经管之家App
让优质教育人人可得
立即打开
全部版块
我的主页
›
论坛
›
数据科学与人工智能
›
数据分析与数据科学
›
MATLAB等数学软件专版
mathematica效用最大化求导,不出结果
楼主
笨蛋一枚,,
906
1
收藏
2024-06-10
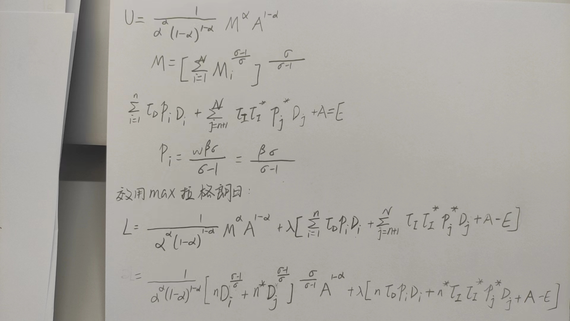
如图,我就是想通过L对D1,D2,A求偏导,得到D1,D2的结果,但是mathematica运行了三、四个小时,不出结果,又换到matlab,一直显示出错,请大家帮我看看哪里有问题,这两个软件有一个能算出结果就行
这是mathematica
这是matlab,L就是整个式子都放上去,截图没截完整
我就是想通过效用最大化求得下面的需求D
附件列表
x4.png
原图尺寸 147.98 KB
x3.png
原图尺寸 82.16 KB
xi1.jpg
原图尺寸 614.99 KB
x5.png
原图尺寸 313.98 KB
扫码加我 拉你入群
请注明:姓名-公司-职位
以便审核进群资格,未注明则拒绝
全部回复
沙发
海之城
2024-6-16 08:27:10
mathematica不能很好Reduce化简,可以先mathematica计算,然后手工化简
扫码加我 拉你入群
请注明:姓名-公司-职位
以便审核进群资格,未注明则拒绝
相关推荐
[推荐]The Mathematica Book 5ed
mathematica 4.0
请教mathematica画三维图问题~~~请大家指点~~谢谢
Mathematica软件
Mathematica软件讲座
求教mathematica!!!!谢谢!!!!!
Mathematica全书(中文特别版)
Mathematica 10 注册机【Mathematica 11 下载】【mathematica 教程】
【学习笔记】卸载了mathematica,安装了sagemath。终于可以用正版了,不错,心 ...
mathematica画图指南(英文)
栏目导航
MATLAB等数学软件专版
经管文库(原现金交易版)
金融实务版
麦田创投
求助成功区
stata专版
热门文章
“木语者”袁宣华:芜湖是我的根!”
CDA数据分析师:商业数据分析体系构建的核心 ...
对扩散语言模型开启了一次深度思考
CDA 认证考试大纲 2025 重磅更新:一二级考 ...
CDA数据分析脱产就业班于2025年12月08日开班 ...
财新 周刊26年
杠杆收购 投资银行和私募股权实战指南
【推荐】上市企业经济政策不确定性感知2001 ...
人机共生· 智启未来 - 2026AI内容营销六大 ...
2026三大消费趋势
推荐文章
【必看】【本版版规,欢迎发悬赏贴求助】
26年寒假天津站|Gemini论文写作&数据分析 ...
2026JG学术冬训营:从Stata初高到Python机器 ...
关于如何利用文献的若干建议
关于学术研究和论文发表的一些建议
关于科研中如何学习基础知识的一些建议 (一 ...
一个自编的经济学建模小案例 --写给授课本科 ...
AI智能体赋能教学改革: 全国AI教育教学应用 ...
2025中国AIoT产业全景图谱报告-406页
关于文献求助的一些建议
说点什么
分享
微信
QQ空间
QQ
微博
扫码加好友,拉您进群
各岗位、行业、专业交流群