全部版块 我的主页
论坛 经济学论坛 三区 微观经济学 经济金融数学专区
2024-8-21 20:14:48
QQ图片20240821201344.png

解:
                   \[I=\iint\limits_{D}|x-y|dxdy=\iint\limits_{D_1}(x-y)dxdy+\iint\limits_{D_2}(-x+y)dxdy.\]
                     其中\[D_1\begin{cases}
x-y> 0\\
(x-\frac{a}{2})^2+y^2\le (\frac{a}{2})^2.
\end{cases}\]\[D_2\begin{cases}
x-y<  0\\
(x-\frac{a}{2})^2+y^2\le (\frac{a}{2})^2.
\end{cases}\]
                利用极坐标求解。\[r=a\cos \theta ,J=r.\]
                 积分区域:\[D_1=\{(\theta ,r),|\frac{\pi}{4}\le \theta\le \frac{\pi}{2},0\le r\le a\cos \theta\},\]\[D_2=\{(\theta ,r),|\frac{-\pi}{2}\le \theta\le \frac{\pi}{4},0\le r\le a\cos \theta\}.\]
                如此\[\begin{align*}I&=\iint\limits_{D_1}(x-y)dxdy+\iint\limits_{D_2}(-x+y)dxdy\\
&=\int\limits_{\frac{\pi}{4}}^{\frac{\pi}{2}}d\theta\int_{0}^{a\cos \theta} (r\cos\theta-r\sin\theta)rdr+\int\limits_{\frac{-\pi}{2}}^{\frac{\pi}{4}}d\theta\int_{0}^{a\cos \theta} (-r\cos\theta+r\sin\theta)rdr\\
&=\cdots
\end{align*}\]


二维码

扫码加我 拉你入群

请注明:姓名-公司-职位

以便审核进群资格,未注明则拒绝

2024-8-23 11:48:44
QQ图片20240823114650.png


            \[\begin{align*}\displaystyle\sum_{n=2}^{\infty}\frac{1}{2^n(n^2-1)}
&=\displaystyle\sum_{n=2}^{\infty}\frac{1}{2^{n+1}}[\frac{1}{n-1}-\frac{1}{n+1}] \\
&=\displaystyle\sum_{n=2}^{\infty}\frac{1}{2^{n+1}}\frac{1}{n-1}-\displaystyle\sum_{n=2}^{\infty}\frac{1}{2^{n+1}}\frac{1}{n+1} \\
&=\displaystyle\sum_{n=1}^{\infty}\frac{1}{2^{n+2}}\frac{1}{n}-\displaystyle\sum_{n=1}^{\infty}\frac{1}{2^{n+2}}\frac{1}{n+2}\\
&=\frac{1}{4}\displaystyle\sum_{n=1}^{\infty}\frac{1}{2^{n}}\frac{1}{n}-\displaystyle\sum_{n=1}^{\infty}\frac{1}{2^{n+2}}\frac{1}{n+2}.
\end{align*}\]               令\[f(x)=\displaystyle\sum_{n=1}^{\infty}\frac{1}{n}x^{-n},\]
                则\[f'(x)=(\displaystyle\sum_{n=1}^{\infty}\frac{1}{n}x^{-n})'=-\displaystyle\sum_{n=1}^{\infty}x^{-n-1}=\frac{1}{x(1-x)}.\]
                 因此有\[f(x)=\ln \frac{x}{x-1}.x>1.\]\[x=2,f(2)=\displaystyle\sum_{n=1}^{\infty}\frac{1}{n}2^{-n}=\ln2.\]
              同样的,令\[f(x)=\displaystyle\sum_{n=1}^{\infty}\frac{1}{n+2}x^{-n-2},\]
                则\[f'(x)=\frac{1}{x(x-1)},f(x)=\ln \frac{x}{x-1},x>1.\]\[x=2,f(2)=\displaystyle\sum_{n=1}^{\infty}\frac{1}{n+2}2^{-n-2}=\ln2.\]\[\therefore \displaystyle\sum_{n=2}^{\infty}\frac{1}{2^n(n^2-1)}=\frac{1}{4}\ln2-\ln2=-\frac{3}{4}\ln2.\]


二维码

扫码加我 拉你入群

请注明:姓名-公司-职位

以便审核进群资格,未注明则拒绝

2024-8-23 11:49:07
QQ图片20240823114711.png


                    因为\[\because \frac{x^{p-1}}{1+x}\backsim x^{p-2}.\]
                    所以,由反常积分性质可知\[p<3, \int\limits_{0}^{+\infty}\frac{x^{p-1}}{1+x}< \infty,\]\[p\geqslant 3.\int\limits_{0}^{+\infty}\frac{x^{p-1}}{1+x}=\infty.\]


