经管之家App
让优质教育人人可得
立即打开
全部版块
我的主页
›
论坛
›
计量经济学与统计论坛 五区
›
计量经济学与统计软件
›
Stata专版
U型图像调节效应没有相交点
楼主
lumen11
556
0
收藏
2024-05-18
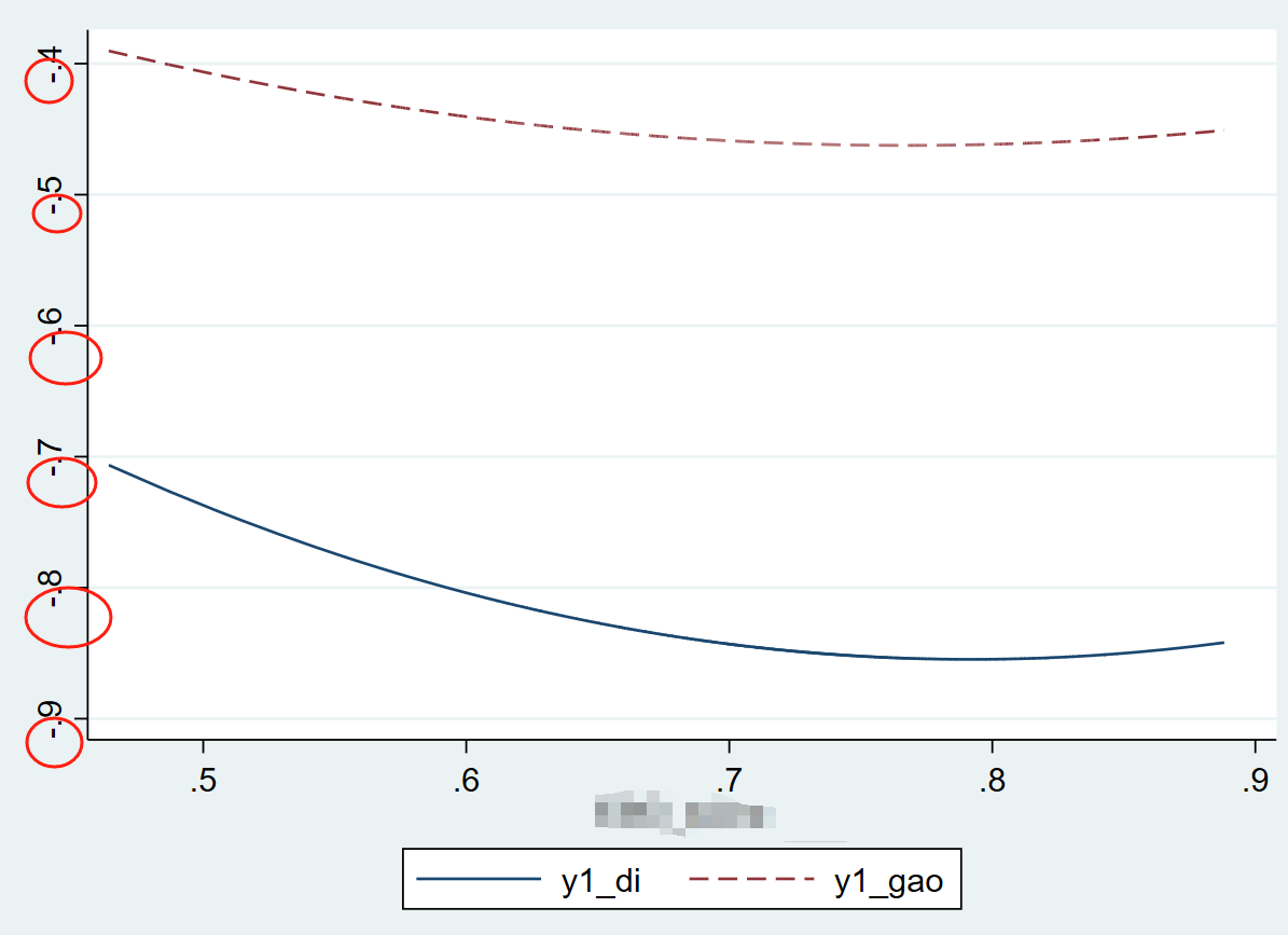
主效应是U相关,调节效应起到抑制的作用,但是图像画出来之后只能微弱地看出来曲线更加平缓了,并且两条线离得太远难以看出对比的差异。
想请问各位老师,这种曲线是不是没有什么说服力?
扫码加我 拉你入群
请注明:姓名-公司-职位
以便审核进群资格,未注明则拒绝
栏目导航
Stata专版
经管文库(原现金交易版)
大数据分析
数据交流中心
麦田创投
学道会
热门文章
Stata 最新外部指令(含Meta-Analysis及DAS ...
“木语者”袁宣华:芜湖是我的根!”
电力巡检无人机行业深度报告:智能电网时代 ...
整体微分几何初步 沈一兵
项目介绍 MATLAB实现基于最小二乘支持向量机 ...
南京2025年度房地产市场分析报告
高教现代数学基础 08 泛函分析第二教程 夏道 ...
CDA数据分析师:商业数据分析体系构建的核心 ...
对扩散语言模型开启了一次深度思考
CDA数据分析脱产就业班于2025年12月08日开班 ...
推荐文章
【必看】【本版版规,欢迎发悬赏贴求助】
26年寒假天津站|Gemini论文写作&数据分析 ...
2026JG学术冬训营:从Stata初高到Python机器 ...
关于如何利用文献的若干建议
关于学术研究和论文发表的一些建议
关于科研中如何学习基础知识的一些建议 (一 ...
一个自编的经济学建模小案例 --写给授课本科 ...
AI智能体赋能教学改革: 全国AI教育教学应用 ...
2025中国AIoT产业全景图谱报告-406页
关于文献求助的一些建议
说点什么
分享
微信
QQ空间
QQ
微博
扫码加好友,拉您进群
各岗位、行业、专业交流群