全部版块 我的主页
论坛 经济学论坛 三区 微观经济学 经济金融数学专区
2024-8-30 16:20:12
中南大学2024
QQ图片20240830161722.png

证明
              由已知条件及Roll中值定理,\[\forall x,y\in (0,1),\exists \xi \in (x,y),f(x)-f(y)=f'(\xi )(x-y).\]\[\because |f(x)-f(y)|\leqslant |x-y|^2.\]\[\therefore |f'(\xi )|\leqslant |x-y|.\]从而\[\forall \varepsilon > 0,x,y\in (0,1),\exists \delta > 0,0< |x-y|< \delta ,\exists \xi \in (x,y),s.t.\]\[|f'(\xi )|\leqslant |x-y|< \delta =\varepsilon .\]即有\[f'(x)=0.(x\in(0,1))\Rightarrow f(x)\equiv c.\]



二维码

扫码加我 拉你入群

请注明:姓名-公司-职位

以便审核进群资格,未注明则拒绝

2024-8-30 16:20:46
中南大学2024
QQ图片20240830161751.png

证明
            \[|\int_{0}^{+\infty }f(x)\sin nx dx|\le |\int_{0}^{A}f(x)\sin nx dx|+|\int_{A}^{+\infty }f(x)\sin nx dx|.(A> 0)\]\[对于\forall A> 0,|\int_{0}^{A}\sin nx dx|=|\frac{1-\cos nx}{n}|\le \frac{2}{n}\le 2,一致有界。\]又\[f(x)\in C[0,+\infty ),单调,且\lim_{x\to+\infty }f(x)=0.\]\[因此由狄利克雷判别法可知\int_{A}^{+\infty }f(x)\sin nx dx一致收敛.即\]\[\forall \varepsilon > 0,\exists A> 0,当x> A时,s.t.|\int_{A}^{+\infty }f(x)\sin nx dx|< \frac{\varepsilon }{2}.\]由黎曼引理,对于\[A> 0,有\lim_{n\to\infty }\int_{0}^{+\infty }f(x)\sin nx dx=0.\]所以,\[对于上面的\varepsilon > 0,A> 0,\exists N\in \mathbb{N},当n> N时,s.t.|\int_{0}^{A}f(x)\sin nx dx|< \frac{\varepsilon }{2}.\]综合,得到\[|\int_{0}^{+\infty }f(x)\sin nx dx|\le |\int_{0}^{A}f(x)\sin nx dx|+|\int_{A}^{+\infty }f(x)\sin nx dx|<\frac{\varepsilon }{2}+ \frac{\varepsilon }{2}=\varepsilon .\]结论成立.

二维码

扫码加我 拉你入群

请注明:姓名-公司-职位

以便审核进群资格,未注明则拒绝

2024-8-31 10:12:57
QQ图片20240831100723.png


          (1)\[\lim_{x\to0^+}(\frac{2+e^{\frac{1}{x}}}{1+e^\frac{4}{x}}+\frac{\sin x}{|x|})=\frac{3}{2}+1=\frac{5}{2}.\]\[\lim_{x\to0^-}(\frac{2+e^{\frac{1}{x}}}{1+e^\frac{4}{x}}+\frac{\sin x}{|x|})=\frac{3}{2}-1=\frac{1}{2}.\]           (2)\[\begin{align*}\lim_{x\to0}\frac{1}{x^3}[(\frac{2023+\cos x}{2024})^x-1]
&=\lim_{x\to0}\frac{1}{x^3}[e^{x\ln(1+\frac{\cos x-1}{2024})}-1] \\
&=\lim_{x\to0}\frac{1}{x^3}[e^{x\frac{\cos x-1}{2024}}-1] \\
&=\lim_{x\to0}\frac{1}{x^3}[e^{x\frac{\frac{1}{2}x^2}{2024}}-1]  \\
&=\lim_{x\to0}\frac{1}{x^3}[e^{\frac{x^3}{4048}}-1]  \\
& =\lim_{x\to0}\frac{1}{x^3}\frac{x^3}{4048}\\
&=\frac{1}{4048}.
\end{align*}\]