二维码

扫码加我 拉你入群

请注明:姓名-公司-职位

以便审核进群资格,未注明则拒绝

2024-8-24 08:55:54
QQ图片20240824085443.png


        (1)、\[\lim_{x\to0}\frac{\sqrt{1+\tan x}-\sqrt{1-\tan x}}{\sin x}=\lim_{x\to0}\frac{2\tan x}{\sin x(\sqrt{1+\tan x}+\sqrt{1-\tan x})}=\lim_{x\to0}\frac{1}{\cos x}=1.\]

         (2)、\[\begin{align*}\lim_{x\to1}(\frac{k}{1-x^k}-\frac{l}{1-x^l})&=\lim_{x\to1}(\frac{k}{(1-x)(1+x+\cdots+x^{k-1})}-\frac{l}{(1-x)(1+x+\cdots+x^{l-1})}) \\
&=\lim_{x\to1}(\frac{k(1+x+\cdots+x^{l-1})-l(1+x+\cdots+x^{k-1})}{(1-x)(1+x+\cdots+x^{k-1})(1+x+\cdots+x^{l-1})} \\
&=\lim_{x\to1}(\frac{k(1+x+\cdots+x^{l-1})-l(1+x+\cdots+x^{k-1})}{kl(1-x)}\\
&=\frac{1}{kl}\lim_{x\to1}[(l-k)(1+2x+\cdots+(k-1)x^{k-2})-k^2x^{k-1}-\cdots-k(l-1)x^{l-2}]\\
&=\frac{1}{kl}\lim_{x\to1}[(l-k)(1+2+\cdots+(k-1))-k^2-\cdots-k(l-1)]
\end{align*}\]

二维码

扫码加我 拉你入群

请注明:姓名-公司-职位

以便审核进群资格,未注明则拒绝

2024-8-24 08:56:19
QQ图片20240824085508.png


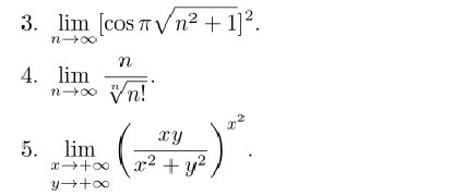
      3、\[\lim_{n\to\infty}[\cos\pi\sqrt{n^2+1}]^2=\lim_{n\to\infty}[\cos n\pi\sqrt{1+\frac{1}{n^2}}]^2=1.\]      4、\[\lim_{n\to\infty}\frac{n}{\sqrt[n]{n!}}=\lim_{n\to\infty}\sqrt[n]{\frac{n^n}{n!}}=\lim_{n\to\infty}e^{-\displaystyle\frac{1}{n}\sum_{k=1}^{n}\ln\frac{k}{n}}=e^{-\displaystyle\int_{0}^{1}\ln xdx}=e^{\displaystyle(x-x\ln x)|_0^1}=e.\]
       5、\[\because 0\le \lim_{x,y\to+\infty}(\frac{xy}{x^2+y^2})^{x^2}\le \lim_{x,y\to+\infty}(\frac{xy}{2xy})^{x^2}=0.\]\[\therefore \lim_{x,y\to+\infty}(\frac{xy}{x^2+y^2})^{x^2}=0.\]

二维码

扫码加我 拉你入群

请注明:姓名-公司-职位

以便审核进群资格,未注明则拒绝

2024-8-24 11:55:51
QQ图片20240824115434.png


             由已知条件,可知\[\begin{align*}\lim_{x\to0}(\frac{\sin x}{x^3}+\frac{f(x)}{x^2})
&=\lim_{x\to0}(\frac{\sin x+xf(x)}{x^3}) \\
&=\lim_{x\to0}(\frac{\cos x+f(x)+xf'(x)}{3x^2}) \\
&=\lim_{x\to0}(\frac{-\sin x+2f'(x)+xf''(x)}{6x})\\
&=0.
\end{align*}\]
            从而由\[\lim_{x\to0}(\frac{\sin x+xf(x)}{x^3})=0,\]\[\Rightarrow \sin x+xf(x)=o(x^4),f(0)=-1.\]
             再由\[\lim_{x\to0}(\frac{\cos x+f(x)+xf'(x)}{3x^2})=0,\]\[\Rightarrow \cos x+f(x)+xf'(x)=o(x^3).f'(0)=0.\]
              同理\[\lim_{x\to0}(\frac{-\sin x+2f'(x)+xf''(x)}{6x})=0,\]\[\Rightarrow -\sin x+2f'(x)+xf''(x)=o(x^2),f''(0)=1.\]

