全部版块 我的主页
论坛 数据科学与人工智能 数据分析与数据科学 MATLAB等数学软件专版
14276 23
2012-03-19
悬赏 10 个论坛币 已解决
使用uscd_garch工具箱进行对角阵的BEKK-GARCH模型进行估计时,出来的结果如何解释,各个参数对应的系数是哪个?t统计量或者估计标准误差如何看?
具体:
两个序列:2*356
使用模型:[parameters, loglikelihood, Ht, likelihoods, stdresid, stderrors, A, B, scores] = diagonal_bekk_T_mvgarch(data,p,q,BEKKoptions);

对应工具箱中的解释:
PURPOSE:
%      To Estimate a diagonal BEKK multivariate GARCH model with T-dist errors.  ****SEE WARNING AT END OF HELP FILE****
%
% USAGE:
%      [parameters, loglikelihood, Ht, likelihoods, stdresid, stderrors, A, B, scores]  = diagonal_bekk_T_mvgarch(data,p,q,options);
%
% INPUTS:
%      data          - A t by k matrix of zero mean residuals
%      p             - The lag length of the innovation process
%      q             - The lag length of the AR process
%      options       - (optional) Options for the optimization(fminunc)
%
% OUTPUTS:
%      parameters    - A (k*(k+1))/2+p*k+q*k+1 vector of estimated parameteters.
%                         For any k set of Innovation or AR parameters X,
%                         diag(X) will give the correct matrix
%                         To recover C, use ivech(parmaeters(1:(k*(k+1))/2), nu is the last parameter
%      loglikelihood - The loglikelihood of the function at the optimum
%      Ht            - A k x k x t 3 dimension matrix of conditional covariances
%      likelihoods   - A t by 1 vector of individual likelihoods
%      stdresid      - A t by k matrix of multivariate standardized residuals
%      stderrors     - A numParams^2 square matrix of robust Standad Errors(A^(-1)*B*A^(-1)*t^(-1))
%      A             - The estimated inverse of the non-robust Standard errors
%      B             - The estimated covariance of the scores
%      scores        - A t by numParams matrix of individual scores
%
%
% COMMENTS:
%      ***************************************************************************************
%      *  THIS FUNCTION INVOLVES ESTIMATING QUITE A FEW PARAMETERS.  THE EXACT NUMBER OF
%      *  PARAMETERS NEEDING TO BE ESTIMATED IS (k*(k+1))/2+pk+qk.  FOR A 5 VARIATE (1,1) MODEL
%      *  THIS INVLOVES 25 PARAMETERS.  IN ADDITION, IT ESTIMATES A SCALAR_BEKK_MVGARCH
%      *  MODEL FOR STARTING VALUES.
%      ***************************************************************************************
%
%
% Author: Kevin Sheppard
% kevin.sheppard@economics.ox.ac.uk
% Revision: 2    Date: 12/31/2001


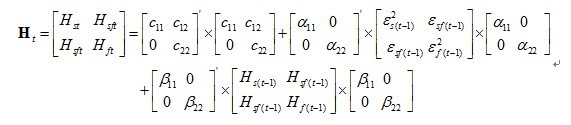
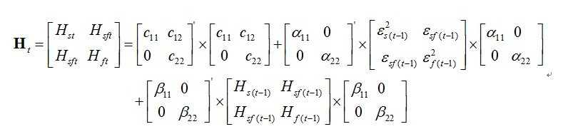
假设BEKK模型是:
未命名.jpg
最终估计出来的结果:
parameters:
0.00998706064970756
0.00976385886878744
0.00295361221985619
0.00450853392320618
0.00450826807508813
0.713312528463977
0.713308685586561
11.0999807506309


stderrors
是一个8*8的矩阵
未命名.jpg

请问各位大侠:模型的系数及其t统计量到底是哪个?
未命名.jpg

原图尺寸 19.05 KB

未命名.jpg

最佳答案

epoh 查看完整内容

这个问题我曾以数据hp_ibm.txt回答过 hp_ibm.txt在50楼 https://bbs.pinggu.org/thread-1127506-5-1.html s-plus有算出se,t,p-value matlab需要自己运算 %%%%%%% s-plus Modelling Financial Time Series with S-PLUS page 516/1016 module("finmetrics") hp.ibm = seriesMerge(hp.s, ibm.s) hp.ibm=100*hp.ibm hp.ibm.bekk = mgarch(hp.ibm~-1, ~bekk(1,1)) hp.ibm.bekk Call: mgarch(formula.mean = hp.i ...
二维码

