经管之家App
让优质教育人人可得
立即打开
全部版块
我的主页
›
论坛
›
数据科学与人工智能
›
数据分析与数据科学
›
R语言论坛
求助一个参数估计的问题
楼主
Aeolus1014
1295
2
收藏
2015-01-06
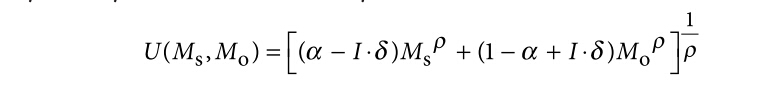
小白请教大家 我的模型如附图其中I,ms,和Mo已知,因变量是二分变量1和0 想用R进行参数估计 其他三个参数 也就是 alph sigma 和 rho
该用什么办法?如果想用极大似然,函数该怎么写 谢谢了
扫码加我 拉你入群
请注明:姓名-公司-职位
以便审核进群资格,未注明则拒绝
全部回复
沙发
Aeolus1014
2015-1-6 10:03:17
文科生搞模型真是举步维艰 求助大家 O(∩_∩)O
扫码加我 拉你入群
请注明:姓名-公司-职位
以便审核进群资格,未注明则拒绝
藤椅
Aeolus1014
2015-1-6 12:16:36
求助啊
扫码加我 拉你入群
请注明:姓名-公司-职位
以便审核进群资格,未注明则拒绝
相关推荐
6Sigma文摘集
请教高手,如何在sas中做非线性的极大似然参数估计?
请问极大似然参数估计
怎么用SAS 做MLE
请教一个关于R求参数估计的一个问题
请教:问统计上很简单一个问题,参数估计用哪个软件来做
对数极大似然函数的参数估计。求助!!!
ARMA模型的参数估计 最小二乘 极大似然
求助韦伯分布的参数估计
请问一个正态分布参数估计问题
栏目导航
R语言论坛
stata专版
行业分析报告
经管文库
文献求助专区
数据交流中心
热门文章
OpenClaw+Claude Code丨从"手动科研"到 ...
CDA数据分析脱产就业班在2026年3月7日开班了 ...
从数据源头到商业洞察:CDA数据分析师视角下 ...
斯坦福2026报告:中国AI模型追上美国(英)-4 ...
2025年全国及各省市经济财政债务分析
商业航天行业Space X:引领商业航天范式变革 ...
好书分享-AI开天辟地者:《艾伦 图灵传》
奇瑞风云T9L全球上市
2012-2024年上市公司企业实质性创新/策略性 ...
【重磅,24更新!】2012-2025我国社会融资规 ...
推荐文章
五一充电,学术突围!四大AI赋能王牌课程, ...
关于学术研究和论文发表的一些建议
几种免费下载文献的方法----我的文献应助经
【必看】【本版版规,欢迎发悬赏贴求助】
【新课】26年3月|Gemini辅助论文写作与数据 ...
关于如何利用文献的若干建议
关于科研中如何学习基础知识的一些建议 (一 ...
一个自编的经济学建模小案例 --写给授课本科 ...
AI智能体赋能教学改革: 全国AI教育教学应用 ...
2025中国AIoT产业全景图谱报告-406页
说点什么
分享
微信
QQ空间
QQ
微博
扫码加好友,拉您进群
各岗位、行业、专业交流群