二维码

扫码加我 拉你入群

请注明:姓名-公司-职位

以便审核进群资格,未注明则拒绝

2024-8-24 11:56:13
QQ图片20240824115451.png


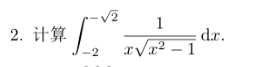
            \[\begin{align*}\int_{-2}^{-\sqrt{2}}\frac{1}{x\sqrt{x^2-1}}dx
&=\int_{2}^{\sqrt{2}}\frac{1}{x\sqrt{x^2-1}}dx \\
&=\int_{2}^{\sqrt{2}}\frac{1}{x^2}d\sqrt{x^2-1} \\
&=\int_{2}^{\sqrt{2}}\frac{1}{x^2-1+1}d\sqrt{x^2-1} \\
&=\arctan \sqrt{x^2-1}|_2^{\sqrt{2}}\\
&=\arctan 1-\arctan \sqrt{3}\\
&=\frac{\pi}{4}-\frac{\pi}{3}\\
&=-\frac{\pi}{12}.
\end{align*}\]

二维码

扫码加我 拉你入群

请注明:姓名-公司-职位

以便审核进群资格,未注明则拒绝

2024-8-24 11:56:39
QQ图片20240824115508.png


              \[\begin{align*}V=\iiint\limits_{\Omega }xdxdydz
&=\int_{0}^{1}xdx\int_{0}^{1-x}dy\int_{0}^{1-x-2y}dz \\
&=\int_{0}^{1}xdx\int_{0}^{\frac{1-x}{2}}(1-x-2y)dy \\
&=\frac{1}{4}\int_{0}^{1}x(1-x)^2dx \\
&=\frac{1}{48}.
\end{align*}\]

二维码

扫码加我 拉你入群

请注明:姓名-公司-职位

以便审核进群资格,未注明则拒绝

2024-8-24 11:57:05
QQ图片20240824115528.png


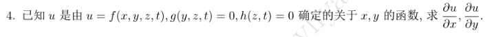
               \[令\begin{cases}
F(x,y,u,s,t)=f(x,y,z,t)-u\\
G(x,y,u,s,t)=g(y.z.t)\\
H(x,y,u,s,t)=h(z.t)
\end{cases}\]于是\[\frac{\partial u}{\partial x}=\frac{\frac{\partial (F,G,H)}{\partial (x,z,t)}}{\frac{\partial (F,G,H)}{\partial (u,z,t)}},\]\[\frac{\partial u}{\partial y}=\frac{\frac{\partial (F,G,H)}{\partial (y,z,t)}}{\frac{\partial (F,G,H)}{\partial (u,z,t)}},\]

二维码

扫码加我 拉你入群

请注明:姓名-公司-职位

以便审核进群资格,未注明则拒绝

2024-8-24 18:28:44
QQ图片20240824182617.png

证明
              此题看起来是明显的。但证明起来,有些绕。分析已知条件和结论,要证明结论成立,就应有\[\forall\varepsilon> 0,\forall x\in\mathbb{R},\exists N_1,n> N_1,s.t.\]\[|f(x)-A|\le |f(x)-f(a_{N_1})|+|f(a_{N_1})-A|< \frac{\varepsilon}{2}+ \frac{\varepsilon}{2}=\varepsilon.\]如果要证明这个式子,关键是要证明\[ |f(x)-f(a_{N_1})|< \frac{\varepsilon}{2}.\]              首先我们证明\[\forall x,f(x)\le A.\]用反证法,即假设它不成立,也即\[\exists x_0> 0,s.t.f(x_0)> A.\]    由给定条件,\[\because f(x)\uparrow ,\therefore x> x_0,f(x)\geqslant f(x_0).\]因此\[\exists N,n> N,a_n> x_0,s.t.f(a_n)\geqslant f(x_0).\]\[\Rightarrow A=f(a_n)\geqslant f(x_0),(n\to\infty),\]明显与假设矛盾。故必有\[\forall x,f(x)\le A.\]
再者。\[\because \lim_{n\to\infty}f(a_n)=A,\therefore \forall \varepsilon > 0,\]\[\exists N_1> 0,n> N_1,s.t.|f(a_{N_1})-A|< \frac{\varepsilon }{2}.\]又由函数的单调性和上面的结论,就得到\[A-\frac{\varepsilon }{2}< f(a_{N_1})<A+ \frac{\varepsilon }{2}.\]当\[x> a_{N_1},A-\frac{\varepsilon }{2}< f(a_{N_1})\le f(x)\le A,\rightarrow |f(x)-f(a_N)|< \frac{\varepsilon }{2}.\]
    综合就有\[|f(x)-A|\le |f(x)-f(a_{N_1})|+|f(a_{N_1})-A|< \frac{\varepsilon}{2}+ \frac{\varepsilon}{2}=\varepsilon.\]


