经管之家App
让优质教育人人可得
立即打开
全部版块
我的主页
›
论坛
›
数据科学与人工智能
›
数据分析与数据科学
›
MATLAB等数学软件专版
请问用lingo语句怎么表示泊松过程的概率密度函数
楼主
zhengraul
3192
2
收藏
2013-04-11
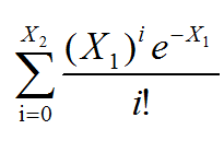
初学者求教,请问用Lingo的语法怎么表示这个式子,
X1,X2是变量,求和的部分是泊松过程的概率分布函数,特别是阶乘怎么表示?先谢过
附件列表
截图00.png
原图尺寸 2.8 KB
截图00.png
原图尺寸 2.2 KB
扫码加我 拉你入群
请注明:姓名-公司-职位
以便审核进群资格,未注明则拒绝
全部回复
沙发
rdzr
2014-1-15 22:52:21
看来未解决,帮顶下,望能收获!
扫码加我 拉你入群
请注明:姓名-公司-职位
以便审核进群资格,未注明则拒绝
藤椅
wujianjack2
2014-1-17 01:01:50
就我所知,LINGO自Release 13.0起添加了众多的概率分布函数,如果楼主使用的LINGO是13及以上版本,则可以直接使用如下函数:
@PPOISCDF(L,X);
@PPOISINV(L,X);
@PPOISPDF(L,X);
其中L即为lambda,X即为变量取值。CDF,INV,PDF分别表示累积,逆,密度。具体参见User's Manual.
如果因版本所限,无法直接使用,只好另行编程处理了。
对于阶乘,N!=@EXP(@LGM(N+1));
其它的应该没什么问题了。
扫码加我 拉你入群
请注明:姓名-公司-职位
以便审核进群资格,未注明则拒绝
相关推荐
[求助]如何从概率密度函数图像判断峰度大小?
[求助]如何将hist画出的图转化为概率密度函数?
怎么在一张图中画多个概率密度函数?(R)
概率密度函数特征参数
[求助]怎么随机出函数值啊?
(求助)概率密度函数上的每个点代表什么?
如何确定图像像素分布的概率密度函数
概率密度函数与分布函数的区别
逆高斯分布的期望求解
求助:已知联合概率密度函数,推导回归函数怎么做
栏目导航
MATLAB等数学软件专版
真实世界经济学(含财经时事)
藏经阁
经管文库(原现金交易版)
爱问频道
Stata专版
热门文章
你的SSCI发表焦虑,AI真的能懂吗?——一篇 ...
CDA数据分析脱产就业班于2025年08月02日开班 ...
【AI Agent可靠性】 智能体Agent记忆系统: ...
全球数字经贸规则年度观察报告(2025年)
2025骑行配件出海研究报告
《以日为鉴》阅读分享
Modern Computer Algebra
河南话破圈:从“土味方言”到“潮流符号” ...
Matrix Algebra-James E·Gentle
2025重塑人工智能时代的绩效管理报告-美世
推荐文章
AI狂潮席卷学术圈,不会编程也能打造专属智 ...
10月重磅来袭|《打造Coze/Dify专属学术智能 ...
最快1年拿证,学费不足5W!热门美国人工智能 ...
关于如何利用文献的若干建议
关于学术研究和论文发表的一些建议
关于科研中如何学习基础知识的一些建议 (一 ...
一个自编的经济学建模小案例 --写给授课本科 ...
AI智能体赋能教学改革: 全国AI教育教学应用 ...
2025中国AIoT产业全景图谱报告-406页
关于文献求助的一些建议
说点什么
分享
微信
QQ空间
QQ
微博
扫码加好友,拉您进群
各岗位、行业、专业交流群