全部版块 我的主页
论坛 数据科学与人工智能 数据分析与数据科学 SAS专版
4948 11
2013-04-02
下面的程序运行的超慢 ,各位高手能否帮我看看,是不是有可以改进的地方,在此多谢了。
libname DATA 'c:\SASDATA';
data data.ab;
a=-0.618;
b=1.618;
v=1+a*a;
u=1+(1-a)**2;
t=1+b*b;
s=1+(b-1)**2;
la=2*log(v/u);
lb=2*log(t/s);
c=la/log(1+a*a);
d=lb/log(1+b*b);
keep c d;
run;
options cmplib=sasuser.funcs;
proc fcmp outlib=sasuser.funcs.math  ;
  function lstar(u,c,d);
    if (u le  -0.618) then return (c*log(1+u*u));
    if (u ge  1.618) then  return (d*log(1+u*u));
else
      return(2*log((1+u*u)/(1+(u-1)*(u-1))));
endsub;run;
proc fcmp outlib=sasuser.funcs.statistics;
  function g(u);
    if (u le  -0.25) then return (2*log((1+0.25*0.25)/(1+1.25*1.25)));
    if (u ge  1.25) then  return (2*log((1+1.25*1.25)/(1+0.25*0.25)));
else
      return(2*log((1+u*u)/(1+(u-1)*(u-1))));
endsub;run;
proc printto log=_null_;
run;
options cmplib=sasuser.funcs;
%macro arim(r);
%do m=1 %to &r;
data data.lstar&m;
set ab;
do i=1 to 2000;
x=rand('T',3);
y=x/sqrt(3);
lstar=lstar(y,c,d);
l=g(y);
output;
end;
run;
data data.ci&m;
set data.lstar&m;
retain sum1 0;
sum1=sum1+lstar;
if (sum1 ge 0) then sum1=sum1;
else sum1=0;
output;keep i sum1;
run;
data data.si&m;
set data.lstar&m;
retain sum2 0;
sum2=sum2+l;
if (sum2 ge 0) then sum2=sum2;
else sum2=0;
output;keep i sum2;
run;
%end;
%mend arim;
%arim(10000);
proc printto log=_null_;
run;
libname data 'c:\SASDATA';
%macro ar(u);
%do n=1 %to &u;
%macro arim(r);
%do m=1 %to &r;
data shifts&m&n;
set data.ci&m;
if (sum1 ge (2.01+0.01*(&n-1))) then output;
run;
data shift&m&n;
set shifts&m&n;
if _n_=1 then output;keep i;
run;
data drifts&m&n;
set data.si&m;
if (sum2 ge (2.01+0.01*(&n-1))) then output;
run;
data drift&m&n;
set drifts&m&n;
if _n_=1 then output;keep i;
run;
%end;
%mend arim;
%arim(10000);
%macro test;
data sumshift&n;
set %do m=1 %to 10000;
shift&m&n
%end;
;
data sumdrift&n;
set %do m=1 %to 10000;
drift&m&n
%end;
;
%mend test;
%test;
%end;
%mend ar;
%ar(10);

%macro ar(u);
%do n=1 %to &u;
proc means data=sumshift&n;
var i;
output out=ci_shift&n(drop =_freq_ _type_)mean=ARL;
run;
proc means data=sumdrift&n;
var i;
output out=si_drift&n(drop =_freq_ _type_)mean=sARL;
run;
%end;
%mend ar;
%ar(10);
data ci_mean;
set ci_shift1-ci_shift10;
run;
data si_mean;
set si_drift1-si_drift10;
run;
data h;
do h=2.01 to 3 by 0.01;
output;end;
run;
libname SASDATA 'c:\SASDATA1';
data SASDATA.RLCUSUM6;
merge ci_mean si_mean h;
run;
proc gplot data=SASDATA.RLCUSUM6;
plot ARL*h=1 sARL*h=2/overlay;
symbol1 i=none v=dot;
symbol2 i=none v=dot c=black;
run;
proc gplot data=SASDATA.RLCUSUM6;
plot ARL*h=1 sARL*h=2;
symbol1 i=join v=none;
symbol2 i=join v=none;
run;
proc gplot data=SASDATA.RLCUSUM6;
plot ARL*h=1 sARL*h=2/overlay;
symbol1 i=join v=none;
symbol2 i=join v=none;
run;
二维码

扫码加我 拉你入群

请注明:姓名-公司-职位

以便审核进群资格,未注明则拒绝

全部回复
2013-4-3 10:52:51
复制代码
没有SAS无法测试。也可能没有完全理解你的程序(程序实在太长了)。我想小错误肯定有,自己修改。我的理解是,在模拟数据的时候,使用macro的效率几乎总是最差的。请注意:你的fcmp的逻辑不知道是否合理(是你想要的?)。
京剧