二维码

扫码加我 拉你入群

请注明:姓名-公司-职位

以便审核进群资格,未注明则拒绝

2024-8-24 18:29:10
QQ图片20240824182647.png

证明
            由已知条件,函数在所给区间上单调增,所以\[\forall x\in[a,b],(x-\frac{a+b}{2})(f(x)-f(\frac{a+b}{2}))\geqslant 0.\]\[\because \int_{a}^{b}(x-\frac{a+b}{2})f(\frac{a+b}{2})dx=f(\frac{a+b}{2})\int_{a}^{b}(x-\frac{a+b}{2})dx=0.\]\[\begin{align*}\therefore \int_{a}^{b}(x-\frac{a+b}{2})f(x)dx
&=\int_{a}^{b}(x-\frac{a+b}{2})f(x)dx-\int_{a}^{b}(x-\frac{a+b}{2})f(\frac{a+b}{2})dx \\
&=\int_{a}^{b}(x-\frac{a+b}{2})(f(x)-f(\frac{a+b}{2}))dx \\
& \geqslant 0.
\end{align*}\]

二维码

扫码加我 拉你入群

请注明:姓名-公司-职位

以便审核进群资格,未注明则拒绝

2024-8-24 18:29:41
QQ图片20240824182711.png

证明
              \[\because |\frac{nx}{1+n^5x^2}|<|\frac{nx}{1+n^5x}|<|\frac{nx}{n^5x}| =\frac{1}{n^4}=0,(n\to\infty)\]而\[\displaystyle\sum_{n=1}^{\infty}\frac{1}{n^4}< \infty.\]
            因此,函数项级数一致收敛。(级数的收敛与变量和变量取值区间无关)

二维码

扫码加我 拉你入群

请注明:姓名-公司-职位

以便审核进群资格,未注明则拒绝

2024-8-24 18:30:17
QQ图片20240824182742.png

证明
                  \[\because \int_{0}^{+\infty}f(x)dx< \infty,|e^{-ux}|\le 1.e^{-ux}\downarrow .\]\[\therefore \int_{0}^{+\infty}e^{-ux}f(x)dx\Rightarrow < \infty.\]
                 (Weierstrass判别法)
                  再由一致收敛性质,极限与积分可交换:\[\lim_{u\to0^+}\int_{0}^{+\infty}e^{-ux}f(x)dx=\int_{0}^{+\infty}\lim_{u\to0^+}e^{-ux}f(x)dx=\int_{0}^{+\infty}f(x)dx.\]


二维码

扫码加我 拉你入群

请注明:姓名-公司-职位

以便审核进群资格,未注明则拒绝

2024-8-24 18:33:17
QQ图片20240824182808.png

证明
      (1)因为\[\lim_{x,y\to0,0}f(x,y)=\lim_{x,y\to0,0}(x^2+y^2)\sin\frac{1}{x^2+y^2}=0=f(0,0).\]
               所以,函数在(0,0)连续。

      (2)由于\[\frac{\partial f(0,0)}{\partial x}=\lim_{x\to0}\frac{f(x,0)-f(0,0)}{x-0}=\lim_{x\to0}\frac {x^2\sin\frac{1}{x^2}-0}{x}=0.\]\[\frac{\partial f(0,0)}{\partial y}=\lim_{y\to0}\frac{f(0,y)-f(0,0)}{y-0}=\lim_{y\to0}\frac {y^2\sin\frac{1}{y^2}-0}{y}=0.\]
               偏导数存在。

         (3)函数的偏导数为\[\frac{\partial f(x,y)}{\partial x}=2x\sin\frac{1}{x^2+y^2}+\frac{2x}{x^2+y^2}\cos\frac{1}{x^2+y^2},\]\[\frac{\partial f(x,y)}{\partial y}=2y\sin\frac{1}{x^2+y^2}+\frac{2y}{x^2+y^2}\cos\frac{1}{x^2+y^2},\]
                由于\[\lim_{x\to0}\frac{\partial f(x,y)}{\partial x}=0,\]\[\lim_{y\to0}\frac{\partial f(x,y)}{\partial x}==2x\sin\frac{1}{x^2}+\frac{2}{x}\cos\frac{1}{x^2}\ne 0\ne \frac{\partial f(0,0)}{\partial x},\]
                因此,$\frac{\partial f(x,y)}{\partial x}$在$(0,0)$不连续。
                同样的,由对称性知$\frac{\partial f(x,y)}{\partial y}$在$(0,0)$也不连续。
          (4)因为$\frac{\partial f(0,0)}{\partial x},\frac{\partial f(0,0)}{\partial y}$存在,所以$df(0,0)$存在,且为$0$.\[df(0,0)=\frac{\partial f(0,0)}{\partial x}dx+\frac{\partial f(0,0)}{\partial y}dy=0.\]




