经管之家App
让优质教育人人可得
立即打开
全部版块
我的主页
›
论坛
›
计量经济学与统计论坛 五区
›
计量经济学与统计软件
›
Stata专版
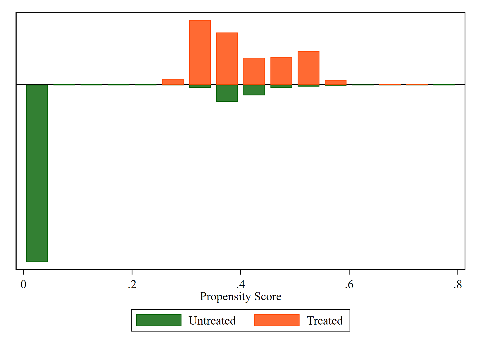
psm匹配后,虽样本全在共同支持域,但分布非常不均衡
楼主
18954695193
579
1
收藏
2024-05-24
附件列表
微信图片_1.png
原图尺寸 34.35 KB
扫码加我 拉你入群
请注明:姓名-公司-职位
以便审核进群资格,未注明则拒绝
全部回复
沙发
18954695193
2024-5-24 19:57:30
请问这样的结果可用用于回归吗?
扫码加我 拉你入群
请注明:姓名-公司-职位
以便审核进群资格,未注明则拒绝
相关推荐
请教连老师,关于PSM的问题
PSM匹配中的问题请教
psm敏感性检验
psm
求助psm代码及指导
psm如何限制在同一行业内进行匹配
求助PSM方法使用中的样本划分
关于PSM滥用的一些想法
PSM平衡性检验矢量图怎么看
PSM方法
栏目导航
stata专版
行业分析报告
能源经济学
经管文库
文献求助专区
数据交流中心
热门文章
CDA数据分析师:商业数据分析体系构建的核心 ...
2026全球隐私现状
高教现代数学基础07 可靠性统计 茆诗松
高教现代数学基础06 矩阵论 詹兴致
人机共生· 智启未来 - 2026AI内容营销六大 ...
【自用整理,24更新!】2000-2024新能源汽车上 ...
【热点指标,24更新!】2004-2024上市公司高管 ...
对扩散语言模型开启了一次深度思考
CDA 认证考试大纲 2025 重磅更新:一二级考 ...
CDA数据分析师:承接企业数据需求,解锁数据 ...
推荐文章
【必看】【本版版规,欢迎发悬赏贴求助】
26年寒假天津站|Gemini论文写作&数据分析 ...
2026JG学术冬训营:从Stata初高到Python机器 ...
关于如何利用文献的若干建议
关于学术研究和论文发表的一些建议
关于科研中如何学习基础知识的一些建议 (一 ...
一个自编的经济学建模小案例 --写给授课本科 ...
AI智能体赋能教学改革: 全国AI教育教学应用 ...
2025中国AIoT产业全景图谱报告-406页
关于文献求助的一些建议
说点什么
分享
微信
QQ空间
QQ
微博
扫码加好友,拉您进群
各岗位、行业、专业交流群