全部版块 我的主页
论坛 经济学论坛 三区 微观经济学 经济金融数学专区
2024-9-16 16:52:20
QQ图片20240916165010.png

证明
           由于有\[|f_n(x_n)-f(c)|\le |f_n(x_n)-f(x_n)|+|f(x_n)-f(c)|\]而\[\because f_n(x_n)\implies f(x_n),\]\[\therefore \forall \varepsilon > 0,|f_n(x_n)-f(x_n)|< \frac{\varepsilon }{2}.\]又\[\because \lim_{n\to\infty }x_n=c.\]\[\therefore \exists \varepsilon > 0,x_n,c\in [a,b],\delta > 0,|x_n-c|< \delta ,s.t.\]\[|f(x_n)-f(c)|< \frac{\varepsilon }{2}.\]因此\[|f_n(x_n)-f(c)|\le |f_n(x_n)-f(x_n)|+|f(x_n)-f(c)|= \frac{\varepsilon }{2}+ \frac{\varepsilon }{2}=\varepsilon .\]


二维码

扫码加我 拉你入群

请注明:姓名-公司-职位

以便审核进群资格,未注明则拒绝

2024-9-17 20:32:34
QQ图片20240917202903.png


      \[\lim_{x\to0}(\frac{e^x}{\ln(1+x)}-\frac{1}{x})=\lim_{x\to0}\frac{xe^x-\ln(1+x)}{x\ln(1+x)}=\lim_{x\to0}\frac{x(1+x+\frac{1}{2}x^2+o(x^2)-(x-\frac{1}{2}x^2+o(x^2))}{x^2\ln(1+x)^{\frac{1}{x}}}=\frac{3}{2}.\]

二维码

扫码加我 拉你入群

请注明:姓名-公司-职位

以便审核进群资格,未注明则拒绝

2024-9-17 20:33:01
QQ图片20240917202929.png


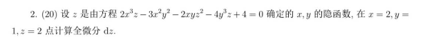
      直接微分后再代入得\[dz=7dx-16dy.\]
二维码

扫码加我 拉你入群

请注明:姓名-公司-职位

以便审核进群资格,未注明则拒绝

2024-9-17 20:33:44
QQ图片20240917202949.png


         由于\[\frac{x\ln(1+x)}{x^3+1}\geqslant \frac{x(x-\frac{1}{2}x^2)}{x^3+1}.\]而\[\int_{0}^{+\infty }\frac{x(x-\frac{1}{2}x^2)}{x^3+1}dx=\infty .\]所以\[\int_{0}^{+\infty }\frac{x\ln(1+x)}{x^3+1}dx=\infty .\]

二维码

扫码加我 拉你入群

请注明:姓名-公司-职位

以便审核进群资格,未注明则拒绝

2024-9-17 20:34:18
QQ图片20240917203010.png


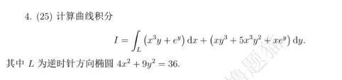
      \[P=x^3y+e^y,\frac{\partial P}{\partial y}=x^3+e^y,\]\[Q=xy^3+5x^3y^2+xe^y,\frac{\partial Q}{\partial x}=y^3+15x^2y^2+e^y.\]\[
\begin{align*}\oint_{L}(x^3y+e^y)dx+(xy^3+5x^3y^2+xe^y)dy
&=\iint\limits_{D}(\frac{\partial Q}{\partial x}-\frac{\partial P}{\partial y})dxdy,(格林公式) \\
&=\iint\limits_{D}(-x^3+y^3+15x^2y^2)dxdy \\
&=15\iint\limits_{D}x^2y^2dxdy,(奇函数,对称性) \\
&=540\int_{0}^{1} r^5dr\int_{0}^{2\pi }\cos ^2x\sin ^2xd\theta ,(x=3r\cos \theta ,y=2r\sin \theta )\\
&=\frac{45\pi }{2}-\frac{45}{8}.
\end{align*}\]