二维码

扫码加我 拉你入群

请注明:姓名-公司-职位

以便审核进群资格,未注明则拒绝

2024-8-31 10:13:46
QQ图片20240831100746.png

证明
          (1)\[\because x_{n+1}=\ln(1+x_n),\therefore x_n> -1,x_{n+1}< x_n.\]
                                  $\Rightarrow \lim_{n\to\infty}x_n$收敛.
                  令\[\lim_{n\to\infty}x_n=l.\]
                   则有\[l=\ln(1+l),\Rightarrow l=0.\]
           (2)\[\lim_{n\to\infty}\frac{x_nx_{n+1}}{x_n-x_{n+1}}=\lim_{n\to\infty}\frac{x_n\ln(1+x_n)}{x_n-\ln(1+x_n)}.\]\[\because \lim_{n\to\infty}x_n=0,\]                   利用罗必塔法则\[\lim_{x\to0}\frac{x\ln(1+x)}{x-\ln(1+x)}=\lim_{x\to0}\frac{\ln(1+x)+\frac{x}{1+x}}{1-\frac{1}{1+x}}=\lim_{x\to0}\frac{(1+x)\ln(1+x)+x}{x}=\lim_{x\to0}(\ln(1+x)+1+1)=2.\]
                     故有\[\lim_{n\to\infty}\frac{x_nx_{n+1}}{x_n-x_{n+1}}=2.\]
二维码

扫码加我 拉你入群

请注明:姓名-公司-职位

以便审核进群资格,未注明则拒绝

2024-8-31 10:14:34
QQ图片20240831100809.png


          (1)\[f(x)=f'(0)x+\frac{1}{2}f''(\eta )x^2,\eta \in[-1,1]\]
          (2)由上述公式,求积分得到\[\int_{-1}^{1}f(x)dx=f'(0)\int_{-1}^{1}xdx+\frac{1}{2}f''(\eta )\int_{-1}^{1}x^2dx.\]\[\therefore f''(\eta )=3\int_{-1}^{1}f(x)dx,\eta \in[-1,1]\]




二维码

扫码加我 拉你入群

请注明:姓名-公司-职位

以便审核进群资格,未注明则拒绝

2024-8-31 10:15:18
QQ图片20240831100835.png

             此题与武汉理工2024年第七考题相同。参见85#。
         由题意,得\[f(x,y)=x^2-y^2+2.\]\[D:x=r\cos \theta ,y=2r\sin \theta ,r=1,\theta \in [0,2\pi ].\]\[z=f(x,y)=r^2\cos^2 \theta-4r^2\sin ^2\theta+2=\cos^2 \theta-4\sin ^2\theta+2=3-5\sin ^2\theta.\]\[\therefore f_\max =3,f_\min =-2.\]
二维码

扫码加我 拉你入群

请注明:姓名-公司-职位

以便审核进群资格,未注明则拒绝

2024-8-31 10:15:53
QQ图片20240831100858.png


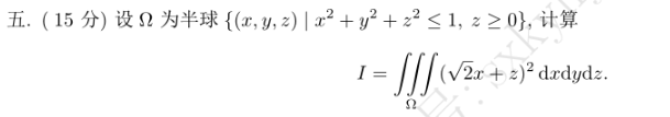
            利用被积函数的奇偶性 \[I=\iiint\limits_{\Omega }(\sqrt{2}x+z)^2dV=\iiint\limits_{\Omega }(2x^2+2\sqrt{2}xz+z^2)dV=\iiint\limits_{\Omega }(2x^2+z^2)dV.\]
              采用球面坐标系计算\[\begin{cases}
x=r\sin \theta \cos \phi ,& 0\le r\le 1\\
y=r\sin \theta\sin \phi , & 0\le \theta \le \frac{\pi}{2}\\
z=r\cos \theta ,& 0\le \phi \le 2\pi
\end{cases}
J=r^2\sin \theta .\]\[\begin{align*}I
&=\int_{0}^{1} r^2dr\int_{0}^{2\pi}d\phi \int_{0}^{\frac{\pi}{2}}(2r^2\sin ^2\theta \cos ^2\phi+r^2\cos ^2\theta)\sin \theta d\theta \\
&=\frac{1}{3}`\int_{0}^{2\pi}(4\cos ^2\phi+1)d\phi \\
&=2\pi \int_{0}^{1} r^4dr\\
&=\frac{2}{5}\pi.
\end{align*}\]


