全部版块 我的主页
论坛 数据科学与人工智能 数据分析与数据科学 SAS专版
2508 2
2011-10-28
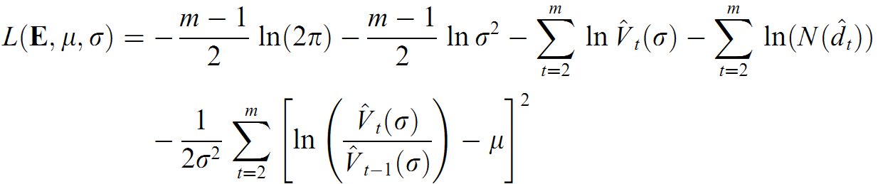
大家好,我需要在SAS中,每个月都要估计均值,和波动率,是基于MLE下得到参数估计。具体的表达式见附图。用到过去m=24个月的数据来估计这个月的u,和sigma,下个月滚动着估计。u的估计比较好得到,但是Vt,d1都是sigma的函数,所以sigma推不出直接的表达式,不知道大家是否知道在SAS中是否有这样的proc,或在IML中有这个函数,万分感谢。 图2.png 图3.png
二维码

扫码加我 拉你入群

请注明:姓名-公司-职位

以便审核进群资格,未注明则拒绝

全部回复
2011-10-29 11:08:39
There is many SAS procs will do MLE. I like proc nlmixed the most. You can specify your own likelihood function. See the link https://bbs.pinggu.org/thread-950900-1-1.html .
二维码

扫码加我 拉你入群

请注明:姓名-公司-职位

以便审核进群资格,未注明则拒绝

2011-10-31 14:43:08
bobguy 发表于 2011-10-29 11:08
There is many SAS procs will do MLE. I like proc nlmixed the most. You can specify your own likeliho ...
Thank you ~
二维码

扫码加我 拉你入群

请注明:姓名-公司-职位

以便审核进群资格,未注明则拒绝

相关推荐
栏目导航
热门文章
推荐文章

说点什么

分享

扫码加好友,拉您进群
各岗位、行业、专业交流群