扫码加我 拉你入群

请注明:姓名-公司-职位

以便审核进群资格,未注明则拒绝

全部回复
2012-3-19 17:13:05
这个问题我曾以数据hp_ibm.txt回答过
hp_ibm.txt在50楼
https://bbs.pinggu.org/thread-1127506-5-1.html

s-plus有算出se,t,p-value
matlab需要自己运算
%%%%%%%
s-plus
Modelling Financial Time Series with S-PLUS
page 516/1016

module("finmetrics")
hp.ibm = seriesMerge(hp.s, ibm.s)
hp.ibm=100*hp.ibm
hp.ibm.bekk = mgarch(hp.ibm~-1, ~bekk(1,1))
hp.ibm.bekk

Call:
mgarch(formula.mean = hp.ibm ~ -1, formula.var =  ~ bekk(1, 1))
Mean Equation: structure(.Data = hp.ibm ~ -1, class = "formula")
Conditional Variance Equation: structure(.Data =  ~ bekk(1, 1),class = "formula")

Coefficients:

A(1, 1)          0.74486
A(2, 1)         -0.34202
A(2, 2)          0.47969
ARCH(1; 1, 1)    0.20091
ARCH(1; 2, 1)   -0.02610
ARCH(1; 1, 2)   -0.05714
ARCH(1; 2, 2)    0.41349
GARCH(1; 1, 1)  0.82645
GARCH(1; 2, 1)  0.12095
GARCH(1; 1, 2)  0.25594
GARCH(1; 2, 2)  0.70165
                        
%%%%%%%%%%%%%%%%matlab
load('hp_ibm.txt')
data=100*hp_ibm;
[parameters, loglikelihood, Ht, likelihoods, stdresid, stderrors, A, B, scores]  = full_bekk_mvgarch(data,1,1);
parameters

parameters =
    0.6971
   -0.3355
    0.5062
    0.1955
   -0.0242
   -0.0369
    0.4192
    0.8438
    0.1163
    0.2327
    0.6977



二维码

扫码加我 拉你入群

请注明:姓名-公司-职位

以便审核进群资格,未注明则拒绝

2012-3-19 22:48:37
epoh 发表于 2012-3-19 19:05
这个问题我曾以数据hp_ibm.txt回答过
hp_ibm.txt在50楼
https://bbs.pinggu.org/thread-1127506-5-1.html
...
谢谢epoh老师,有个问题不知道是不是我的工具箱问题,我安装的ucsd-garch模型进行garch分析时,出现一些关于optimize的问题,我删除了一些没有必要的参数,有些程序可以运行了,有些不听,不知道老师那边有没有比较新的工具箱,可以发我一个,我的邮箱caizz188@163.com
二维码

扫码加我 拉你入群

请注明:姓名-公司-职位

以便审核进群资格,未注明则拒绝

2012-3-20 08:47:08
caizz188 发表于 2012-3-19 22:48
谢谢epoh老师,有个问题不知道是不是我的工具箱问题,我安装的ucsd-garch模型进行garch分析时,出现一些关 ...
我用的版本应该跟你一样
我安装jplv7 toolbox
  http://www.spatial-econometrics.com/
要注意的是Ucsd_garch,
MV Garch 都是NOMEAN,
也就是data都是zero mean

[parameters, loglikelihood, Ht...]  = full_bekk_mvgarch(data,p,q, BEKKoptions)
INPUTS:
   data  - A t by k matrix of zero mean residuals
二维码

扫码加我 拉你入群

请注明:姓名-公司-职位

以便审核进群资格,未注明则拒绝

2012-3-21 09:42:28
epoh 发表于 2012-3-20 08:47
我用的版本应该跟你一样
我安装jplv7 toolbox
  http://www.spatial-econometrics.com/
那如果不是为零,要怎么处理?
二维码

扫码加我 拉你入群

请注明:姓名-公司-职位

以便审核进群资格,未注明则拒绝

2012-3-21 10:24:22
caizz188 发表于 2012-3-21 09:42
那如果不是为零,要怎么处理?
function armaxfilter()
[parameters, errors...]=armaxfilter(y,constant,ar,ma,x,options)
二维码

扫码加我 拉你入群

请注明:姓名-公司-职位

以便审核进群资格,未注明则拒绝

点击查看更多内容…
相关推荐
栏目导航
热门文章
推荐文章

说点什么

分享

扫码加好友,拉您进群
各岗位、行业、专业交流群