全部版块 我的主页
论坛 计量经济学与统计论坛 五区 计量经济学与统计软件 LISREL、AMOS等结构方程模型分析软件
1968 0
2014-06-25
向各位请教一个问题:
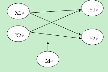
我想研究2个自变量(X1、X2)对2个因变量(Y1、Y2)的影响,调节变量(M)对上述4条路径起到调节作用。
从理论上来说,Y1会影响Y2,但是本研究主要关注和感兴趣的是X1、X2与Y1、Y2之间的关系,以及调节变量M对上述关系的调节作用,所以没有加Y1→Y2这个路径。
如果加上Y1→Y2这条路径的话,调节效应得到的结果与不加这条路径的时候,有较大差异。
请问像这样的情况,应该如何处理?

1111111111.jpg



二维码

扫码加我 拉你入群

请注明:姓名-公司-职位

以便审核进群资格,未注明则拒绝

相关推荐
栏目导航
热门文章
推荐文章

说点什么

分享

扫码加好友,拉您进群
各岗位、行业、专业交流群