二维码

扫码加我 拉你入群

请注明:姓名-公司-职位

以便审核进群资格,未注明则拒绝

2024-9-17 20:34:46
QQ图片20240917203038.png


         \[由于级数\displaystyle\sum_{n=1}^{\infty }n(n+1)t^n的收敛域为(-1,1).故原级数的收敛域为(\frac{1}{2},+\infty ).\]\[\begin{align*}\displaystyle\sum_{n=1}^{\infty }n(n+1)(\frac{x-1}{x})^n
&=\displaystyle\sum_{n=1}^{\infty }n(n+1)t^n=t\displaystyle\sum_{n=1}^{\infty }n(n+1)t^{n-1}\\
&==t(\displaystyle\sum_{n=1}^{\infty }(n+1)t^n)'\\
&=t(\displaystyle\sum_{n=1}^{\infty }t^{n+1})''\\
&=\frac{2t}{1-t)^2}\\
&=2x^2(x-1).x\in (\frac{1}{2},+\infty )
\end{align*}\]

二维码

扫码加我 拉你入群

请注明:姓名-公司-职位

以便审核进群资格,未注明则拒绝

2024-9-17 20:35:13
QQ图片20240917203136.png
1.png
二维码

扫码加我 拉你入群

请注明:姓名-公司-职位

以便审核进群资格,未注明则拒绝

2024-9-18 07:43:08
1.png

证明
            这个结论,从直觉上看是显然的,只是组织成数学语言,比较麻烦。以下证明,结合函数图形。
            首先,由图意所给条件,可知,可能在$[a,b]$内存在多个函数值为$f(a),f(b)$r的点,设为\[f(a_i)=f(a),i=1,2,\cdots ,t\]\[f(b_j=f(b),j=1,2,\cdots ,k\]分别在其中取一个点$a_{i_c},b_{j_d}$,使得两个点最为接近(也即在以此两个点作为端点的区间内再无其它函数值为$f(a),f(b)$的点),即\[|a_{i_c}-b_{j_d}|=\inf |a_i-b_j|.\]令\[c=a_{i_c},d=b_{j_d}.\]则由所给条件知\[\forall x\in [c,d]\subseteq [a,b],f(a)=f(c)< f(x)< f(d)=f(b).\]并且\[f(x)_\min =f(a),f(x)_\max =f(b).\]

二维码

扫码加我 拉你入群

请注明:姓名-公司-职位

以便审核进群资格,未注明则拒绝

2024-9-18 07:43:35
QQ图片20240918074221.png

证:
           \[令y=0,f(0)=0,则L条件形式为|f(x)-f(y)|=f(x)\le Lx,即\frac{f(x)}{x}\le L.\]\[而a_n|\sin nx|\le a_n,故f(x)一致收敛。\]又\[\lim_{n\to\infty }\displaystyle\sum_{k=1}^{n }ka_k=\lim_{n\to\infty }\displaystyle\sum_{k=1}^{n }ka_k\frac{|\sin kx|}{|\sin kx|}\le \lim_{n\to\infty }\displaystyle\sum_{k=1}^{n}ka_k\frac{|\sin kx|}{| kx|}=\frac{f(x)}{x}\le L.(x\to0)\]级数收敛。

二维码

扫码加我 拉你入群

请注明:姓名-公司-职位

以便审核进群资格,未注明则拒绝

2024-9-20 09:27:07
QQ图片20240920092450.png


     利用中值定理\[\lim_{n\to\infty }n^2(3^{\frac{1}{n}}-3^{\frac{1}{n+1}})=\lim_{n\to\infty }n^2\cdotp 3^{\frac{1}{\xi}}\ln3\cdotp (\frac{1}{n}-\frac{1}{n+1})=\ln3.(\frac{1}{n+1}< \xi < \frac{1}{n})\]

二维码

扫码加我 拉你入群

请注明:姓名-公司-职位

以便审核进群资格,未注明则拒绝

2024-9-20 09:27:58
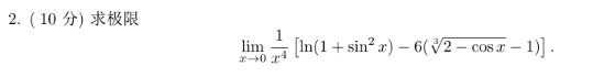
QQ图片20240920092510.png