二维码

扫码加我 拉你入群

请注明:姓名-公司-职位

以便审核进群资格,未注明则拒绝

2024-9-2 08:18:27
QQ图片20240902081644.png


         (1)由已知,有\[\frac{\partial P(x,y)}{\partial y}=\frac{2kxy^2(x^2+y^2)^{k-1}-x(x^2+y^2)^{k}}{y^2},\]\[\frac{\partial Q(x,y)}{\partial x}=-\frac{2x(x^2+y^2)^{k}+2kx^3(x^2+y^2)^{k-1}}{y^2}.\]
                  若积分与路径无关,则必须\[\frac{\partial P(x,y)}{\partial y}=\frac{\partial Q(x,y)}{\partial x}.\] \[\therefore k=-\frac{1}{2}.\]
          (2)由上面的结论,得\[P(x,y)=\frac{x}{y\sqrt{x^2+y^2}},Q(x,y)=-\frac{x^2}{y^2\sqrt{x^2+y^2}},\]\[df(x,y)=\frac{\sqrt{x^2+y^2}}{y}(dx+dy),\]\[\therefore f(x,y)=\frac{\sqrt{x^2+y^2}}{y}.\]
              由于积分与路径无关,因此可选简便路径计算\[\begin{align*}I
&=\int_{(1,2)}^{(3,4)}\frac{\sqrt{x^2+y^2}}{y}(dx+dy) \\
&=\int_{(1,2)}^{(3,2)}\frac{\sqrt{x^2+y^2}}{y}(dx+dy)+\int_{(3,2)}^{(3,4)}\frac{\sqrt{x^2+y^2}}{y}(dx+dy) \\
&= \int_{1}^{3}\frac{\sqrt{x^2+4}}{2}dx+\int_{2}^{4}\frac{\sqrt{9+y^2}}{y}dy\\
&=\frac{1}{2}[\frac{x}{2}\sqrt{x^2+4}+2\ln(x+\sqrt{x^2+4})]_1^3+\int_{2}^{4}\frac{\sqrt{9+y^2}}{y}dy\\
&=\frac{1}{2}[\frac{x}{2}\sqrt{x^2+4}+2\ln(x+\sqrt{x^2+4})]_1^3+[\sqrt{9+y^2}-3\ln\frac{3+\sqrt{9+y^2}}{y}]_2^4
\end{align*}\]
二维码

扫码加我 拉你入群

请注明:姓名-公司-职位

以便审核进群资格,未注明则拒绝

2024-9-2 08:18:51
QQ图片20240902081707.png


            添加$z=1$方向向下,$z=2$方向向上,与$\varSigma $组成一个闭合曲面,在此曲面上应用高斯公式。于是\[\begin{align*}I &=\unicode{8751}_{\varSigma +} -\iint\limits_{z=2}+\iint\limits_{z=1}\\
&=0- \iint\limits_{z=2}\frac{e^x}{2}dxdy+\iint\limits_{z=1}e^xdxdy\\
&= -\frac{1}{2}\int_{-2}^{2}e^xdx\int_{-\sqrt{4-x^2}}^{\sqrt{4-x^2}}dy+\int_{-1}^{1}e^xdx\int_{-\sqrt{1-x^2}}^{\sqrt{1-x^2}}dy \\
&=4-4\int_{0}^{\frac{\pi}{2}}\cos \alpha e^{2\cos \alpha }d\alpha -4+4\int_{0}^{\frac{\pi}{2}}\cos \alpha e^{\cos \alpha }d\alpha\\
&=
\end{align*}\]


二维码

扫码加我 拉你入群

请注明:姓名-公司-职位

以便审核进群资格,未注明则拒绝

2024-9-2 08:19:20
QQ图片20240902081731.png
  

          由于\[|x+\frac{1}{n}|< 1,\]\[\rightarrow x\in(-1,1).\]
            令\[u_n(x)=(x+\frac{1}{n})^n.\]
               则有\[u_n(x)=(x+\frac{1}{n})^n=x^ne^x=0=u(x),(n\to\infty)\]
               而\[\because \limsup_{n\to\infty}|u_n(x)-u(x)|=\limsup_{n\to\infty}|(x+\frac{1}{n})^n-0|=xe^x\ne 0.(x\ne0)\]
               所以,级数非一致收敛。

