全部版块 我的主页
论坛 经济学论坛 三区 微观经济学
3918 15
2012-05-13

问题如下:


首先给出一个定义和计算公式:来自高鸿业西方经济学第五版,范里安中级微观也是一样的做法。

边际成本定义:边际成本是厂商在短期内增加一单位产量时所增加的成本。

计算公式:
04.JPG

十八讲第九讲的课后题,那个第四题边际成本,题目如下:

01.JPG

金圣才的答案如下:

02.JPG
很明显金圣才的答案在画圈哪里错误太明显了

还有一份答案:

03.JPG

疑问:为啥子求导求出来的跟总成本变化量再除以产量变化量得到的不一样?




二维码

扫码加我 拉你入群

请注明:姓名-公司-职位

以便审核进群资格,未注明则拒绝

全部回复
2012-5-13 17:00:33
怎么没人回帖啊?
二维码

扫码加我 拉你入群

请注明:姓名-公司-职位

以便审核进群资格,未注明则拒绝

2012-5-14 14:07:57
[重复内容,用户自行删除]
附件列表
Untitled.png

原图尺寸 129 Bytes

Untitled.png

二维码

扫码加我 拉你入群

请注明:姓名-公司-职位

以便审核进群资格,未注明则拒绝

2012-5-14 14:13:38
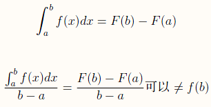
你的两个表格数据,其中的MC都是用的导函数的结果吧,这是一份求差的结果(平均值都舍入为整数了,这个倒无所谓)。

20120514201615.png



假设f(x)的原函数是F(x),这两种求MC的区别就是:
· 第一种是区间[a,b]的差商 Δ/ Δ,描述宏观的区间[a,b]的F(x)变化率:例如匀加速直线运动中时刻a到b的平均速率;
· 第二种是x=b点的导数,也就是上述差商的极限( Δ →0,a→b):例如上述匀加速直线运动中时刻b的瞬时速率。

显然两种速率可以是不同的。

他们的关系就是:

20120514201624.png



例如时刻a到b之间的平均速率应该等于各时刻瞬时速率之和的平均数,或者等于路程差的平均数。



再回到这个题目里面,求Q=4的MC:
· 直接用[TC(4)-TC(3)]/1
· 用TC函数的导函数的话,就得对MC在[3,4]区间上的积分求平均数。
二维码

扫码加我 拉你入群

请注明:姓名-公司-职位

以便审核进群资格,未注明则拒绝

2012-5-14 20:54:00
WangLuoxuan 发表于 2012-5-14 14:13
你的两个表格数据,其中的MC都是用的导函数的结果吧,这是一份求差的结果(平均值都舍入为整数了,这个倒无 ...
我目前的权限就只能给你那么多的评分,太感谢你了,上次你推荐的吉米多维奇习题集,帮我解决数学问题,我的帖子没多少人看,真的感谢你哈。应该是前几天,错把你取消关注,请大哥你不要生气哦。真的非常谢谢你。
二维码

扫码加我 拉你入群

请注明:姓名-公司-职位

以便审核进群资格,未注明则拒绝

2012-5-14 20:56:44
WangLuoxuan 发表于 2012-5-14 14:13
你的两个表格数据,其中的MC都是用的导函数的结果吧,这是一份求差的结果(平均值都舍入为整数了,这个倒无 ...
若你还有经典的, 再推荐几本数学书吧?

已经恢复关注了哈。
二维码

扫码加我 拉你入群

请注明:姓名-公司-职位

以便审核进群资格,未注明则拒绝

点击查看更多内容…
相关推荐
栏目导航
热门文章
推荐文章

说点什么

分享

扫码加好友,拉您进群
各岗位、行业、专业交流群