全部版块 我的主页
论坛 经济学论坛 三区 微观经济学 经济金融数学专区
13490 167
2023-12-30
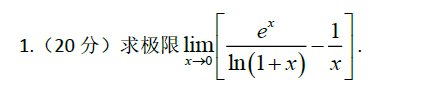
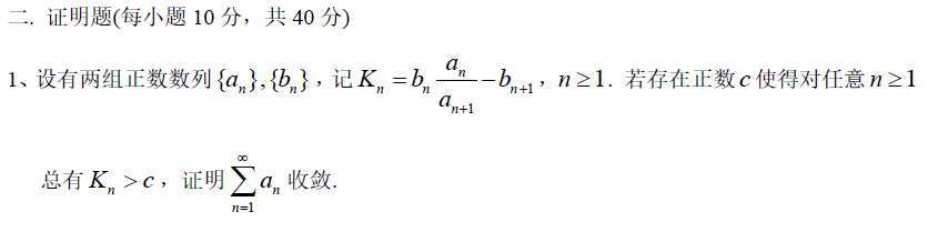
2024安徽大学考研题
QQ图片20231230145238.png
解:       (1)、
                \[\because \lim_{n\to\infty}\frac{1^{2}+3^2+\cdots +(2n+1)^2}{n^3}=\lim_{n\to\infty}\frac{(2n+1)^2}{n^3-(n-1)^3}=\frac{4}{3}.\]
                 \[\therefore \lim_{n\to\infty}n(\frac{1^{2}+3^2+\cdots +(2n+1)^2}{n^3}-\frac{4}{3})=0.\]
                 (2)、
                吴文中公式1703923964409.png



二维码

扫码加我 拉你入群

请注明:姓名-公司-职位

以便审核进群资格,未注明则拒绝

全部回复
2024-1-2 19:58:29
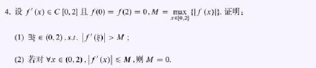
2024南开大学
QQ图片20240102195525.png


                \begin{align*} \lim_{x\to0}[\frac{e^x}{\ln (1+x)}-\frac{1}{x}]&=\lim_{x\to0}[\frac{xe^x-\ln(1+x)}{x\ln(1+x)}]\\&=\lim_{x\to0}\frac{e^x+xe^x-\frac{1}{1+x}}{\ln(1+x)+\frac{x}{1+x}}\\&=\lim_{x\to0}\frac{(1+x)^2e^x-1}{(1+x)\ln(1+x)+x}\\&=3. \end{align*}
二维码

扫码加我 拉你入群

请注明:姓名-公司-职位

以便审核进群资格,未注明则拒绝

2024-1-8 12:08:46
2024上海大学
QQ图片20240108120400.png


     \[\lim_{n\to\infty}(\cos\frac{1}{\sqrt{n}})^n=\lim_{n\to\infty}(1-\frac{1}{2n}+o(\frac{1}{n}))^n=\lim_{n\to\infty}(1-\frac{1}{2n}+o(\frac{1}{n}))^{-2n\times (-\frac{1}{2})}=e^{-\frac{1}{2}}.\]

     \[\lim_{x\to0}\frac{\sqrt{1+\tan x}-\sqrt{1+\sin x}}{x\ln(1+x)-x^2}=\lim_{x\to0}\frac{1+\frac{1}{2}\tan x-1-\frac{1}{2}\sin x}{x(x-\frac{1}{2}x^2)-x^2}=\lim_{x\to0}\frac{\tan x-\sin x}{-x^3}=\lim_{x\to0}\frac{\sin x}{x}\frac{1-\cos x}{-x^2\cos x}=\lim_{x\to0}\frac{\frac{1}{2}x^2}{-x^2}=-\frac{1}{2}.\]

二维码

扫码加我 拉你入群

请注明:姓名-公司-职位

以便审核进群资格,未注明则拒绝

2024-1-8 12:09:34
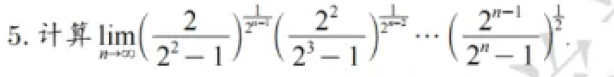
2024内蒙古大学
QQ图片20240108120727.png
二维码

扫码加我 拉你入群

请注明:姓名-公司-职位

以便审核进群资格,未注明则拒绝

2024-7-12 20:11:28
计算极限:
           \[\lim_{n\to\infty }\frac{x_1y_n+x_2y_{n-1}+\cdots +x_ny_1}{n}.\]
      其中:\[\lim_{n\to\infty }x_n=x,\lim_{n\to\infty }y_n=y.\]

                  设:\[x_M=\max\{x_1,x_2,\cdots ,x_n\},x_m=\min\{x_1,x_2,\cdots ,x_n\}.\]
                         \[y_M=\max\{y_1,y_2,\cdots ,y_n\},y_m=\min\{y_1,y_2,\cdots ,y_n\}.\]

              那么由收敛数列的性质,一定有:
                            \[x_m\leq x_n \leq x_M,y_m\leq y_n \leq y_M,\]
                            \[\lim_{n\to\infty }x_m=\lim_{n\to\infty }x_n=\lim_{n\to\infty }x_M=x,\]
                            \[\lim_{n\to\infty }y_m=\lim_{n\to\infty }y_n=\lim_{n\to\infty }y_M=y.\]            适当的放缩不等式,得到
                           \[xy=\lim_{n\to\infty }x_my_m\leq \lim_{n\to\infty }\frac{x_1y_n+x_2y_{n-1}+\cdots +x_ny_1}{n}\leq \lim_{n\to\infty }x_My_M=xy.\]


二维码

扫码加我 拉你入群

请注明:姓名-公司-职位

以便审核进群资格,未注明则拒绝

2024-8-13 08:42:33
暨南大学2024年数学分析硕士研究生入学考试真题 QQ图片20240813083706.png

解 \[\because f(x)=x^2(\sin x-x+x^2),\]\[\therefore f'(x)=2x(\sin x-x+x^2)+x^2(\cos x-1+2x).\]
               由此可知\[x=0\]为函数可能的极值点.又\[\because \sin x\backsim x,\cos x\backsim 1-\frac{x^2}{2},\]
                 有\[\begin{align*}f''(x) &=2(\sin x-x+x^2)+2x(\cos x-1+2x)+2x(\cos x-1+2x)+x^2(-\sin x+2) \\
&=12x^2-3x^3 \\
&=3x^2(4-x).
\end{align*}\]\[\Rightarrow f''(x)_{x\to 0^+}> 0,f''(x)_{x\to 0^-}> 0.\]从而可知,\[x=0\]是函数的极小值点.


二维码

扫码加我 拉你入群

请注明:姓名-公司-职位

以便审核进群资格,未注明则拒绝

点击查看更多内容…
相关推荐
栏目导航
热门文章
推荐文章

说点什么

分享

扫码加好友,拉您进群
各岗位、行业、专业交流群