全部版块 我的主页
论坛 数据科学与人工智能 数据分析与数据科学 R语言论坛
413 1
2023-10-18
悬赏 50 个论坛币 已解决
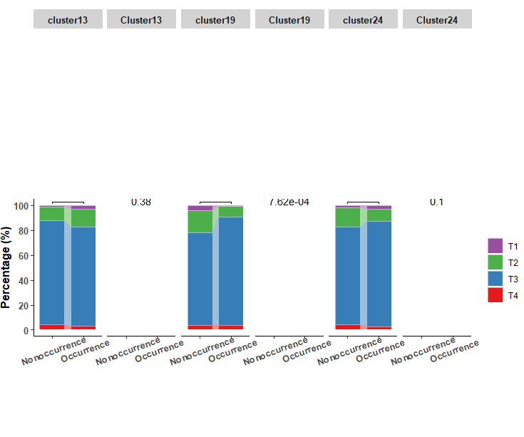
我在使用ggplot2画分面图遇到一个问题,想要使用geom_text给每个分面添加一个不同的注释,但是这个注释没有添加到原本的图上,而是另外添加了一个分面,请问有没有大佬知道怎么回事,该怎么解决?谢谢~具体数据和代码如下:
数据
ClusteroccurrenceT_statPercentage
cluster13NonoccurrenceT1

0.014634

cluster13OccurrenceT1

0.029091

cluster19NonoccurrenceT1

0.041284

cluster19OccurrenceT1

0.007634

cluster24NonoccurrenceT1

0.016461

cluster24OccurrenceT1

0.029536

cluster13NonoccurrenceT2

0.107317

cluster13OccurrenceT2

0.141818

cluster19NonoccurrenceT2

0.178899

cluster19OccurrenceT2

0.083969

cluster24NonoccurrenceT2

0.156379

cluster24OccurrenceT2

0.097046

cluster13NonoccurrenceT3

0.834146

cluster13OccurrenceT3

0.8

cluster19NonoccurrenceT3

0.743119

cluster19OccurrenceT3

0.874046

cluster24NonoccurrenceT3

0.781893

cluster24OccurrenceT3

0.848101

cluster13NonoccurrenceT4

0.043902

cluster13OccurrenceT4

0.029091

cluster19NonoccurrenceT4

0.036697

cluster19OccurrenceT4

0.034351

cluster24NonoccurrenceT4

0.045267

cluster24OccurrenceT4

0.025316



不加注释代码:
复制代码
添加注释前

然后我想加上一个注释在那个横线上面:
复制代码
添加注释后
其中Pvalue_T_chisq_df是这样的:
ClusterP_label
Cluster13

0.38

Cluster19

7.62E-04

Cluster24

0.1


我想把注释放在那个短横线上,不知道为啥变成这样,请问有什么解决办法,多谢~

最佳答案

千车麦穗 查看完整内容

你的Pvalue_T_chisp_df文件中Cluster列中的Cluster13、19、24首字母改为小写的,就可以了,刚替你试过了。
二维码

扫码加我 拉你入群

请注明:姓名-公司-职位

以便审核进群资格,未注明则拒绝

全部回复
2023-10-18 15:54:43
你的Pvalue_T_chisp_df文件中Cluster列中的Cluster13、19、24首字母改为小写的,就可以了,刚替你试过了。
二维码

扫码加我 拉你入群

请注明:姓名-公司-职位

以便审核进群资格,未注明则拒绝

栏目导航
热门文章
推荐文章

说点什么

分享

扫码加好友,拉您进群
各岗位、行业、专业交流群