       利用泰勒公式\[\ln(1+\sin ^2 x)=\sin ^2 x-\frac{1}{2}\sin^4 x+o(\sin^4 x)=x^2-\frac{1}{2}x^4+o(x^4),\]\[\sqrt[3]{2-\cos x}-1=\sqrt[3]{1+2\sin ^2\frac{x}{2}}-1=\sqrt[3]{1+\frac{x^2}{2}}-1=\frac{1}{6}x ^2-\frac{1}{9}\frac{x^4}{16}+o(x^4),\]\[\lim_{x\to0}\frac{1}{x^4}[\ln(1+\sin ^2 x)-6\sqrt[3]{2-\cos x}-1]=\lim_{x\to0}\frac{x^2-\frac{1}{2}x^4+o(x^4)-6(\frac{1}{6}x ^2-\frac{1}{9}\frac{x^4}{16}+o(x^4))}{x^4}=-\frac{11}{24}.\]

二维码

扫码加我 拉你入群

请注明:姓名-公司-职位

以便审核进群资格,未注明则拒绝

2024-9-20 09:28:21
QQ图片20240920092537.png


    由于\[\ln(1+\frac{1}{n})\backsim \frac{1}{n},(n\to\infty )\]级数为一个交叉级数,收敛。条件收敛。
二维码

扫码加我 拉你入群

请注明:姓名-公司-职位

以便审核进群资格,未注明则拒绝

2024-9-20 09:29:00
QQ图片20240920092600.png


     \[\begin{align*}\lim_{n\to\infty }\frac{\ln n}{\ln(1^{2023}+2^{2023}+\cdots +n^{2023})}
&=\lim_{n\to\infty }\frac{\ln n}{\ln n^{2024}\frac{1}{n}((\frac{1}{n})^{2023}+(\frac{2}{n})^{2023}+\cdots +(\frac{n}{n})^{2023})}\\
&=\lim_{n\to\infty }\frac{\ln n}{\ln n^{2024}\int_{0}^{1}x^{2023}dx}\\
&=\lim_{n\to\infty }\frac{\ln n}{\ln\frac{ n^{2024}}{2024}}\\
&=\lim_{n\to\infty }\frac{\ln n}{2024\ln n-\ln 2024}\\
&=\frac{1}{2024}.
\end{align*}\]

二维码

扫码加我 拉你入群

请注明:姓名-公司-职位

以便审核进群资格,未注明则拒绝

2024-9-20 09:29:26
QQ图片20240920092627.png

证明
           由已知\[f(x)在[a,b]上可积,\exists M> 0,x\in [a,b],|f(x)|\le M.\]\[注意到\frac{n+1}{(b-a)^{n+1}}\int_{a}^{b}(x-a)^ndx=1.\]\[由f(x)在x=b外连续,故对于\forall \varepsilon > 0,\exists \delta > 0,x\in [b-\delta ,b],s.t.|f(x)-f(b)|< \frac{\varepsilon}{2} .\]\[\begin{align*}\therefore I&=|\frac{n+1}{(b-a)^{n+1}}\int_{a}^{b}(x-a)^nf(x)dx-f(b)|\\
&=|\frac{n+1}{(b-a)^{n+1}}\int_{a}^{b}(x-a)^nf(x)dx-f(b)\frac{n+1}{(b-a)^{n+1}}\int_{a}^{b}(x-a)^ndx| \\
&=|\frac{n+1}{(b-a)^{n+1}}\int_{a}^{b}(x-a)^n[f(x)-f(b)]dx| \\
&\le \frac{n+1}{(b-a)^{n+1}}\int_{a}^{b-\delta }(x-a)^n|f(x)-f(b)|dx+\frac{n+1}{(b-a)^{n+1}}\int_{b-\delta }^{b}(x-a)^n|f(x)-f(b)|dx \\
&\le 2M(1-\frac{\delta }{b-a})^n+ \frac{\varepsilon}{2} \\
&=\varepsilon .
\end{align*}\]