二维码

扫码加我 拉你入群

请注明:姓名-公司-职位

以便审核进群资格,未注明则拒绝

2024-8-26 10:44:39
QQ图片20240826104205.png


            利用等价无穷小求解,太费时间,略。
二维码

扫码加我 拉你入群

请注明:姓名-公司-职位

以便审核进群资格,未注明则拒绝

2024-8-26 10:45:04
QQ图片20240826104227.png


             \[\begin{align*}\int_{-\frac{\pi}{2}}^{\frac{\pi}{2}}\frac{1+\sin3x}{1+\cos^2x}dx
&=\int_{-\frac{\pi}{2}}^{\frac{\pi}{2}}\frac{1}{1+\cos^2x}dx+\int_{-\frac{\pi}{2}}^{\frac{\pi}{2}}\frac{\sin3x}{1+\cos^2x}dx \\
&=2\int_{0}^{\frac{\pi}{2}}\frac{1}{1+\cos^2x}dx \\
&=2\int_{0}^{\frac{\pi}{2}}\frac{1}{1+\sec^2x}d\tan x\\
&=2\int_{0}^{\frac{\pi}{2}}\frac{1}{2+\tan^2x}d\tan x\\
&=\sqrt{2}\int_{0}^{\frac{\pi}{2}}\frac{1}{1+\frac{1}{2}\tan^2x}d(\frac{\tan x}{\sqrt{2}})\\
&=\sqrt{2}\arctan (\frac{\tan x}{\sqrt{2}})|_0^{\frac{\pi}{2}}\\
&=\frac{\sqrt{2}}{2}\pi.
\end{align*}\]

二维码

扫码加我 拉你入群

请注明:姓名-公司-职位

以便审核进群资格,未注明则拒绝

2024-8-26 10:46:38
QQ图片20240826104252.png

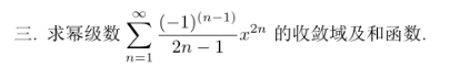
        \[\displaystyle\sum_{n=1}^{\infty}\frac{(-1)^{n-1}}{2n-1}x^{2n}=x\displaystyle\sum_{n=1}^{\infty}\frac{(-1)^{n-1}}{2n-1}x^{2n-1}.\]\[(x\displaystyle\sum_{n=1}^{\infty}\frac{(-1)^{n-1}}{2n-1}x^{2n-1})'=\displaystyle\sum_{n=1}^{\infty}\frac{(-1)^{n-1}}{2n-1}x^{2n-1}+x\displaystyle\sum_{n=1}^{\infty}(-1)^{n-1}x^{2n-2}.\]\[\because x\displaystyle\sum_{n=1}^{\infty}(-1)^{n-1}x^{2n-2}=\frac{x}{1+x},\]\[(\displaystyle\sum_{n=1}^{\infty}\frac{(-1)^{n-1}}{2n-1}x^{2n-1})'=\frac{1}{1+x}.\]\[\therefore (x\displaystyle\sum_{n=1}^{\infty}\frac{(-1)^{n-1}}{2n-1}x^{2n-1})'=\ln(1+x)+\frac{x}{1+x}.\]\begin{align*}\displaystyle\sum_{n=1}^{\infty}\frac{(-1)^{n-1}}{2n-1}x^{2n} &=\int(\ln(1+x)+\frac{x}{1+x})dx \\
&=\int\ln(1+x)dx+\int\frac{x}{1+x}dx \\
&=x\ln(1+x)-\int\frac{x}{1+x}dx+\int\frac{x}{1+x}dx\\
& =x\ln(1+x).
\end{align*}\]


二维码

扫码加我 拉你入群

请注明:姓名-公司-职位

以便审核进群资格,未注明则拒绝

2024-8-26 10:47:03
QQ图片20240826104314.png


                 由所给二元函数\[f(x,y)=x^2(2+y^2)+y\ln y,f'_2(x,y)\]
                 可以将其看作两部分\[f_1(x,y)=x^2(2+y^2)\geqslant 0.\Rightarrow f_{1\min }=0.\]\[f_2(x,y)=y\ln y,f'_2(x,y)=\ln y+1=0,y=e^{-1},f''_2(x,y)=\frac{1}{y}=e> 0,\Rightarrow f_{2\min }=-\frac{1}{e}.\]因此有极小值\[f(x,y)=f_1(x,y)+f_2(x,y)\geqslant -\frac{1}{e}.\]
               而两部分函数均无上界,因此$f(x,y)$无极大值.