二维码

扫码加我 拉你入群

请注明:姓名-公司-职位

以便审核进群资格,未注明则拒绝

2024-9-2 08:19:45
QQ图片20240902081759.png

证明
              由已知条件,可知\[x\geqslant 3,\varphi (x)=\int_{0}^{+\infty}\frac{t}{2+t^x}dt< \int_{0}^{+\infty}t^{1-x}dt< \infty.\]                   从而$\varphi (x)$在$[3,A]$上一致连续。即有\[\forall \varepsilon > 0,x',x''\in[3,A],\delta > 0,|x'-x''|< \delta ,s.t.|\varphi (x')-\varphi (x'')|< \varepsilon .\]
                 又\[f_n(x)=\displaystyle\sum_{k=0}^{n-1}\frac{1}{n}\varphi (x+\frac{k}{n})\rightarrow f(x)=\int_{0}^{1}\varphi (x+t)dt.\]
                而\[\because f_n(x)=\displaystyle\sum_{k=0}^{n-1}\frac{1}{n}\varphi (x+\frac{k}{n})=\displaystyle\sum_{k=0}^{n-1}\int_{\frac{k}{n}}^{\frac{k+1}{n}}\varphi (x+\frac{k}{n})dt.\]\[f(x)=\int_{0}^{1}\varphi (x+t)dt=\displaystyle\sum_{k=0}^{n-1}\int_{\frac{k}{n}}^{\frac{k+1}{n}}\varphi (x+t)dt.\]\[\begin{align*}\therefore |f_n(x)-\int_{0}^{1}\varphi (x+t)dt|
&=|\displaystyle\sum_{k=0}^{n-1}\int_{\frac{k}{n}}^{\frac{k+1}{n}}\varphi (x+\frac{k}{n})dt-\displaystyle\sum_{k=0}^{n-1}\int_{\frac{k}{n}}^{\frac{k+1}{n}}\varphi (x+t)dt| \\
&\leqslant \displaystyle\sum_{k=0}^{n-1}\int_{\frac{k}{n}}^{\frac{k+1}{n}}|\varphi (x+\frac{k}{n})-\varphi (x+t)|dt \\
&=\displaystyle\sum_{k=0}^{n-1}\int_{\frac{k}{n}}^{\frac{k+1}{n}}\varepsilon dt \\
&=\frac{1}{n}\varepsilon \rightarrow 0.(|\frac{k}{n}-t|< \frac{1}{n}< \delta .n\to\infty)
\end{align*}\]
               由此,$\{f_n(x)\}$在$[3,A]$上一致收敛。

二维码

扫码加我 拉你入群

请注明:姓名-公司-职位

以便审核进群资格,未注明则拒绝

2024-9-13 12:00:01
QQ图片20240913115730.png

1、解
         \[\because \frac{n+i}{n}\sin \frac{i}{n^2}=\frac{n+i}{n}(\frac{i}{n^2}+o(\frac{1}{n^2}))=\frac{i}{n^2}+\frac{i^2}{n^3}+o(\frac{1}{n^2}).\]\[\begin{align*}\therefore \lim_{n\to\infty}\displaystyle\sum_{i=1}^{n}\frac{n+i}{n}\sin \frac{i}{n^2} &=\lim_{n\to\infty}\displaystyle\sum_{i=1}^{n}(\frac{i}{n^2}+\frac{i^2}{n^3}+o(\frac{1}{n^2})) \\
&=\displaystyle\sum_{i=1}^{n}(\frac{i}{n^2}+\frac{i^2}{n^3}) \\
&=\int_{0}^{1}xdx+\int_{0}^{1}x^2dx\\
&=\frac{1}{2}+\frac{1}{3}\\
&=\frac{5}{6}.
\end{align*}\]2、解
         由于 \[\lim_{x\to+\infty}(\frac{x-a}{x+a})^x=\lim_{x\to+\infty}(1-\frac{2a}{x+a})^{\frac{x+a}{-2a}\cdotp (\frac{-2ax}{x+a})}=\lim_{x\to+\infty}e^{\frac{-2ax}{x+a}}=e^{-2a}.\]\[\begin{align*}\int_{a}^{+\infty}xe^{-2x}dx
&=-\frac{1}{2}xe^{-2x}|_a^{+\infty}+\frac{1}{2}\int_{a}^{+\infty}e^{-2x}dx \\
&=\frac{1}{2}ae^{-2a}-\frac{1}{4}e^{-2x}|_a^{+\infty} \\
&=\frac{1}{2}ae^{-2a}+\frac{1}{4}e^{-2a} .
\end{align*}\]而由条件,可知有\[e^{-2a}=\frac{1}{2}ae^{-2a}+\frac{1}{4}e^{-2a},\]\[a=\frac{3}{2}.\]3、解
        \[\begin{align*}\int_{0}^{\frac{\pi}{2}}\frac{1}{1+\tan ^{2024}x}dx &=\int_{0}^{\frac{\pi}{2}}\frac{1+\tan ^{2024}x-\tan ^{2024}x}{1+\tan ^{2024}x}dx \\
&=\frac{\pi}{2}-\int_{0}^{\frac{\pi}{2}}\frac{\tan ^{2024}x}{1+\tan ^{2024}x}dx \\
&=\frac{\pi}{2}-\int_{0}^{\frac{\pi}{2}}\frac{\cos ^{2024}x}{\cos ^{2024}x+\sin ^{2024}x}dx,(x=\frac{\pi}{2}-x) \\
&=\frac{\pi}{2}-\int_{0}^{\frac{\pi}{2}}\frac{\sin ^{2024}x}{\cos ^{2024}x+\sin ^{2024}x}dx \\
&=\frac{\pi}{2}-\frac{1}{2}\int_{0}^{\frac{\pi}{2}}\frac{\cos ^{2024}x+\sin ^{2024}x}{\cos ^{2024}x+\sin ^{2024}x}dx\\
&=\frac{\pi}{4}.
\end{align*}\]   【注】:这是道经典竞赛题,源自苏联大学生数学竞赛。题中的指数与数值无关。
二维码