二维码

扫码加我 拉你入群

请注明:姓名-公司-职位

以便审核进群资格,未注明则拒绝

2024-9-20 20:46:11
QQ图片20240920204257.png

解:
          由题意\[|f(x)|< M.(M> 0),\]\[由f''(x)\geqslant 0.想到与凸函数性质有关.\]假设f(x)为凸函数。$t\in [a,b]$,则有\[f(b)=f(\frac{b-a}{t-a}t+\frac{t-b}{t-a}a)\le \frac{b-a}{t-a}f(t)+\frac{t-b}{t-a}f(a).\]\[f(t)\geqslant f(a)+(t-a)\frac{f(b)-f(a)}{b-a}.\]\[\therefore |f(t)|> M,(M> 0,t\to\infty )\]与题设矛盾。函数$f(x)$为常值函数.


二维码

扫码加我 拉你入群

请注明:姓名-公司-职位

以便审核进群资格,未注明则拒绝

2024-9-20 20:46:36
QQ图片20240920204341.png


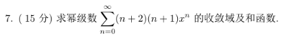
       \[R\in (-1,1).\]\[\begin{align*}\displaystyle\sum_{n=0}^{\infty }(n+2)(n+1)x^n
&=(\displaystyle\sum_{n=0}^{\infty }(n+2)x^{n+1})' \\
&=((\displaystyle\sum_{n=0}^{\infty }x^{n+2})')'  \\
&=((\frac{x^2}{1-x})')' \\
&=(\frac{2x-x^2}{(1-x)^2})' \\
&=\frac{2}{(1-x)^3}.
\end{align*}\]
二维码

扫码加我 拉你入群

请注明:姓名-公司-职位

以便审核进群资格,未注明则拒绝

2024-9-20 20:47:02
QQ图片20240920204409.png

证明
             \[\because \frac{y}{1+y^2}\downarrow \rightarrow 0,(y\to\infty )\]而\[\int_{1}^{A}\sin xydy< \frac{2}{x_0},(x\geqslant x_0>  0)\]于是\[根据Dirichlet判别法,F(x)关于x\in (0,+\infty )上 一致连续。从而F(x)在x\in (0,+\infty )上 连续.\]

二维码

扫码加我 拉你入群

请注明:姓名-公司-职位

以便审核进群资格,未注明则拒绝

2024-9-20 20:50:09
QQ图片20240920204435.png


      (1)、令\[F(x,y)=\cos (x+y)+e^{x+y^2}-x^3y^3-2.\]则有\[F_x(x,y)=-\sin (x+y)+2xe^{y+x^2}-3x^2y^3,F_x(0,0)=0.\]\[F_y(x,y)=-\sin (x+y)+e^{y+x^2}-3x^3y^2,F_y(0,0)=1.\]\[\because F_y(0,0)=1\ne 0,F_x(x,y)连续,\]\[\therefore 函数方程在(0,0)能确定唯一的隐函数y=f(x).\]
       (2)、\[\because F_x(0,0)=0,\]\[\therefore 函数方程在(0,0)不能确定唯一的隐函数x=f(y).\]