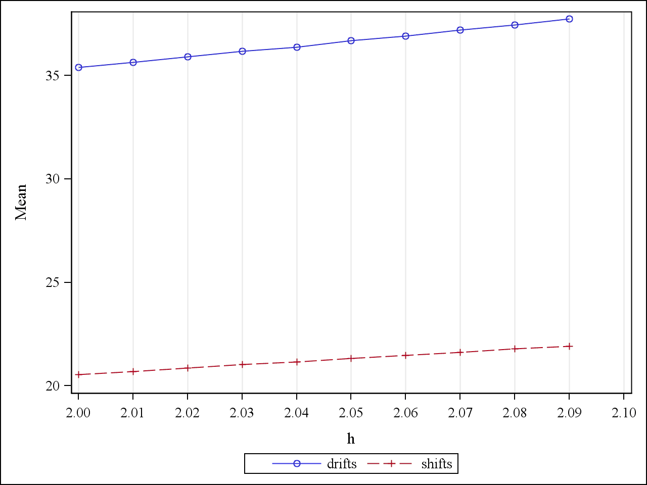
That is what I am doing:
1. Sampling and calculating lstar and l 2000 times;
2. Accumulating lstar and l to get sum1 and sum2 while adjusting them to 0 when their values are negative;
3. Using a threshold f(n), n =1, 2, 3, ... to fetch the first observation number where y >= f(n) was satisfied; when y =sum1, then called shifts, sum2 called drifts. Repeat n from 1 to 10, i.e. f(1), f(2), ...
4. Almost sure that each sample can return an qualified observation number since the sample size (=2000) is fairly large;
5. repeating above 1-4 10000 times (&r.), you may get 10000*10(=n) shifts and drifts each;
6. finding the shifts and drifts means for each n;
7. you will get 10 different (maybe) means for  each drifts and shifts;
8. plot the means for mean vs. h (from 2.00 to 2.09 by 0.01).
By the way, the FCMP may be right for you. I miss the return function at first time.
some typo in the code, such as to drop the keep= in separate output statement, etc.
And that what i got. Then run-tme is about 50s. Jingju
_1.PNG
二维码

扫码加我 拉你入群

请注明:姓名-公司-职位

以便审核进群资格,未注明则拒绝

2013-4-3 15:21:49
对于每一个n,我是想将ci1,... ...,ci10000中的那些大于或者等于2.01+0.01*(n-1)的那些sum1以及对应的i
存放到数据集shifts1n,... ...,shifts10000n,然后再分别输出输出shifts1n,... ... , shifts10000n中的第一个观测对应得i,将这些i 存放到shift1n,... ... ,shift10000n,再将这10000个数据集合并,并求i 得均值。我感觉我在这里搞得复杂了,程序应该就是慢在这里。


另外proc fcmp 应该没错
二维码

扫码加我 拉你入群

请注明:姓名-公司-职位

以便审核进群资格,未注明则拒绝

2013-4-3 15:32:58
jingju11 发表于 2013-4-3 10:52
没有SAS无法测试。也可能没有完全理解你的程序(程序实在太长了)。我想小错误肯定有,自己修改。我的理解是 ...
54.data shifts_drifts;
55.  set data.lstar;

56.  by sample;

57.  array _n[10] _temporary_ (1 2 3 4 5 6 7 8 9 10);

58.  array _s[10] _temporary_;  array _d[10] _temporary_;

59.  if first.sample then call missing(of _s
  • _d
  • );

    60.  do k =1 to dim(_n);

    61.    if _s[k] <1 then if (sum1 ge (2.01+0.01*(_n[k]-1))) then do;
    62.      _s[k] =1; n =_n[k]; cat ='shifts';
    63.      output shifts_drifts(keep =sample n i cat);
    64.    end;

    65.    if _d[k] <1 then if (sum2 ge (2.01+0.01*(_n[k]-1))) then do;
    66.      _d[k] =1; n =_n[k]; cat ='drifts';

    67.      output shifts_drifts(keep =sample n i cat);
    68.    end;

    69.  end;
    70.run;




    这一段程序我看不懂,能否逐字逐句句帮忙解释下,的多谢您了,我是个菜鸟。另外call streaminit(1234); 括号里面的1234是随便选的吗,
    call missing(sum1, sum2);是什么意思
  • 二维码

    扫码加我 拉你入群

    请注明:姓名-公司-职位

    以便审核进群资格,未注明则拒绝

    2013-4-3 22:09:18
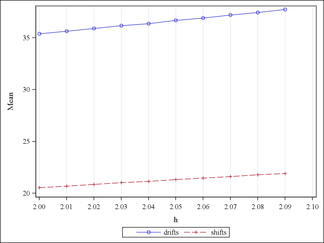
    And that what i got. Then run-tme is about 50s. Jingju

    _1.PNG

    二维码

    扫码加我 拉你入群

    请注明:姓名-公司-职位

    以便审核进群资格,未注明则拒绝

    2013-4-3 22:33:45
    call missing(sum1, sum2);是把 sum1,sum2置为缺失值。
    二维码

    扫码加我 拉你入群

    请注明:姓名-公司-职位

    以便审核进群资格,未注明则拒绝

    点击查看更多内容…
    相关推荐
    栏目导航
    热门文章
    推荐文章

    说点什么

    分享

    扫码加好友,拉您进群
    各岗位、行业、专业交流群