全部版块 我的主页
论坛 计量经济学与统计论坛 五区 计量经济学与统计软件 Stata专版
1122 10
2024-05-24
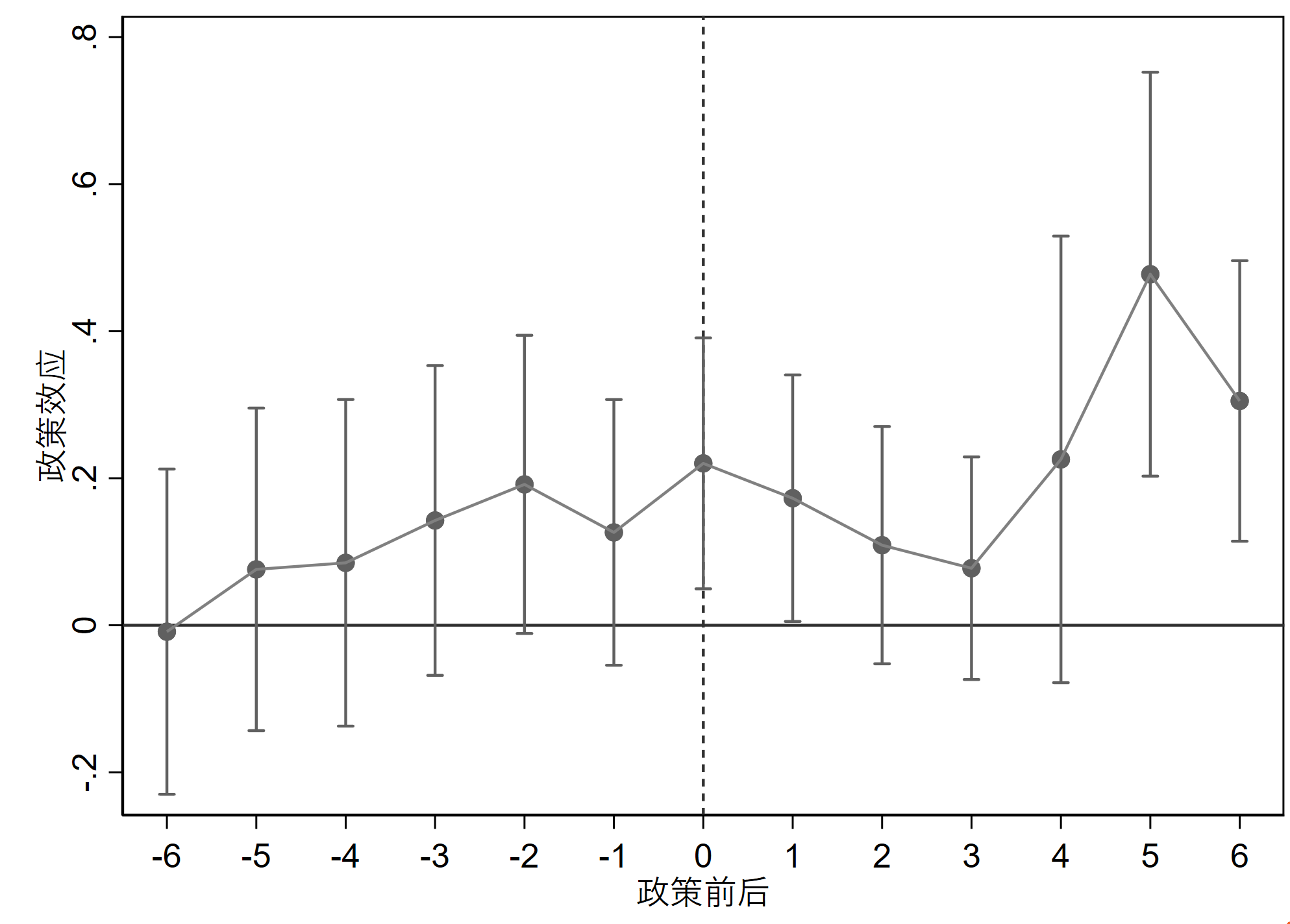
未通过的话有好的修改建议吗?
附件列表
微信图片_20240519005800.png

原图尺寸 89.68 KB

微信图片_20240519005800.png

二维码

扫码加我 拉你入群

请注明:姓名-公司-职位

以便审核进群资格,未注明则拒绝

全部回复
2024-5-24 20:12:18
秋刀鱼会过期zZ 发表于 2024-5-24 17:00
未通过的话有好的修改建议吗?
勉强通过,就是政策有滞后效应
二维码

扫码加我 拉你入群

请注明:姓名-公司-职位

以便审核进群资格,未注明则拒绝

2024-5-24 22:36:28
算过了。可以试试把基期调整到-1期,看看结果会不会更好。把基期放到-1期的做法更通用。
二维码

扫码加我 拉你入群

请注明:姓名-公司-职位

以便审核进群资格,未注明则拒绝

2024-5-24 22:36:30
算过了。可以试试把基期调整到-1期,看看结果会不会更好。把基期放到-1期的做法更通用。
二维码

扫码加我 拉你入群

请注明:姓名-公司-职位

以便审核进群资格,未注明则拒绝

2024-5-24 22:36:36
算过了。可以试试把基期调整到-1期,看看结果会不会更好。把基期放到-1期的做法更通用。
二维码

扫码加我 拉你入群

请注明:姓名-公司-职位

以便审核进群资格,未注明则拒绝

2024-5-26 08:51:18
算过了。可以试试把基期调整到-1期
二维码

扫码加我 拉你入群

请注明:姓名-公司-职位

以便审核进群资格,未注明则拒绝

点击查看更多内容…
相关推荐
栏目导航
热门文章
推荐文章

说点什么

分享

扫码加好友,拉您进群
各岗位、行业、专业交流群