扫码加我 拉你入群

请注明:姓名-公司-职位

以便审核进群资格,未注明则拒绝

2024-9-13 12:00:28
QQ图片20240913115758.png

证明
            这又是一道典型题。可以令\[x_1=\sqrt{n\pi +\frac{\pi }{2}},x_2=\sqrt{n\pi },\]则当\[|x_1-x_2|< \delta \]时\[|f(x_1)-f(x_2)|=1.\]说明函数不一致收敛。
二维码

扫码加我 拉你入群

请注明:姓名-公司-职位

以便审核进群资格,未注明则拒绝

2024-9-13 12:00:52
QQ图片20240913115821.png

证明
       (1)、分两种情况\[a_n\uparrow ,na_n\leqslant a_{n+1}+a_{n+2}+\cdots +a_{2n}< \varepsilon ,(\forall \varepsilon > 0,柯西列)\]\[a_n\downarrow ,na_n=n( S_n-S_{n-1})=N\varepsilon .(\forall \varepsilon > 0,\exists N,n\geq  N,部分和收敛)\]   因此,结论成立。
       (2)、运用Stolz定理及上面(1)的结论,有\[\lim_{n\to\infty }\frac{a_1+2a_2+\cdots+na_n }{n}=\lim_{n\to\infty }(na_n-(n-1)a_{n-1})=0.\]




二维码

扫码加我 拉你入群

请注明:姓名-公司-职位

以便审核进群资格,未注明则拒绝

2024-9-13 12:01:26
QQ图片20240913115849.png

证明
       (1)、由中值定理,有\[\exists \eta_1\in (0,1),s.t.f(1)-f(0)=1=f'(\eta_1),\frac{1}{f'(\eta_1)}=1.\]再由Roll定理\[令F(x)=f(x)-x,F(0)=F(1)=0,\exists \eta_2\in (0,1),s.t.F'(\eta_2)=f'(\eta_2)-1=0,\frac{1}{f'(\eta_2)}=1.\]、两式相加,\[\therefore \frac{1}{f'(\eta_1)}+\frac{1}{f'(\eta_2)}=2.\]
       (2)、可以利用上面的中间结论,有\[\frac{a}{f'(\eta_1)}=a,\frac{b}{f'(\eta_2)}=b,\]两式相加,即有\[\frac{a}{f'(\eta_1)}+\frac{b}{f'(\eta_2)}=a+b.\]
         【注】这个题目,出题老师出得比较厚道。要是去掉(1),再将a,b直接用数值代替,那么,证明起来肯定要难得多。
二维码

