全部版块 我的主页
论坛 经济学论坛 三区 微观经济学 经济金融数学专区
746 2
2024-11-12
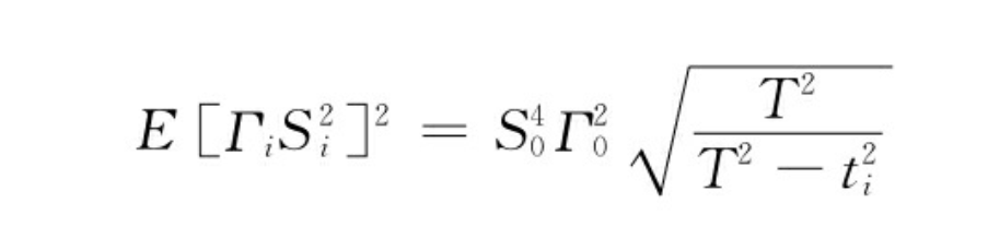
下角标i表示某个时刻i,0表示初始时刻,T为期限,t_i为到目前的时间,S为股票价格,Gamma为合约当前Gamma值,求求大佬给出详细一些的计算,书上的意思是求出PDF后积分,但感觉这样会很难算?感谢大佬 v2-82b45f5de6ed4e686e578026451b4d60_r.png
二维码

扫码加我 拉你入群

请注明:姓名-公司-职位

以便审核进群资格,未注明则拒绝

全部回复
2024-11-17 09:12:41
这个不擅长,抱歉
二维码

扫码加我 拉你入群

请注明:姓名-公司-职位

以便审核进群资格,未注明则拒绝

2025-12-29 15:33:52
这个公式毫无意义
二维码

扫码加我 拉你入群

请注明:姓名-公司-职位

以便审核进群资格,未注明则拒绝

相关推荐
栏目导航
热门文章
推荐文章

说点什么

分享

扫码加好友,拉您进群
各岗位、行业、专业交流群