存在年轮效应,可以怎么调整呢?
平行趋势.png
二维码

扫码加我 拉你入群

请注明:姓名-公司-职位

以便审核进群资格,未注明则拒绝

全部回复
2023-4-12 19:24:36
你drop掉政策前一期,然后再做,看看结果。你这里缺少了基期用来对比。
二维码

扫码加我 拉你入群

请注明:姓名-公司-职位

以便审核进群资格,未注明则拒绝

2023-4-13 08:14:18
增加系数变量
二维码

扫码加我 拉你入群

请注明:姓名-公司-职位

以便审核进群资格,未注明则拒绝

2023-4-13 17:02:20

欢迎使用Markdown编辑器

经管之家:Do the best economic and management education!

你好! 这是你第一次使用 Markdown编辑器 所展示的欢迎页。如果你想学习如何使用Markdown编辑器, 可以仔细阅读这篇文章,了解一下Markdown的基本语法知识。

功能快捷键

撤销:Ctrl/Command + Z
重做:Ctrl/Command + Y
加粗:Ctrl/Command + B
斜体:Ctrl/Command + I
标题:Ctrl/Command + Shift + H
无序列表:Ctrl/Command + Shift + U
有序列表:Ctrl/Command + Shift + O
检查列表:Ctrl/Command + Shift + C
插入代码:Ctrl/Command + Shift + K
插入链接:Ctrl/Command + Shift + L
插入图片:Ctrl/Command + Shift + G

合理的创建标题,有助于目录的生成

直接输入1次#,并按下space后,将生成1级标题。
输入2次#,并按下space后,将生成2级标题。
以此类推,我们支持6级标题。

如何改变文本的样式

强调文本 强调文本

加粗文本 加粗文本

标记文本

删除文本

引用文本

H2O is是液体。

210 运算结果是 1024.

插入链接与图片

链接: 经管之家官网.

图片:
Alt

带尺寸的图片:

Alt

如何插入一段漂亮的代码片

选择一款你喜欢的代码片高亮样式,下面展示同样高亮的 代码片.

def get_abs(x):
    if not isinstance(x, (int, float)):
        raise TypeError('bad operand type')
    if x >= 0:
        return x
    else:
        return -x

生成一个适合你的列表

  • 项目
    • 项目
      • 项目
  1. 项目1
  2. 项目2
  3. 项目3
  • 计划任务
  • 完成任务

创建一个表格

一个简单的表格是这么创建的:

项目 Value
电脑 $1600
手机 $12
导管 $1

设定内容居中、居左、居右

使用:---------:居中
使用:----------居左
使用----------:居右

第一列 第二列 第三列
第一列文本居中 第二列文本居右 第三列文本居左

SmartyPants

SmartyPants将ASCII标点字符转换为“智能”印刷标点HTML实体。例如:

TYPE ASCII HTML
Single backticks 'Isn't this fun?' ‘Isn’t this fun?’
Quotes "Isn't this fun?" “Isn’t this fun?”
Dashes -- is en-dash, --- is em-dash – is en-dash, — is em-dash

创建一个自定义列表

Markdown
Text-to-HTML conversion tool
Authors
John
Luke

如何创建一个注脚

一个具有注脚的文本。1

注释也是必不可少的

Markdown将文本转换为 HTML

KaTeX数学公式

您可以使用渲染LaTeX数学表达式 KaTeX:

Gamma公式展示 Γ(n)=(n1)!nN\Gamma(n) = (n-1)!\quad\forall n\in\mathbb N 是通过欧拉积分

Γ(z)=0tz1etdt . \Gamma(z) = \int_0^\infty t^{z-1}e^{-t}dt\,.

你可以找到更多关于的信息 LaTeX 数学表达式[here][1].

新的甘特图功能,丰富你的文章

2014-01-072014-01-092014-01-112014-01-132014-01-152014-01-172014-01-192014-01-21已完成 进行中 计划一 计划二 现有任务Adding GANTT diagram functionality to mermaid
  • 关于 甘特图 语法,参考 [这儿][2],

UML 图表

可以使用UML图表进行渲染。 Mermaid. 例如下面产生的一个序列图::

张三李四王五你好!李四, 最近怎么样?你最近怎么样,王五?我很好,谢谢!我很好,谢谢!李四想了很长时间, 文字太长了不适合放在一行.打量着王五...很好... 王五, 你怎么样?张三李四王五

这将产生一个流程图。:

