经管之家App
让优质教育人人可得
立即打开
全部版块
我的主页
›
论坛
›
数据科学与人工智能
›
数据分析与数据科学
›
SPSS论坛
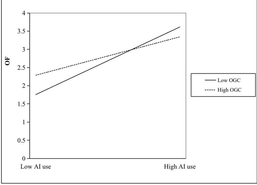
请问这个调节效应图是正向、负向或是颠覆性调节作用?
楼主
土豆烧牛肉111
1195
1
收藏
2024-09-20
如需批量上传资料发帖,请点击上方的批量上传发帖按钮
附件列表
屏幕截图 2024-09-20 002610.png
原图尺寸 34.44 KB
扫码加我 拉你入群
请注明:姓名-公司-职位
以便审核进群资格,未注明则拒绝
全部回复
沙发
土豆烧牛肉111
2024-9-28 19:00:19
111111
扫码加我 拉你入群
请注明:姓名-公司-职位
以便审核进群资格,未注明则拒绝
相关推荐
调节效应
关于层次回归的(高阶)非线性调节效应的分析和解释
调节效应
请教调节效应问题 (讨论有奖励)
关于倒U型的调节效应
关于门槛模型
调节效应模型
U型/倒U型调节效应
关于u型关系的调节效应
怎么看调节效应是正向调节还是负向调节
栏目导航
SPSS论坛
数据交流中心
经管文库(原现金交易版)
经管高考
外文文献专区
stata专版
热门文章
金融业发展的挑战和机遇
奇瑞2025年出口汽车超134.4万辆 蝉联中国车 ...
半年内连中2次彩票大奖
展望2026:学术智能体即将崛起?
CDA数据分析师:以数据思维赋能企业管理,驱 ...
CDA全国考点信息一览(更新于2025年12月10日 ...
Wooldridge的最新版Introductory Econometr ...
CDA Level III 认证考试大纲重磅更新并启用 ...
AI4S回归白盒符号主义,清华等联合发布SR-L ...
CDA数据分析脱产就业班于2025年12月08日开班 ...
推荐文章
26年寒假天津站|Gemini论文写作&数据分析 ...
2026JG学术冬训营:从Stata初高到Python机器 ...
关于如何利用文献的若干建议
关于学术研究和论文发表的一些建议
关于科研中如何学习基础知识的一些建议 (一 ...
一个自编的经济学建模小案例 --写给授课本科 ...
AI智能体赋能教学改革: 全国AI教育教学应用 ...
2025中国AIoT产业全景图谱报告-406页
关于文献求助的一些建议
几种免费下载文献的方法----我的文献应助经
说点什么
分享
微信
QQ空间
QQ
微博
扫码加好友,拉您进群
各岗位、行业、专业交流群