扫码加我 拉你入群

请注明:姓名-公司-职位

以便审核进群资格,未注明则拒绝

2024-9-14 08:35:18
QQ图片20240914083247.png


    (1)、由\[|\frac{\sin n}{p^{\ln n}}|\le |\frac{1}{p^{\ln n}}|.\]可知\[当n\geqslant 3时,级数\{\frac{1}{p^{\ln n}}\}\]绝对收敛。
    (2)、由\[R=|\frac{a_n}{a_{n+1}}|=|\frac{\frac{n^2}{(n+1)!}}{\frac{(n+1)^2}{(n+2)!}}|=(\frac{n}{n+1})^2(n+2)\rightarrow \infty .\]\[\therefore R\in (-\infty ,+\infty )\]和函数\[\begin{align*}\displaystyle\sum_{n=1}^{\infty }\frac{n^2}{(n+1)!}x^n
&=\displaystyle\sum_{n=1}^{\infty }\frac{n^2-1+1}{(n+1)!}x^n \\
&=\displaystyle\sum_{n=1}^{\infty }\frac{n-1}{n!}x^n+\displaystyle\sum_{n=1}^{\infty }\frac{1}{(n+1)!}x^n \\
&=\displaystyle\sum_{n=1}^{\infty }\frac{n}{n!}x^n-\displaystyle\sum_{n=1}^{\infty }\frac{1}{n!}x^n+\frac{1}{x}\displaystyle\sum_{n=1}^{\infty }\frac{1}{(n+1)!}x^{n+1} \\
&=\frac{1}{x}\displaystyle\sum_{n=1}^{\infty }\frac{1}{(n-1)!}x^{n-1}-\displaystyle\sum_{n=1}^{\infty }\frac{1}{n!}x^n+\frac{1}{x}\displaystyle\sum_{n=1}^{\infty }\frac{1}{(n+1)!}x^{n+1} \\
&=\frac{e}{x}+1-e+\frac{1}{x}\int (\displaystyle\sum_{n=1}^{\infty }\frac{1}{(n+1)!}x^{n+1} )'dx\\
&=\frac{e}{x}+1-e+\frac{1}{x}\int(e-1)dx\\
&=\frac{e}{x}.
\end{align*}\]              上面的计算有误
      (3)、此题是裴礼文上【例5.4.27】是一星题。


二维码

扫码加我 拉你入群

请注明:姓名-公司-职位

以便审核进群资格,未注明则拒绝

2024-9-14 08:35:44
QQ图片20240914083309.png

     (1)、略
     (2)、\[\because \cos \alpha x\in C[0,+\infty ),\lim_{A\to0^+}\int_{A}^{+\infty }\frac{\cos \alpha x}{x}dx< \infty .\]\[\therefore 为Froullani积分。\]因此\[\int_{0}^{+\infty }\frac{\cos ax-\cos bx}{x}dx=\cos 0\ln\frac{b}{a}=\ln\frac{b}{a}.\]
      (3)、先进行极坐标变换\[F(z )=\iint\limits_{x^2+y^2\le z^2}f(x^2+y^2)dxdy,\]\[\Rightarrow \int_{0}^{2\pi }d\theta \int_{0}^{z}f(\rho ^2)\rho d\rho =2\pi\int_{0}^{z}f(\rho ^2)\rho d\rho.\]显然\[F'(z)=2\pi zf(z^2),F'(0)=0.\]于是\[F''(0)=\lim_{z\to0}\frac{F'(z)-F'(0)}{z-0}=\lim_{z\to0}\frac{2\pi zf(z^2)-0}{z-0}=\lim_{z\to0}2\pi f(z^2)=2\pi.\]

二维码

扫码加我 拉你入群

请注明:姓名-公司-职位

以便审核进群资格,未注明则拒绝

2024-9-14 08:36:42
QQ图片20240914083332.png

此题与西北大学2024压轴题同几乎一样参见71#证明。
二维码

扫码加我 拉你入群

请注明:姓名-公司-职位

以便审核进群资格,未注明则拒绝

2024-9-15 10:53:12
QQ图片20240915105033.png


       $=8.$
二维码

扫码加我 拉你入群

请注明:姓名-公司-职位

以便审核进群资格,未注明则拒绝

2024-9-15 10:53:37
QQ图片20240915105050.png


           由已知\[f'(x)=(x^2+a)e^x+2xe^x=(x^2+2x+a)e^2,\]\[f''(x)=(x^2+a+2x)e^x+(2x+2))e^x=(x^2+4x+a+2)e^x,\]如果函数有拐点,则\[\exists x_0\in (-\infty ,+\infty )s.t.f''(x_0)=0.\]从而必有\[\varDelta =16-4(a+2)\geq 0,a\le 2.\]又函数没有极值点,必有\[\varDelta =4-4a< 0,a> 1.\]\[\therefore 1< a\le 2.\]


二维码

扫码加我 拉你入群

请注明:姓名-公司-职位

以便审核进群资格,未注明则拒绝

2024-9-15 10:54:02
QQ图片20240915105109.png


         利用三角函数的周期性,做$\frac{\pi }{2}-x=t$f替换,可得\[I=\int_{0}^{\frac{\pi }{2}}\frac{\cos x}{\sin x+\cos x}dx=\frac{1}{2}\int_{0}^{\frac{\pi }{2}}\frac{\cos x+\sin x}{\sin x+\cos x}dx=\frac{\pi }{4}.\]

