全部版块 我的主页
论坛 提问 悬赏 求职 新闻 读书 功能一区 经管文库(原现金交易版)
266 0
2024-06-01
1.计算说明
对外担保(Gua):期末存在对外担保时取值为1,否则为0
担保总规模(Totalgua1)=期末对外担保总额/期末总资产
对非子公司担保规模(Nsubgua1)=期末对非子公司担保金额/期末总资产
对子公司担保规模(Subgua1)=期末对子公司担保金额/期末总资产
为股东、实际控制人及其关联方提供的担保规模(Regua1)=期末为股东、实际控制人及其关联方提供担保的金额/期末总资产
直接或间接为资产负债率超过70%的被担保对象提供的债务担保规模(Objgua1)=期末直接或间接为资产负债率超过70%的被担保对象提供的债务担保金额/期末总资产
担保总额超过净资产50%部分的担保规模(Exgua1)=担保总额超过净资产50%部分的金额/期末总资产

高风险担保(Riskgua1):期末存在为资产负债率超过70%的单位提供担保或者为股东、实际控制人及其关联方提供担保时取值为1,否则为0
高风险担保(Riskgua2):期末存在为对外担保总额超过最近一期经审计净资产50%以后提供的任何担保、为资产负债率超过70%的单位提供担保或者为股东、实际控制人及其关联方提供担保时取值为1,否则为0
高风险担保规模(Riskguasize11)=(直接或间接为资产负债率超过 70%的被担保对象提供的债务担保金额+为股东、实际控制人及其关联方提供担保的金额)/期末总资产
高风险担保规模(Riskguasize21)=(担保总额超过净资产50%部分的金额+直接或间接为资产负债率超过 70%的被担保对象提供的债务担保金额+为股东、实际控制人及其关联方提供担保的金额)/期末总资产

同时,调整担保规模变量的度量方法,在Totalgua1、Nsubgua1、Subgua1、Regua1、Objgua1、Exgua1、Riskguasize11、Riskguasize21变量分母的度量上,采用期末净资产替换期末总资产,删除了净资产为负数和零的样本。分母采用期末净资产度量的变量,变量名分别将原来的变量名的末位由1变成了2,如担保总规模采用分母为期末总资产计算时变量名为Totalgua1,采用分母为期末净资产计算时变量名则为Totalgua2。


2.数据说明

样本选择:全部A股2008-2023年数据(“上市公司对外担保累计”文件在数据库中是从2008年开始,所以数据起点选择为2008年)

与大多数文献相同,做了如下的处理:剔除金融行业的样本;剔除当年年末被ST、*ST或PT的上市公司;删除了净资产为负数和零的样本(张俊瑞等,2014)

注:提供了剔除所需数据和剔除代码,若无需做该项剔除处理,自行删除相关代码重新运行即可

行业参照证监会2012年行业分类标准

并对连续型变量进行了1%和99%分位数的缩尾处理

每个压缩包都附有初始数据,计算代码,参考文献和最终数据


3.参考文献
[1]张俊瑞,刘彬,程子健,汪方军.上市公司对外担保与持续经营不确定性审计意见关系研究——来自沪深主板市场A股的经验证据[J].审计研究,2014(01):62-70.(Gua、Totalgua1、Totalgua2、Nsubgua1、Nsubgua2、Subgua1、Subgua2、Riskgua1)
[2]陈泽艺,李常青,李宇坤.对外担保与企业创新投入[J].金融研究,2022(04):133-150.(Nsubgua1、Nsubgua2)
[3]伊志宏,王皓,陈钦源.企业对外担保与股价崩盘风险——基于A股上市公司的经验证据[J].会计研究,2021(04):157-177.(Totalgua2、Nsubgua2、Subgua2)
[4]黄贤环,王瑶.集团内部债务担保与审计定价:风险扩散还是风险中和[J].上海财经大学学报,2021,23(01):107-121.(Subgua1、Subgua2)
[5]宋迪,刘长翠,杨超.内部控制质量与公司对外担保行为的相关性研究——基于沪深两市2008~2017年的经验证据[J].审计研究,2019(01):100-109.(Gua、Totalgua1、Regua1)
[6]冷奥琳,张俊瑞,邢光远.公司对外担保违约风险传递机理和影响效应研究——基于上市公司债券利差数据的实证分析[J].管理评论,2015,27(07):3-14.(Totalgua1、Subgua1、Nsubgua1)
[7]李嘉明,杨帆.对外担保会影响审计费用与审计意见吗?[J].审计与经济研究,2016,31(01):27-37.(Gua、Totalgua1、Totalgua2、Riskgua2)
[8]刘成立.对外担保、掏 空与外部审计治理效应[J].财贸研究,2010,21(03):131-138.(Totalgua1、Totalgua2、Nsubgua1、Nsubgua2、Subgua1、Subgua2、Regua2、Objgua2、Exgua2、Riskguasize22)

压缩包所含文件:
压缩包所含文件.png

数据样例:
数据样例.png

分年份数据量统计:
分年份数据量统计.png

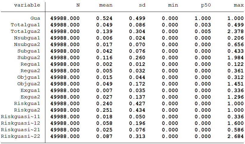
缩尾后的描述性统计结果:
缩尾后的描述性统计结果.png


2023对外担保.rar
大小:(25.36 MB)

只需: RMB 48元  马上下载

本附件包括:

  • 初始数据.dta
  • 计算结果.dta
  • 上市公司对外担保累计.dta
  • 计算代码.do
  • 对外担保、掏空与外部审计治理效应_刘成立.pdf
  • 对外担保会影响审计费用与审计意见吗__李嘉明.pdf
  • 对外担保与企业创新投入_陈泽艺.pdf
  • 公司对外担保违约风险传递机...公司债券利差数据的实证分析_冷奥琳.pdf
  • 集团内部债务担保与审计定价:风险扩散还是风险中和_黄贤环.pdf
  • 内部控制质量与公司对外担保...08~2017年的经验证据_宋迪.pdf
  • 企业对外担保与股价崩盘风险...基于A股上市公司的经验证据_伊志宏.pdf
  • 上市公司对外担保与持续经营...沪深主板市场A股的经验证据_张俊瑞.pdf
  • 初始数据.xlsx
  • 计算结果.xlsx
  • 上市公司对外担保累计.xlsx



二维码

扫码加我 拉你入群

请注明:姓名-公司-职位

以便审核进群资格,未注明则拒绝

相关推荐
栏目导航
热门文章
推荐文章

说点什么

分享

扫码加好友,拉您进群
各岗位、行业、专业交流群