全部版块 我的主页
论坛 计量经济学与统计论坛 五区 计量经济学与统计软件
1154 4
2011-12-23

类别与距离资料
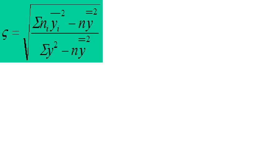
数据资料 求相关关系的呢。。。谢谢!!!补充下,老师下面给了这么一个公式,不知道指的是什么。。。


无标题.png
二维码

扫码加我 拉你入群

请注明:姓名-公司-职位

以便审核进群资格,未注明则拒绝

全部回复
2011-12-23 11:34:06
啥数据啊,不明确啊。根据结果调调
二维码

扫码加我 拉你入群

请注明:姓名-公司-职位

以便审核进群资格,未注明则拒绝

2011-12-23 17:27:02
y上面加一横应该表示组内均值,y上面加两横应该表示总体均值。
二维码

扫码加我 拉你入群

请注明:姓名-公司-职位

以便审核进群资格,未注明则拒绝

2011-12-23 22:29:15
ermutuxia 发表于 2011-12-23 17:27
y上面加一横应该表示组内均值,y上面加两横应该表示总体均值。
谢谢咯。问下分子里的y是指所有的数据吗?为什么不分行和列呢?yi是指列还是?
二维码

扫码加我 拉你入群

请注明:姓名-公司-职位

以便审核进群资格,未注明则拒绝

2011-12-26 09:11:13
zywyl 发表于 2011-12-23 22:29
谢谢咯。问下分子里的y是指所有的数据吗?为什么不分行和列呢?yi是指列还是?
是的,应该是指所有数据
二维码

扫码加我 拉你入群

请注明:姓名-公司-职位

以便审核进群资格,未注明则拒绝

相关推荐
栏目导航
热门文章
推荐文章

说点什么

分享

扫码加好友,拉您进群
各岗位、行业、专业交流群