二维码

扫码加我 拉你入群

请注明:姓名-公司-职位

以便审核进群资格,未注明则拒绝

2024-8-26 19:08:58
QQ图片20240826190718.png
证明
                   \[\because \lim_{n\to\infty}\frac{a_n}{a_{n+1}}=l> 1.\]\[\therefore \lim_{n\to\infty}\frac{a_{n+1}}{a_{n}}=\frac{1}{l},\]
                    由此\[\forall \varepsilon > 0,\exists N> 0,N\in \mathbb{N},n> N,s.t.\]\[|\frac{a_{n+1}}{a_{n}}-\frac{1}{l}|< \varepsilon .\]\[\Rightarrow a_{n+1}< \frac{a_n}{l}+\varepsilon a_n=(\frac{1}{l}+\varepsilon )a_n.\frac{1}{l}+\varepsilon< 1.\]
                   于是有\[a_{n+1}<(\frac{1}{l}+\varepsilon )a_n< (\frac{1}{l}+\varepsilon )^2a_{n-1}< \cdots < (\frac{1}{l}+\varepsilon )^{n+1}a_1=0.(n\to\infty) \]
                      又因为$a_{n+1}> 0.$
                      所以得\[\lim_{n\to\infty}a_n=0.\]


二维码

扫码加我 拉你入群

请注明:姓名-公司-职位

以便审核进群资格,未注明则拒绝

2024-8-26 19:09:20
QQ图片20240826190738.png


                设\[f(x)=\ln^2x-2\ln x+2x+k,\]
                则\[f'(x)=\frac{2\ln x}{x}-\frac{2}{x}+2=\frac{2}{x}(\ln x-1+x)=0.\]
                由此得到$x=1$为函数$f(x)$可能极值点。进一步判断\[f''(1)=2\frac{x\frac{1}{x}+x-\ln x+1-x}{x^2}=\frac{2(2-\ln x)}{x^2}=4> 0.\]
               所以,$x=1$为函数$f(x)$可能极小值点。又因为\[x< 1,f'(x)< 0,f(x)\downarrow ,\]\[x> 1,f'(x)> 0,f(x)\uparrow .\]
               从而可知函数在$x=1$两侧单调,因此$x=1$是函数唯一一个极值点。因而\[f(1)=2+k\begin{cases}
> 0&, k> -2,无实根\\
=0&, k=-2,单根\\
< 0&,k< -2,有二个实根
\end{cases}\]

二维码

扫码加我 拉你入群

请注明:姓名-公司-职位

以便审核进群资格,未注明则拒绝

2024-8-26 19:09:47
QQ图片20240826190758.png


               由泰勒展开公式得\[xe^{-\frac{x}{2}}=x\displaystyle\sum_{n=0}^{\infty}\frac{(-\frac{x}{2})^n}{n!}.\]\[\ln (1+x)=\displaystyle\sum_{n=0}^{\infty}\frac{(-1)^n}{n+1}x^{n+1}=\displaystyle\sum_{n=1}^{\infty}\frac{(-1)^{n-1}}{n}x^{n}.\]
               第$n$项为\[\frac{(-1)^{n-1}}{2^{n-1}(n-1)!}x^n-\frac{(-1)^{n-1}}{n}x^{n}=[\frac{(-1)^{n-1}}{2^{n-1}(n-1)!}-\frac{(-1)^{n-1}}{n}]x^n=(-1)^{n-1}\frac{n-2^{n-1}(n-1)!}{2^{n-1}n!}x^n.\]
               比较得\[\alpha =(-1)^{n-1}\frac{n-2^{n-1}(n-1)!}{2^{n-1}n!}.\]
二维码

扫码加我 拉你入群

请注明:姓名-公司-职位

以便审核进群资格,未注明则拒绝

2024-8-26 19:10:15
QQ图片20240826190828.png


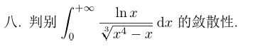
           \[\int_{0}^{+\infty }\frac{\ln x}{\sqrt[3]{x^4-x}}dx=\int_{0}^{1 }\frac{\ln x}{\sqrt[3]{x^4-x}}dx+
\int_{1}^{+\infty }\frac{\ln x}{\sqrt[3]{x^4-x}}dx.\]
             显然,\[\int_{0}^{1 }\frac{\ln x}{\sqrt[3]{x^4-x}}dx< \infty .\]
             由于\[\ln x\le x,\]而\[\frac{\ln x}{\sqrt[3]{x^4-x}}\backsim \frac{x}{x^{\frac{4}{3}}}=x^{-\frac{1}{3}},\]
             从而\[\int_{1}^{+\infty }\frac{\ln x}{\sqrt[3]{x^4-x}}dx\le \int_{1}^{+\infty }x^{-\frac{1}{3}}dx< \infty .\]\[\therefore \int_{0}^{+\infty }\frac{\ln x}{\sqrt[3]{x^4-x}}dx< \infty .\]