链接
长方形
圆角长方形
菱形

  1. 注脚的解释 ↩︎

二维码

扫码加我 拉你入群

请注明:姓名-公司-职位

以便审核进群资格,未注明则拒绝

2023-4-13 17:09:02
白眉老夫子 发表于 2023-4-12 19:24
你drop掉政策前一期,然后再做,看看结果。你这里缺少了基期用来对比。

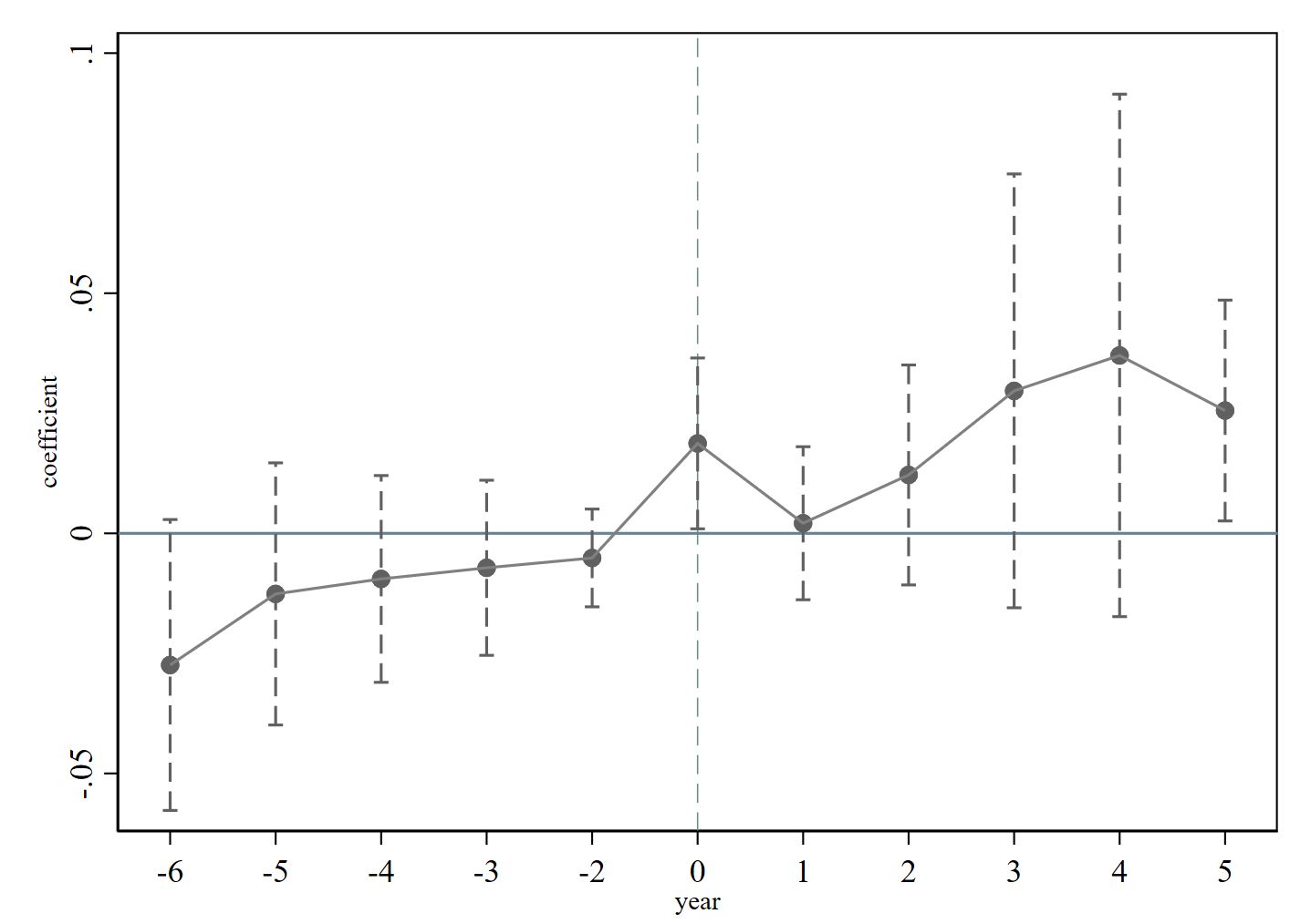
现在已经drop掉了前一期,但到第五期才显著,请您帮看一下,谢谢!
附件列表
平行趋势检验TE4.JPG

原图尺寸 72.47 KB

平行趋势检验TE4.JPG

二维码

扫码加我 拉你入群

请注明:姓名-公司-职位

以便审核进群资格,未注明则拒绝

2023-4-13 17:11:41
Killua609 发表于 2023-4-13 08:14
增加系数变量
图中是以第一期即pre6为基期的,增加系数变量,是要生成前六期系数均值,然后以pre1为基期吗
二维码

扫码加我 拉你入群

请注明:姓名-公司-职位

以便审核进群资格,未注明则拒绝

点击查看更多内容…
相关推荐
栏目导航
热门文章
推荐文章

说点什么

分享

扫码加好友,拉您进群
各岗位、行业、专业交流群