### 关于高维非平衡面板数据在Stata中的运用
#### 问题1:处理非平衡面板数据
- **不需转换为平衡面板**:你不需要将数据强制转成平衡面板,直接使用现有数据即可。对于缺失的产业或年份,可以考虑使用多重填补(multiple imputation)或其他预测方法来估计缺失值,但这不是必须的,取决于你的研究设计和假设。
- **处理2010年的缺失值**:如果2010年的中介变量和控制变量全部是缺失的,一种策略是在模型中排除这一整年或仅使用有完整数据的部分进行分析。另一种方法是利用其他年份的数据进行预测填补(需谨慎评估是否适用)。
#### 问题2:选择适当的回归模型
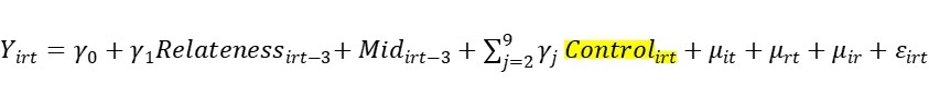
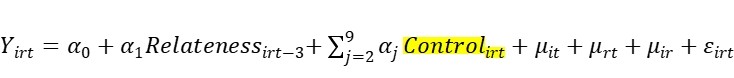
- **非线性模型与logit**:既然你的因变量Y是一个二元虚拟变量,直接用`logit`命令进行logistic回归是合适的。这是因为logit模型特别设计用于处理0/1的因变量。
- **Stata命令**:对于你的第一个模型(排除中介效应),基本的`logit`命令格式似乎是正确的:
```stata
logit yirt RELDENS_lag3 Control c.r_num##c.i c.r_num##c.t c.t##c.i, vce(cluster i)
```
注意,我增加了`vce(cluster i)`选项来处理可能的群集效应(假设按产业i进行聚类),这在面板数据中通常是必要的。
#### 进一步建议
- **加入固定效应**:考虑到你提到了固定效应u,在`logit`命令下直接包含固定效应变量可能会有难度,因为`logit`不支持高维固定效应。但是你可以尝试使用`xtlogit`或者在一些情况下,考虑`reghdfe`后做预测来转换数据为符合`logit`的格式。
- **软件限制**:目前`reghdfe`确实主要适用于线性模型,对于非线性的高维面板数据处理,你可能需要探索其他Stata命令或使用更专业的插件/软件包。
### 结论
直接运用`logit`模型来分析你的问题是一个合理的选择。确保在模型中适当地控制了固定效应和聚类标准误,以提高结果的稳健性。如果遇到软件限制,考虑使用多重填补、预测填补方法或探索Stata社区内的高级插件来增强模型的适用性和准确性。
此文本由CAIE学术大模型生成,添加下方二维码,优先体验功能试用