二维码

扫码加我 拉你入群

请注明:姓名-公司-职位

以便审核进群资格,未注明则拒绝

2024-9-15 10:54:51
QQ图片20240915105132.png


           \[\begin{align*}I
&=\iint\limits_{\varSigma }x^3dydz+y^3dzdx+(x^2+y^2+z^3)dxdy \\
&=3\iiint\limits_{\Omega }(x^2+y^2+z^2) dxdydz,(高斯定理)\\
&=9\iiint\limits_{\Omega }z^2 dxdydz,(对称性)\\
&=9\int_{0}^{R}dr\int_{0}^{\pi}d\varphi \int_{0}^{2\pi }r^2\cos ^2\varphi\cdotp r^2\sin ^2\varphi d\theta ,(球面坐标)\\
&=\frac{12}{5}\pi R^5.  
\end{align*}\]

二维码

扫码加我 拉你入群

请注明:姓名-公司-职位

以便审核进群资格,未注明则拒绝

2024-9-15 10:55:31
QQ图片20240915105151.png


       \[\because |\frac{x^n}{n(n+1)}|\le \frac{1}{n^2}\rightarrow 0,\]\[\therefore 级数在[]-1,1一致收敛.\]\[\begin{align*}\displaystyle\sum_{n=1}^{\infty }\frac{x^n}{n(n+1)}
&=\displaystyle\sum_{n=1}^{\infty }(\frac{x^n}{n}-\frac{x^n}{n+1}) \\
&=\int \displaystyle\sum_{n=1}^{\infty }(\frac{x^n}{n})'dx-\frac{1}{x}\int \displaystyle\sum_{n=1}^{\infty }(\frac{x^{n+1}}{n+1})'dx \\
&=\int \displaystyle\frac{1}{1-x}dx-\frac{1}{x}\int \displaystyle\frac{x}{1-x}dx \\
&=1+\frac{x-1}{x} \ln(1-x).
\end{align*}\]

二维码

扫码加我 拉你入群

请注明:姓名-公司-职位

以便审核进群资格,未注明则拒绝

2024-9-15 17:53:39
QQ图片20240915174959.png


            \[\because \lim_{x\to0}\frac{f(x)}{x}=a,f(x)在x=0的邻域内连续可导,\]\[\therefore \lim_{x\to0}f(x)=f(0)=0.\]\[f'(0)=\lim_{x\to0}\frac{f(x)-f(0)}{x-0}=\lim_{x\to0}\frac{f(x)}{x}=a.\]于是由中值定理\[f(\frac{1}{n})=f(0)+\frac{1}{n}f'(\xi)=\frac{1}{n}f'(\xi)\backsim \frac{a}{n},(\xi \in (0,\frac{1}{n}))\]由此可知,级数为交错级数,条件收敛。


二维码

扫码加我 拉你入群

请注明:姓名-公司-职位

以便审核进群资格,未注明则拒绝

2024-9-15 17:54:01
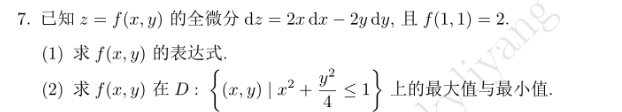
QQ图片20240915175020.png


     (1)、\[由z=f(x,y)的全微分形式为dz=2xdx-2ydy,得到z=x^2-y^2+C,\]\[再由已知当f(1,1)=2,得到C=2.z=f(x,y)=x^2-y^2+2.\]

     (2)、\[D:x=r\cos \theta ,y=2r\sin \theta ,r=1,\theta \in [0,2\pi ].\]\[z=f(x,y)=r^2\cos^2 \theta-4r^2\sin ^2\theta+2=\cos^2 \theta-4\sin ^2\theta+2=3-5\sin ^2\theta.\]\[\therefore f_\max =3,f_\min =-2.\]

二维码

扫码加我 拉你入群

请注明:姓名-公司-职位

以便审核进群资格,未注明则拒绝

2024-9-15 17:54:26
QQ图片20240915175040.png


             此为基本题,利用基本概念即可求。
         (1)、\[|\frac{xy}{\sqrt{x^2+y^2}}|\leq |\frac{xy}{\sqrt{2xy}}|=\frac{1}{\sqrt{2}}\sqrt{xy}=0.(x,y\rightarrow 0)\]因此函数在原点处连续。
          (2)、\[\because \lim_{x,y\to0}\frac{f(x,y)-f(0,0)}{\sqrt{x^2+y^2}}=\lim_{x,y\to0}\frac{xy}{x^2+y^2}=\frac{1}{2}\ne 0.(当x=y\rightarrow 0时)\]而在其它情况下上述极限为0,说明函数在原点的重极限不存在。所以函数在原点不可微。


