全部版块 我的主页
论坛 计量经济学与统计论坛 五区 计量经济学与统计软件 Stata专版
15913 24
2012-08-10
最近关于GARCH-DCC的帖子不少,有的童鞋用winrats做,有的童鞋用matlab做,还有的用ox、splus做什么的。其中,运用winrats做GARCH-DCC的帖子引发热议,论坛帖子的链接如下:https://bbs.pinggu.org/forum.php?mod=viewthread&tid=1208034&highlight=garch%2Bdcc
事实上,阿连老师公布的STATA12也可做GARCH-DCC,但是,目前还不清楚怎么用STATA12计算动态相关系数。
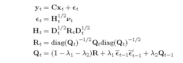
如果根据GARCH-dcc的定义(如下图)
QQ截图20120810160224.jpg

计算动态相关系数rhoijt就要知道知道h_ijt,h_iit和h_jjt,这些要在STATA里面用什么命令展现出来呢?
QQ截图20120810173209.jpg




二维码

扫码加我 拉你入群

请注明:姓名-公司-职位

以便审核进群资格,未注明则拒绝

全部回复
2012-8-10 23:05:34
很好奇你怎么会会找到我的,我只看K线,不搞学术的
二维码

扫码加我 拉你入群

请注明:姓名-公司-职位

以便审核进群资格,未注明则拒绝

2012-8-11 09:20:24
iharpst 发表于 2012-8-10 23:05
很好奇你怎么会会找到我的,我只看K线,不搞学术的
哈哈,我只知道你可能是搞金融的,不知道你不搞学术啊。
二维码

扫码加我 拉你入群

请注明:姓名-公司-职位

以便审核进群资格,未注明则拒绝

2012-8-11 13:44:05
kate_kaka 发表于 2012-8-11 09:20
哈哈,我只知道你可能是搞金融的,不知道你不搞学术啊。
可以看看我的主贴嘛
https://bbs.pinggu.org/thread-1015092-1-1.html
二维码

扫码加我 拉你入群

请注明:姓名-公司-职位

以便审核进群资格,未注明则拒绝

2013-7-10 18:49:28
请问楼主有找到怎么用STATA求时变相关系数的方法吗?最近写论文也遇到这个问题!先谢谢啦
二维码

扫码加我 拉你入群

请注明:姓名-公司-职位

以便审核进群资格,未注明则拒绝

2014-3-10 21:10:35
直接用stata命令做,mgarch dcc,下面显示的lambda1和lambda2即为时变相关系数方程中的参数。
二维码

扫码加我 拉你入群

请注明:姓名-公司-职位

以便审核进群资格,未注明则拒绝

点击查看更多内容…
相关推荐
栏目导航
热门文章
推荐文章

说点什么

分享

扫码加好友,拉您进群
各岗位、行业、专业交流群