经管之家App
让优质教育人人可得
立即打开
全部版块
我的主页
›
论坛
›
提问 悬赏 求职 新闻 读书 功能一区
›
经管文库(原现金交易版)
2001-2021年上市公司4种权益资本成本原始数据计算模型及代码(CAPM+MPEG+OJ+PEG)
楼主
noooowo
769
0
收藏
2024-08-07
2001-2021年上市公司4种权益资本成本原始数据计算模型及代码(CAPM+MPEG+OJ+PEG)
一、数据说明:
1、CAPM模型计算说明CAPM估算方程:ri=rf+βi(rm-rf) 其中: ri为股票i的报酬率(权益资本成本) rf为无风险利率,选用一年期整存整取利率的加权平均值作为无风险利率,加权计算的权重为天数βi为股票i的收益率对市场综合收益率的敏感系数 rm-rf表示市场风险溢价,采用Damodaran对于中国市场风险溢价ERP的估算数据。
2、MPEG模型计算说明基于市盈率的PEG模型以及基于市盈率增长率的MPEG模型,均是由Easton(2004)提出的。 与PEG模型不同,MPEG模型假设在预测的有效期内非正常收益增长率的期望变化率不为零(毛新述等,2012)。它的最大优点是,对股利政策没有其他限定,不仅对研究股本溢价有益,也能更好地解释单个企业的预期收益和风险(Easton,2004)。MPEG模型的公式如下:
其中: rPEGE表示权益资本成本 EPS2表示以当期为基准,预测两年之后的每股收益 EPS1表示以当期为基准,预测一年之后的每股收益 P0表示当期的股票价格 dps1表示下一期的每股股利,利用dps1=EPS1*δ求得 δ为过去三年的平均股利支付率 考虑到EPS2≥EPS1时上式有两个实根,而负的实根对于研究来说并无意义,故本文采用正的实根。
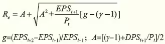
3、OJ模型计算说明采用Ohlson and Juettner-Nauroth(2005)提出的OJ模型(他们认为股票价格与未来一期的每股期望收益、每股收益的短期增长率、每股收益的长期增长率以及资本成本有关),设定模型如下:
其中Re为以第t期的信息为基础得到的权益资本成本 Pt为第t期的每股股价 EPSt+m为第t+m期的预期每股收益 DPSt+m为第t+m期的预期每股股利,由EPSt+m ×K计算得出 K选取目标年份的过去三年的平均股利支付率 长期增长率(γ-1)是指在相当长时期内整体经济的平均增长率,根据以往研究,使其为5% 上述模型的内在假设都是建立在EPSt+1>0和EPSt+2>0,所以舍弃未来一期和二期的每股收益预测为负的样本。
4、OPEG模型计算说明基于市盈率的PEG模型以及基于市盈率增长率的MPEG模型,均是由Easton(2004)提出的。PEG模型的公式如下:
其中: rPEG表示依据PEG模型计算的权益资本成本 EPS2表示以当期为基准,预测两年之后的每股收益 EPS1表示以当期为基准,预测一年之后的每股收益 P0表示当期的股票价格 PEG模型要求EPS2≥EPS1
样本选择:全部A股2001-2021年数据,剔除有缺失值的变量,对最终结果进行了1%和99%分位数的缩尾处理,行业参照证监会2012年行业分类标准每个压缩包都附有初始数据,计算代码和最终数据。
二、数据包含文件:
三、数据预览:
2001-2021年上市公司4种权益资本成本原始数据计算模型及代码(CAPM+MPEG+OJ+PEG)
大小:(85 Bytes)
只需: RMB 39元
马上下载
扫码加我 拉你入群
请注明:姓名-公司-职位
以便审核进群资格,未注明则拒绝
相关推荐
请问一下用CAPM做上市公司的权益资本成本的话,市场组合收益率用什么数据来代替呢?
如何用sas 通过CAPM求股权资本成本?求代码
上市公司权益资本成本CAPM之BETA数据2000-2021
最新·2000-2019年全国30个省市基于DEA法测算的创新效率数据(含测算过程和原始数据)
更新2021-2001年上市公司权益资本成本数据大全(包括MPEG、 PEG、CAPM、OJ)代码数据
权益资本成本-CAPM模型、MPEG模型、OJ模型、PEG模型原始数据及其代码(2000-2021年)
美属萨摩亚国家地区数据库1493个统计指标1960-2023人口就业社会经济国家治理科学技术碳排放等含原始数据、插值填补、回归填补页签
乌拉圭国家地区数据库1493个统计指标1960-2023人口就业社会经济国家治理科学技术碳排放等含原始数据、插值填补、回归填补页签
全球世界各国260多个国家和地区1960-2023 绑定率,简单平均值,制成品(%)、GDP、总人口、土地面积含原始数据、插值填补、回归填补页签
全球世界各国260多个国家和地区1960-2023 成人识字率(15岁及以上人口的百分比)、GDP、总人口、土地面积含原始数据、插值填补、回归填补页签
栏目导航
经管文库(原现金交易版)
宏观经济学
Excel
计量经济学与统计软件
真实世界经济学(含财经时事)
金融实务版
热门文章
CDA考试模拟题库:新增章节练习题(更新于1 ...
文本分析:从经管顶刊“加分项”到学术发表 ...
【AI Agent可靠性】 智能体Agent记忆系统: ...
CDA 认证考试大纲 2025 重磅更新:一二级考 ...
CAIE人工智能工程师认证
哈耶克作品集 6本 含通往奴役之路、自由宪章 ...
25秋投资学回忆
博观研究院2025年中国跨境进口保健品市场分 ...
PromptCoT-2.0-SFT-4.8M 监督微调提示 SFT ...
货币--是如何产生成长发展的和人类的四大工 ...
推荐文章
AI狂潮席卷学术圈,不会编程也能打造专属智 ...
10月重磅来袭|《打造Coze/Dify专属学术智能 ...
最快1年拿证,学费不足5W!热门美国人工智能 ...
关于如何利用文献的若干建议
关于学术研究和论文发表的一些建议
关于科研中如何学习基础知识的一些建议 (一 ...
一个自编的经济学建模小案例 --写给授课本科 ...
AI智能体赋能教学改革: 全国AI教育教学应用 ...
2025中国AIoT产业全景图谱报告-406页
关于文献求助的一些建议
说点什么
分享
微信
QQ空间
QQ
微博
扫码加好友,拉您进群
各岗位、行业、专业交流群