            【注】本题考点为隐函数存在定理。少考,但易被忽略。
二维码

扫码加我 拉你入群

请注明:姓名-公司-职位

以便审核进群资格,未注明则拒绝

2024-9-20 20:51:00
QQ图片20240920204501.png


       由于\[f(x,y)=xy\frac{x^2-y^2}{x^2+y^2}=r^2\sin \alpha \cos \alpha \frac{r^2\cos ^2\alpha-r^2\sin ^2\alpha}{r^2\cos ^2\alpha+r^2\sin ^2\alpha}=\frac{r^2}{4}\sin 4\alpha .(x=r\cos \alpha ,y=r\sin \alpha )\]因此\[|f(x,y)-f(0,0)|=|\frac{r^2}{4}\sin 4\alpha|=0,(r\rightarrow 0)\]\[函数f(x,y)在(0,0)连续.\]因为\[f_x(0,0)=\lim_{x\to0}\frac{f(x,0)-f(0,0)}{x-0}=0,同样,f_y(0,0)=0.\]故\[f_x(x,y)=\frac{y(x^4-y^4+4x^2y^2)}{(x^2+y^2)^2},(x,y\ne 0)\]\[f_y(x,y)=\frac{x(x^4-y^4-4x^2y^2)}{(x^2+y^2)^2},(x,y\ne 0)\]由于\[f_{xy}(0,0)=\lim_{y\to0}\frac{f_x(0,y)-f_x(0,0)}{y-0}=\lim_{y\to0}\frac{\frac{y(-y^4)}{y^4}-0}{y}=1,\]但\[f_{yx}(0,0)=\lim_{x\to0}\frac{f_y(x,0)-f_y(0,0)}{x-0}=\lim_{x\to0}\frac{\frac{x(-x^4)}{x^4}-0}{x}=-1,\]
二维码

扫码加我 拉你入群

请注明:姓名-公司-职位

以便审核进群资格,未注明则拒绝

2024-9-20 20:52:38
QQ图片20240920204529.png


           利用高斯公式计算。
         \[\begin{align*}I
&=\iint\limits_{S }xdzdy+ydzdx+[(1+z)^2+e^{-(x^2+y^2)}]dxdy\\
&=\iint\limits_{S+S_1 } -\iint\limits_{S_1 },(S:z=1-x^2-y^2;S_1:x^2+y^2=1)\\
&=2\iiint\limits_{S+S_1}(1+z)dV-\iint\limits_{S_1 }xdzdy+ydzdx+(1+e^{-1})dxdy ,(高斯公式)\\
&=\frac{4}{3}\pi +\int_{0}^{1} rdr\int_{0}^{2\pi }d\theta \int_{0}^{1-r^2}zdz-\iint\limits_{S_1 }xdzdy+ydzdx+(1+e^{-1})dxdy\\
&=\frac{4}{3}\pi+\pi \int_{0}^{1} r[(1-r^2)^2-1]dr-\iint\limits_{S_1 }\\
&=\frac{4}{3}\pi-\frac{1}{3}\pi-\iint\limits_{S_1 }xdzdy+ydzdx+(1+e^{-1})dxdy\\
&=\pi -\iint\limits_{S_1 }xdzdy+ydzdx+(1+e^{-1})dxdy\\
&=\pi -2\iint\limits_{S_1 }xdzdy-(1+e^{-1})\pi \\
&=-\pi e^{-1}.
\end{align*}\]

二维码

扫码加我 拉你入群

请注明:姓名-公司-职位

以便审核进群资格,未注明则拒绝

2024-9-22 17:28:25
QQ图片20240922172529.png
引用知乎上的两个典型证明
证一:
QQ图片20240922194814.png
证二:
QQ图片20240922194720.png
二维码

扫码加我 拉你入群

请注明:姓名-公司-职位

以便审核进群资格,未注明则拒绝

2024-9-22 17:29:43
QQ图片20240922172555.png

解   \[\because f(x)\in C[0,2],\exists M> m,s.t.m< f(x)< M.\]又\[\because f(0)+f(1)=2,m< f(0)< M,m< f(1)< M,\]\[\therefore m< \frac{f(0)+f(1)}{2}=1< M.\]由连续函数的介值定理,\[\exists c \in (0,2),s.t.f(c)=1.\]\[再由f(2)=1,由Roll定理,\exists \xi \in (c,2)\subset [0,2],s.t.f'(\xi )=0.\]

二维码

扫码加我 拉你入群

请注明:姓名-公司-职位

以便审核进群资格,未注明则拒绝

2024-9-22 17:30:15
QQ图片20240922172618.png


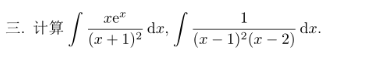
      \[\int\frac{xe^x}{(x+1)^2}dx=-\frac{xe^x}{(x+1)}+\int\frac{e^x(x+1)}{x+1}dx=-\frac{xe^x}{(x+1)}+e^x+C.\]\[\int\frac{1}{(x-1)^2(x-2)}dx=\int[\frac{1}{x-2}-\frac{1}{(x-1)}+\frac{1}{(x-1)^2}]dx=\ln\frac{x-2}{x-1}-\frac{1}{(x-1)}+C.\]