二维码

扫码加我 拉你入群

请注明:姓名-公司-职位

以便审核进群资格,未注明则拒绝

2024-9-15 17:54:50
QQ图片20240915175108.png


       首先\[\int_{0}^{+\infty }e^{-\sqrt{x}}dx=2\int_{0}^{+\infty }te^{-t}dt=-2te^{-t}|_0^{+\infty }+2\int_{0}^{+\infty }e^{-t}dt=-2e^{-t}|_0^{+\infty }=2.\]\[\begin{align*}f(x)
&=x+\int_{0}^{x}tf'(x-t)dt+2 \\
&=x-\int_{x}^{0}(x-u)f'(u)du+2 \\
&=x+x\int_{0}^{x}f'(u)du-\int_{0}^{x}uf'(u)du+2\\
&=x+xf(x)-xf(0)-xf(x)+\int_{0}^{x}f(u)du+2\\
&=-x+\int_{0}^{x}f(u)du+2.(f(0)=2)
\end{align*}\]\[f'(x)=-1+f(x).\frac{f'(x)}{f(x)-1}=1.\]\[\ln(f(x)-1)=x+c.\]\[令x=0,c=0.\]\[因此有,f(x)=e^x+1.\]

二维码

扫码加我 拉你入群

请注明:姓名-公司-职位

以便审核进群资格,未注明则拒绝

2024-9-16 16:50:42
QQ图片20240916164859.png

证明
           (1)、\[\because f(x)=\ln(1+x)-x,f'(x)=\frac{1}{1+x}-1=\frac{-x}{1+x}< 0.(x> 0)\]\[\therefore \ln(1+x)< x.\]又\[\because g(x)=\ln(1+x)-\frac{x}{1+x},g'(x)=\frac{1}{1+x}-\frac{1+x-x}{(1+x)^2}=\frac{x}{(1+x)^2}> 0,(x> 0)\]\[\therefore g(x)=\ln(1+x)-\frac{x}{1+x}> 0.\]不等式成立。          (2)、\[\because a_{n+1}-a_n=\frac{1}{n+1}-\ln\frac{n+1}{n}.\]\[由(1)的结论\frac{x}{1+x}< \ln(1+x)< x,令x=\frac{1}{n}代入,得\]\[\frac{n}{n+1}< \ln\frac{n+1}{n}< \frac{1}{n}.\]\[\therefore a_{n+1}-a_n< 0.单调降。\]再由结论(1)中右边不等式,有\[\displaystyle\sum_{k=1}^{n} \ln\frac{k+1}{k}< \displaystyle\sum_{k=1}^{n}\frac{1}{k},\]由此\[0< \ln(n+1)< \displaystyle\sum_{k=1}^{n}\frac{1}{k}-\ln n=a_n.\]因此$\{a_n\}$单调减,有下界,收敛。



二维码

扫码加我 拉你入群

请注明:姓名-公司-职位

以便审核进群资格,未注明则拒绝

2024-9-16 16:51:19
QQ图片20240916164920.png

此题是《 数学分析 第五版(上册) 华东师范大学》习题7.1中的练习题
二维码

扫码加我 拉你入群

请注明:姓名-公司-职位

以便审核进群资格,未注明则拒绝

2024-9-16 16:51:50
QQ图片20240916164939.png

证明
           由泰勒公式\[f(x)=f(0)+f'(0)x+\frac{1}{2!}f''(\xi')x^2=f'(0)x+\frac{1}{2}f''(\xi')x^2.\xi' \in (-a,a)\]将$x=-a,a$分别代入,得\[f(-a)=f'(0)(-a)+\frac{1}{2}f''(\xi_1)a^2.\xi_1 \in (-a,a)\]\[f(a)=f'(0)(a)+\frac{1}{2}f''(\xi_2)a^2.\xi_2 \in (-a,a)\]两式相加\[\therefore f(-a)+f(a)=\frac{f''(\xi_1)+f''(\xi_2)}{2}a^2.\]\[\because f''(x)\in C[-a,a],\]由连续函数的介值定理\[\therefore \exists \xi \in (\xi_1,\xi_2)\subset [-a,a].s.t.f''(\xi )=\frac{f''(\xi_1)+f''(\xi_2)}{2}.\]\[\Rightarrow f''(\xi )=\frac{f(-a)+f(a)}{a^2}.\]

二维码

扫码加我 拉你入群

请注明:姓名-公司-职位

以便审核进群资格,未注明则拒绝

栏目导航
热门文章
推荐文章

说点什么

分享

扫码加好友,拉您进群
各岗位、行业、专业交流群