二维码

扫码加我 拉你入群

请注明:姓名-公司-职位

以便审核进群资格,未注明则拒绝

2024-8-27 17:10:58
QQ图片20240827170921.png


      此题可以用变换坐标来求解。但是从图形上看,下面是一个圆锥体,上面是个半球体。因此,所求体积是两部分相加。其中:
       半球体的体积为\[\frac{1}{2}\frac{4}{3}\pi r^3=\frac{2}{3}\pi.\]
        圆锥体的体积为\[\frac{1}{3}\pi r^2h=\frac{1}{3}\pi.\]
         因此所求体积为\[\frac{2}{3}\pi+\frac{1}{3}\pi=\pi.\]

二维码

扫码加我 拉你入群

请注明:姓名-公司-职位

以便审核进群资格,未注明则拒绝

2024-8-27 17:11:19
QQ图片20240827170940.png


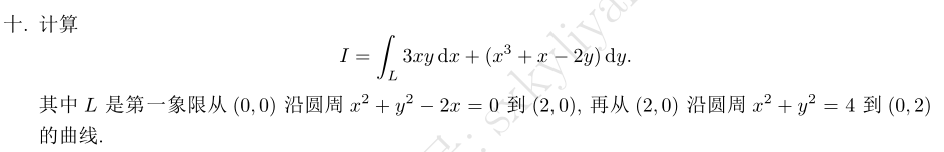
           根据积分曲线,为方便计算,可将积分区域分为两部分,分别添加辅助曲线使之得两个闭合区域。再用格林公式分别求解之,并注意到曲线积分的方向。令\[P=3xy,Q=x^3+x-2y.\]\[\frac{\partial P}{\partial y}=3x,\frac{\partial Q}{\partial x}=3x^2+1.\]\[I=\iint\limits_{D}(\frac{\partial P}{\partial y}-\frac{\partial Q}{\partial x})dxdy=\iint\limits_{D}(3x-3x^2-1)dxdy.\]          $$D_1:\{L_1:(x-1)^2+y^2=1,y=0\}$$\[x=\rho \cos \theta ,y=\rho \sin \theta,0\le \rho\le 2,0\le \theta \le \frac{\pi}{2}.\]\[I_1=-\iint\limits_{D_1}(3x-3x^2-1)dxdy=-\int_{0}^{2}\rho d\rho\int_{0}^{\frac{\pi}{2}}(3\rho \cos \theta-3(\rho \cos \theta)^2-1)d\theta =-8+\frac{5}{2}\pi.\]           $$D_2:\{L_2:x^2+y^2=4.x=0,\}$$\[x=r\cos \theta,y=r\sin \theta,0\le r\le 2,0\le \theta \le \frac{\pi}{2}.\]\[I_2=\iint\limits_{D_2}(3x-3x^2-1)dxdy=\int_{0}^{\frac{\pi}{2}}d\theta \int_{0}^{2}(3r \cos \theta-3(r \cos \theta)^2-1)rdr=8-4\pi.\]
          因此\[I=I_1+I_2=-8+\frac{5}{2}\pi+8-4\pi=-\frac{3}{2}\pi.\]

二维码

扫码加我 拉你入群

请注明:姓名-公司-职位

以便审核进群资格,未注明则拒绝

2024-8-27 17:11:51
QQ图片20240827170956.png


           基础计算题。利用高斯公式\[\begin{align*}I
&=\iint\limits_{\Sigma }(x^2+1)dydz-2ydzdx+3zdxdy \\
&=\iiint\limits_{\Omega }(2x-2+3)dxdydz \\
&=\int_{0}^{1}(2x+1) dx\int_{0}^{2-2x}dy\int_{0}^{1-x-\frac{1}{2}y}dz\\
&=\int_{0}^{1} (2x+1)dx\int_{0}^{2-2x}(1-x-\frac{1}{2}y)dy\\
&=\int_{0}^{1} (2x+1)(1-2x+x^2)dx\\
&=\frac{1}{2}.
\end{align*}\]