二维码

扫码加我 拉你入群

请注明:姓名-公司-职位

以便审核进群资格,未注明则拒绝

2024-9-22 17:30:45
QQ图片20240922172645.png

解   令\[f(a)-f(b)+\frac{1}{2}[f'(a)+f'(b)](b-a)+\frac{1}{12}(b-a)^3K=0,\]K为待定系数.辅助函数\[g(x)=f(a)-f(x)+\frac{1}{2}[f'(a)+f'(x)](x-a)+\frac{1}{12}(x-a)^3K.\]\[g(a)=g(b)=0,\exists \eta \in [a,b],s.t.g'(\eta )=0.(Roll中值定理)\]由\[g'(x)=\frac{1}{2}[f'(x)-f'(a)]-\frac{x-a}{2}f''(x)+\frac{1}{4}(x-a)^2K,g'(a)=0.\]\[\exists \xi \in (a,\eta )\subset (a,b),s.t.g''(\xi )=0.\]对$g'(x)$微分,得\[g'‘(x)=\frac{1}{2}f''(x)-[\frac{1}{2}f''(x)+\frac{x-a}{2}f'''(x)]+\frac{x-a}{2}K=-\frac{x-a}{2}f'''(x)+\frac{x-a}{2}K.\]有\[g'‘(\xi )=-\frac{\xi -a}{2}f'''(\xi )+\frac{\xi -a}{2}K=0.\]比较可得\[K=f'''(\xi ).\]

         【注】此类题一般多从泰勒展开式入手,但这个题用泰勒公式,证不了。只能用K值法解。

二维码

扫码加我 拉你入群

请注明:姓名-公司-职位

以便审核进群资格,未注明则拒绝

2024-9-22 17:31:57
QQ图片20240922172708.png

证明
          (1)、\[\forall \delta > 0,f(x)\in C(-1,-\delta ],f(x)\in C[\delta ,1).\]\[且\lim_{x\to -1}f(x)=\lim_{x\to -1}\frac{|\sin x|}{x}=\lim_{x\to -1}\frac{-\sin x}{x}=-\sin 1,存在.\]\[\lim_{x\to 0^-}f(x)=\lim_{x\to 0^-}\frac{|\sin x|}{x}=\lim_{x\to 0^-}\frac{-\sin x}{x}=-1,存在.\]\[\lim_{x\to 1}f(x)=\lim_{x\to 1}\frac{|\sin x|}{x}=\lim_{x\to 1}\frac{\sin x}{x}=\sin 1,存在.\]\[\lim_{x\to 0^+}f(x)=\lim_{x\to 0^+}\frac{|\sin x|}{x}=\lim_{x\to 0^+}\frac{\sin x}{x}=1,存在.\]\[所以,f(x)在(-1,0)和(0,1)上分别一致连续。(由延拓定理)\]
          (2)、\[\varepsilon =1,\delta > 0,x'\in (0,\frac{\delta }{2}),x''\in (-\frac{\delta }{2},0),\]\[\because \lim_{x\to 0^+}f(x)=1,\lim_{x\to 0^-}f(x)=-1.\]\[\therefore |x'-x''|< \delta ,s.t.|f(x')-f(x'')|>\varepsilon=1.\]由此,$f(x)$不一致收敛.
二维码

