经管之家App
让优质教育人人可得
立即打开
全部版块
我的主页
›
论坛
›
数据科学与人工智能
›
数据分析与数据科学
›
MATLAB等数学软件专版
求助:用MATLAB程序如何求解下列最优化问题!
楼主
heartfly1980
2304
4
收藏
2012-06-28
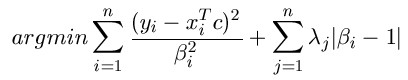
如何用MATLAB求解如下最小值问题?或者在MATLAB中有没有相关的软件包可用?
附件列表
公式.jpg
原图尺寸 4.66 KB
公式.jpg
原图尺寸 4.66 KB
Doc2.doc
大小:27.5 KB
马上下载
扫码加我 拉你入群
请注明:姓名-公司-职位
以便审核进群资格,未注明则拒绝
全部回复
沙发
Henryzhu
2012-6-28 14:39:15
你确定你的表达式没有问题?
扫码加我 拉你入群
请注明:姓名-公司-职位
以便审核进群资格,未注明则拒绝
藤椅
heartfly1980
2012-6-28 15:03:26
你好!本来式子中还有类似常数的部分,我为了简化把它们去掉了。
扫码加我 拉你入群
请注明:姓名-公司-职位
以便审核进群资格,未注明则拒绝
板凳
heartfly1980
2012-6-28 15:09:29
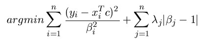
我把式子写的更具体一些为:
附件列表
)HJ8Y1Q]TWG~PRRNY1M0W}J.jpg
原图尺寸 7.8 KB
扫码加我 拉你入群
请注明:姓名-公司-职位
以便审核进群资格,未注明则拒绝
报纸
heartfly1980
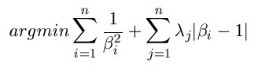
2012-6-28 15:19:41
不好意思,我上边的公式写错了,更正一下公式:
附件列表
))K7G)NYF6~{L(X%2E7Y3GP.jpg
原图尺寸 7.77 KB
扫码加我 拉你入群
请注明:姓名-公司-职位
以便审核进群资格,未注明则拒绝
相关推荐
线性拟合matlab程序
请大家帮我看看此程序是否matlab程序,若是,错误在哪里?
程序百例(方便,实用)
GM模型求解+检验+作图matlab程序
MATLAB程序提示求解器过早结束运算!
matlab程序运行
关于高等数学问题的MATLAB程序求解
遗传算法的matlab程序
使用回溯算法写的数独求解matlab程序
MATLAB程序设计与应用 刘卫国 2006
栏目导航
MATLAB等数学软件专版
经管文库(原现金交易版)
数据交流中心
求助成功区
麦田创投
爱问频道
热门文章
Stata 最新外部指令(含Meta-Analysis及DAS ...
“木语者”袁宣华:芜湖是我的根!”
电力巡检无人机行业深度报告:智能电网时代 ...
整体微分几何初步 沈一兵
项目介绍 MATLAB实现基于最小二乘支持向量机 ...
南京2025年度房地产市场分析报告
高教现代数学基础 08 泛函分析第二教程 夏道 ...
CDA数据分析师:商业数据分析体系构建的核心 ...
对扩散语言模型开启了一次深度思考
CDA数据分析脱产就业班于2025年12月08日开班 ...
推荐文章
【必看】【本版版规,欢迎发悬赏贴求助】
26年寒假天津站|Gemini论文写作&数据分析 ...
2026JG学术冬训营:从Stata初高到Python机器 ...
关于如何利用文献的若干建议
关于学术研究和论文发表的一些建议
关于科研中如何学习基础知识的一些建议 (一 ...
一个自编的经济学建模小案例 --写给授课本科 ...
AI智能体赋能教学改革: 全国AI教育教学应用 ...
2025中国AIoT产业全景图谱报告-406页
关于文献求助的一些建议
说点什么
分享
微信
QQ空间
QQ
微博
扫码加好友,拉您进群
各岗位、行业、专业交流群