全部版块 我的主页
论坛 提问 悬赏 求职 新闻 读书 功能一区 经管文库(原现金交易版)
210 0
2023-11-14
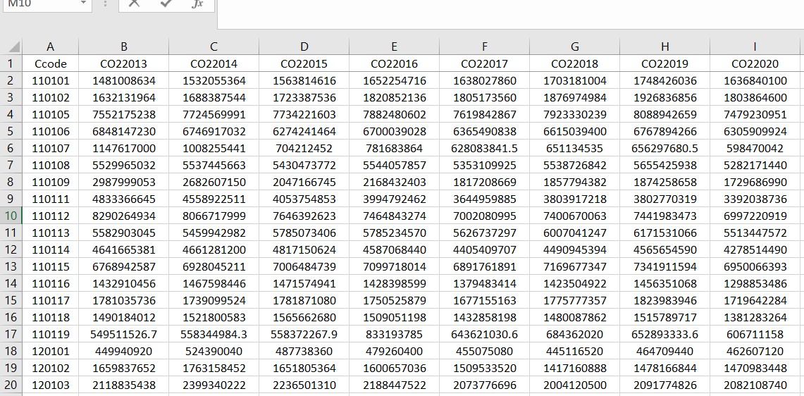
附件为更新到最新年份2020年的县区级碳排放数据集Excel版,其他年份的任何空间尺度碳排放数据定制请留言或地球Dr_888666888. 除了碳排放数据还有大气污染数据集,源数据来自权威MIXC数据,经本团队利用ArcGIS处理而成。
数据集截图如下:

附件列表
Screenshot 2023-11-14 002524.jpg

原图尺寸 298.23 KB

Screenshot 2023-11-14 002524.jpg

China_County_CO2_Inventory_2013-2020.xlsx

大小:266.52 KB

只需: RMB 10 元  马上下载

更新到最新年份2020年县区级碳排放数据

二维码

扫码加我 拉你入群

请注明:姓名-公司-职位

以便审核进群资格,未注明则拒绝

相关推荐
栏目导航
热门文章
推荐文章

说点什么

分享

扫码加好友,拉您进群
各岗位、行业、专业交流群