(1)基于GARCH模型的滤波历史模拟法的思想:
由于原始的历史收益率数据不满足独立同分布的假设,通常表现出一定的相关性和波动聚集性,因此我们会考虑引入MA模型来消除序列相关性和GARCH类模型来反应收益序列的波动集中性。
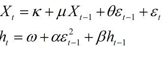
比如,经过多番验证,最终证实该序列满足ARMA(1,1)——GARCH(1,1),那么我们就会设定如下模型:
其中第一个式子为条件均值方程,Xt标识的是收益率,X(t-1)前的系数表达AR项,theta表达MA项。第二个式子为条件方差方程,从左至右的三个参数分别表示常项、ARCH项和GARCH项。设定

为服从N(0,
ht)的随机残差序列。
此时,我们可以计算标准化的残差收益序列:
式子中的带^的那两个参数表示的是模型估计值。此时,
et 就是独立同分布的了。
(2)以上就是滤波历史模拟法的过程,下面困扰我这几天的问题就是:
ht+1 怎么假定?难道我自己随便编造一个数据,这显然是没意义的啊,那我应该如何选取该数据呢?
从某分布中抽取样本et+1 ,我应该怎么抽取呢?我可以使用原有估计模型中计算出的那个et 序列么?
诚心等待各位好心的兄弟姐妹的解答。正在做毕业论文,卡在这个问题上,感到特别无助,希望大神快快来救救我,谢谢!