这一部分,每一本经济学书都会讲到的(拍卖除外),大家好好看吧
以下都是按照曹乾翻译第七版的页码
p264 图15.7曹乾老师遗漏了。
( 其实不给图也可以明白,高鸿业详细讲过这个图形)
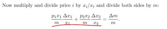
p265 第四个公式明显错误,正确的公式见图
所有截图都是来自范里安的英文教材,如果你也发现有新的错误,欢迎分享给大家。
(不含错别字类的错误,指出的错误应为影响理解的地方,一本书有错别字大家应该理解)
在这一部分里,你有什么样的疑惑也可以在帖子下方留言提问,咱们一起讨论一下。
这几章的正文习题以及附录都实在是太经典了,大家一点要仔细体会哦。
附录部分千万不可放过,那才是真正的中级微观的部分。
经典习题本想截图的,想想算了,在onceonce的帖子里,有一个专门各章习题的pdf。
https://bbs.pinggu.org/thread-1100547-1-1.html
文章中遇到有兴趣的paper(百度文科没有找到,paper只是为了扩展知识面,属于有精力有兴趣阅读材料)
01 Mervyn King,"Welfare Analysis of Tax Reforms Using Household Data," Journal of Public Economics,21 (1983), 183-214.
02 Robert Willig, "Consumer's Surplus without Apology," American Economic Review, 66 (1976),589-597.
03 John McMillan,"Selling Spectrum Rights," Journal of Economic Perspectives, 8(3), 145-152