全部版块 我的主页
论坛 数据科学与人工智能 数据分析与数据科学 SAS专版
3332 4
2012-11-22
悬赏 1 个论坛币 已解决
最近自学中,有如下疑问:
用NPAR1WAY做秩和检验,WILCOXON方法的主要思想是计算两类样本的秩和,然后通过比较秩和来判断两类样本的均值是否相等;MEAN方法的主要思想是统计两个样本位于平均值之上的个数。


那么,SAVAGE和VW方法的主要思想分别是什么呢?看了帮助文档,也没明白在说什么... ...


最佳答案

ziyenano 查看完整内容

有一组数据:a:10 15 5 20 25秩为:r: 2 3 1 4 5wilcoxon 直接将秩作为a中每个数的得分;VW:VW则将秩r除以(n+1),值范围在(0,1)之间,然后求其标准正态分布的分位数,将分位数作为a中每个数的得分;Savage :Savage则是将等式左边的值,作为a中每个数的得分。
二维码

扫码加我 拉你入群

请注明:姓名-公司-职位

以便审核进群资格,未注明则拒绝

全部回复
2012-11-22 22:48:00

有一组数据:

a:10 15 5 20 25

秩为:

r: 2 3 1  4  5

wilcoxon 直接将秩作为a中每个数的得分;

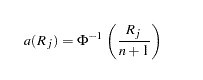
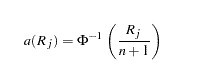
VW

未命名1.jpg

VW则将秩r除以(n+1,值范围在(0,1)之间,然后求其标准正态分布的分位数,

将分位数作为a中每个数的得分;

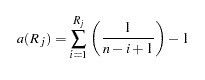
Savage

未命名.jpg

Savage则是将等式左边的值,作为a中每个数的得分。


附件列表
未命名.jpg

原图尺寸 2.72 KB

未命名.jpg

二维码

扫码加我 拉你入群

请注明:姓名-公司-职位

以便审核进群资格,未注明则拒绝

2012-11-23 09:54:21
顶一个
二维码

扫码加我 拉你入群

请注明:姓名-公司-职位

以便审核进群资格,未注明则拒绝

2012-11-23 15:30:35
ziyenano 发表于 2012-11-22 22:48
有一组数据:a:10 15 5 20 25秩为:r: 2 3 1  4  5wilcoxon 直接将秩作为a中每个数的得分;VW:VW则将秩r除 ...
谢谢解答
二维码

扫码加我 拉你入群

请注明:姓名-公司-职位

以便审核进群资格,未注明则拒绝

2013-11-5 17:00:02
geiliable
二维码

扫码加我 拉你入群

请注明:姓名-公司-职位

以便审核进群资格,未注明则拒绝

相关推荐
栏目导航
热门文章
推荐文章

说点什么

分享

扫码加好友,拉您进群
各岗位、行业、专业交流群