二维码

扫码加我 拉你入群

请注明:姓名-公司-职位

以便审核进群资格,未注明则拒绝

2024-8-27 17:12:13
QQ图片20240827171024.png


           1、当$0< \alpha \le 1,\forall x\in[0,1]$时,\[\because (1-x)^\alpha +x^\alpha \geqslant (1-x)+x=1,\Rightarrow 1-x^\alpha\le (1-x)^\alpha .\]\[\forall x_1,x_2\in[0,+\infty),x_1> x_2,\]\[|x_1^\alpha-x_2^\alpha|=x_1^\alpha|1-(\frac{x_2}{x_1})^\alpha |\le x_1^\alpha|1-\frac{x_2}{x_1}|^\alpha =|x_1-x_2|^\alpha<\delta ^\alpha = \varepsilon .(\forall \delta ,\forall \varepsilon > 0,|x_1-x_2|< \delta,\varepsilon=\delta^\alpha  )\]
              由此得到,当$0< \alpha \le 1$时,$f(x)=x^\alpha$在$[0,+\infty)$上一致收敛.
          2、当$\alpha > 1$时,\[\because |(x+\lambda )^\alpha-x^\alpha|=x^{\alpha -1}x|(1+\frac{\lambda }{x})^\alpha -1|=x^{\alpha -1}\lambda \frac{(1+t)^\alpha -1}{t}=x^{\alpha -1}\lambda \alpha =\infty,(t=\frac{\lambda }{x},x\to\infty).\]
              因此,当$0< \alpha \le 1$时,$f(x)=x^\alpha$在$[0,+\infty)$上非一致收敛.

二维码

扫码加我 拉你入群

请注明:姓名-公司-职位

以便审核进群资格,未注明则拒绝

2024-8-28 18:56:27
QQ图片20240828185437.png

证明
                 \[\because |\frac{(-1)^n}{x^2+n}|\le \frac{1}{n}=0,(n\to\infty)\]
                函数项级数一致收敛。
二维码

扫码加我 拉你入群

请注明:姓名-公司-职位

以便审核进群资格,未注明则拒绝

2024-8-28 18:57:04
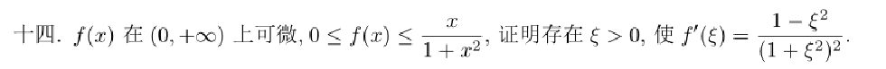
QQ图片20240828185506.png

证明
                令\[F(x)=f(x)-\frac{x}{1+x^2}.\]
                $\because f(x)$可微,$\therefore F(x)\in C(0,+\infty).$\[\because f(x)\le \frac{x}{1+x^2}=0,(x\to 0),\therefore F(0)=0,\]\[\because f(x)\le \frac{x}{1+x^2}=0,(x\to +\infty),\therefore F(x)=0,(x\to +\infty)\]
               由中值定理可知\[\exists \xi\in (0,+\infty),s.t. F'(\xi)=f'(\xi)-\frac{1-\xi}{(1+\xi^2)^2}=0.\]
                即\[f'(\xi)=\frac{1-\xi}{(1+\xi^2)^2}.\]
二维码

扫码加我 拉你入群

请注明:姓名-公司-职位

以便审核进群资格,未注明则拒绝

2024-8-28 18:57:28
QQ图片20240828185530.png

证明
       (1)、由已知条件,可知\[\because |x_{n+1}-x_n|=|f(x_n)-f(x_{n-1})|=f('\xi)|x_n-x_{n-1}|\le \frac{1}{2}|x_n-x_{n-1}|\le \cdots \le \frac{1}{2^{n-1}}|f(1)-f(0)|\le \frac{1}{2^n}.\]\[\therefore \displaystyle\sum_{n=1}^{\infty}|x_{n+1}-x_n|\le \frac{1}{2}+\frac{1}{2^2}+\cdots +\frac{1}{2^n}+\cdots=1.\]
                  即级数绝对收敛。
        (2)、由已知条件及上面的结论,知级数部分和的极限存在\[S_N=\displaystyle\sum_{n=1}^{N}(x_{n+1}-x_n)=x_{N+1}-x_1=x_{N+1}-f(0)=x_{N+1}-1.\]\[\lim_{N\to\infty}x_{N+1}-1= \lim_{N\to\infty}S_N\le1.\]\[\therefore 0\le\lim_{n\to\infty}x_{n}\le 2.\]


二维码

扫码加我 拉你入群

请注明:姓名-公司-职位

以便审核进群资格,未注明则拒绝

2024-8-30 16:19:15
中南大学2024
QQ图片20240830161658.png

证明
          (1)、\[\because f(0,y)=\frac{2y^4}{y^2}=2y^2\to 0,(x,y)\rightarrow (0,0),\]\[f(x,0)=\frac{x^3}{x^2}=x\rightarrow 0,(x,y)\rightarrow (0,0),\]\[y=kx,(k\ne 0),f(x,y)=\frac{x^3(1+k+k^2+2k^4x)}{x^2(1+k^2)}=\frac{x(1+k+k^2+2k^4x)}{1+k^2}\rightarrow 0,(x,y)\rightarrow (0,0),\]\[\therefore \lim_{x,y\to0}f(x,y)=f(0,0).\]
                      即有$f(x,y)$在$(0,0)$连续。

             (2)(3)参照44#,略。




二维码

扫码加我 拉你入群

请注明:姓名-公司-职位

以便审核进群资格,未注明则拒绝

栏目导航
热门文章
推荐文章

说点什么

分享

扫码加好友,拉您进群
各岗位、行业、专业交流群