扫码加我 拉你入群

请注明:姓名-公司-职位

以便审核进群资格,未注明则拒绝

2024-9-22 17:32:24
QQ图片20240922172732.png


     (1)、\[\frac{\partial f(x,y)}{\partial x}=y\sin\frac{1}{x^2+y^2}-\frac{2x^2y}{(x^2+y^2)^2}\cos \frac{1}{x^2+y^2}.\]\[\frac{\partial f(x,y)}{\partial y}=x\sin\frac{1}{x^2+y^2}-\frac{2xy^2}{(x^2+y^2)^2}\cos \frac{1}{x^2+y^2}.\]
      (2)、由定义得\[\frac{\partial f(0,0)}{\partial x}=\lim_{x\to0}\frac{f(x,0)-f(0,0)}{x-0}=\lim_{x\to0}\frac{0-0}{x}=0.\]\[\frac{\partial f(0,0)}{\partial y}=\lim_{y\to0}\frac{f(0,y)-f(0,0)}{y-0}=\lim_{y\to0}\frac{0-0}{y}=0.\]而\[\lim_{x,y\to0}\frac{\partial f(x,y)}{\partial x}=\lim_{x,y\to0}[y\sin\frac{1}{x^2+y^2}-\frac{2x^2y}{(x^2+y^2)^2}\cos \frac{1}{x^2+y^2}]=0=\frac{\partial f(0,0)}{\partial x}.\]\[\lim_{x,y\to0}\frac{\partial f(x,y)}{\partial y}=\lim_{x,y\to0}[x\sin\frac{1}{x^2+y^2}-\frac{2xy^2}{(x^2+y^2)^2}\cos \frac{1}{x^2+y^2}]=0=\frac{\partial f(0,0)}{\partial y}.\]因此偏导数连续.

二维码

扫码加我 拉你入群

请注明:姓名-公司-职位

以便审核进群资格,未注明则拒绝

2024-9-23 18:38:19
QQ图片20240923183601.png

     对隐函数方程组求偏导 \[1+\frac{\partial u}{\partial x}+\frac{\partial v}{\partial x}=0,\]\[2x+4u^3\frac{\partial u}{\partial x}+4v^3\frac{\partial v}{\partial x}=0.\]解出\[\frac{\partial u}{\partial x}=\frac{2v^3-x}{2u^3-2v^3},\]\[\frac{\partial v}{\partial x}=-\frac{2u^3-x}{2u^3-2v^3}.\]再对$\frac{\partial u}{\partial x}$求偏导,即得$\frac{\partial ^2u}{\partial x^2}$.


二维码

扫码加我 拉你入群

请注明:姓名-公司-职位

以便审核进群资格,未注明则拒绝

2024-9-23 18:38:55
QQ图片20240923183628.png
二维码

扫码加我 拉你入群

请注明:姓名-公司-职位

以便审核进群资格,未注明则拒绝

2024-9-23 18:39:38
QQ图片20240923183654.png
二维码

扫码加我 拉你入群

请注明:姓名-公司-职位

以便审核进群资格,未注明则拒绝

2024-9-23 18:40:08
QQ图片20240923183717.png

解 (1)、\[\lim_{n\to\infty }f_n(x)=\lim_{n\to\infty }\frac{nx}{1+(1+n^2)x^2}=0=f(x),(x\ne 0)\]而\[f'_n(x)=\frac{n(1+(1+n^2)x^2)-nx\cdotp 2(1+n^2)x}{(1+(1+n^2)x^2)^2}=0.\]\[易知,x=\frac{1}{\sqrt{1+n^2}}为f(x)的极大值点.\]\[\because \limsup_{n\to\infty }|f_n(x)-f(x)|=\limsup_{n\to\infty }|f_n(\frac{1}{\sqrt{1+n^2}})-0|=\frac{1}{2}\ne 0.\]\[\therefore f_n(x)在(0,1]上不一致收敛.\]
     (2)、\[\because \limsup_{n\to\infty }|f_n(x)-f(x)|=\limsup_{n\to\infty }|\frac{n\alpha }{1+(1+n^2)\alpha ^2}-0|= 0.\]\[\therefore f_n(x)在[\alpha ,1]上一致收敛.\]

二维码

扫码加我 拉你入群

请注明:姓名-公司-职位

以便审核进群资格,未注明则拒绝

栏目导航
热门文章
推荐文章

说点什么

分享

扫码加好友,拉您进群
各岗位、行业、专业交流群